[学校验光筛检:5-7年级儿童和青少年的首个流行病学数据]。

4区 医学 Q3 Medicine
Hakan Kaymak, Kai Neller, Birte Graff, Kristina Körgesaar, Achim Langenbucher, Berthold Seitz, Hartmut Schwahn
{"title":"[学校验光筛检:5-7年级儿童和青少年的首个流行病学数据]。","authors":"Hakan Kaymak,&nbsp;Kai Neller,&nbsp;Birte Graff,&nbsp;Kristina Körgesaar,&nbsp;Achim Langenbucher,&nbsp;Berthold Seitz,&nbsp;Hartmut Schwahn","doi":"10.1007/s00347-021-01427-z","DOIUrl":null,"url":null,"abstract":"<p><strong>Background: </strong>Annually recurring optometric screening helps to identify children with increased axial growth and also to create awareness for wearing properly corrected glasses and for spending enough time outdoors, both of which are crucial for healthy eyes. The obtained biometric data help to expand the epidemiological information on myopia in schoolchildren, which is fundamental for the selection of the correct treatment.</p><p><strong>Material and methods: </strong>Contact-free biometry of the eye was used to assess central corneal thickness, anterior chamber depth, lens thickness and axial length. Central choroidal thickness was manually assessed using optical coherence tomography (OCT). In addition, the mesopic and photopic pupil sizes were measured.</p><p><strong>Results: </strong>Biometric data were obtained from 257 (mean age 11.2 ± 1.1 years, 31.9% female, n = 82, 68.1% male, n = 175) out of a total of 274 examined children. Mean corneal radius (mean ± SD, female/male) was 7.74 ± 0.23 mm/7.89 ± 0.22 mm, central corneal thickness was 556.80 ± 31.31 µm/565.68 ± 33.12 µm, anterior chamber depth was 3.62 ± 0.28 mm/3.71 ± 0.25 mm, lens thickness was 3.48 ± 0.18 mm/3.46 ± 0.17 mm and axial length was 23.03 ± 0.88 mm/23.51 ± 0.88 mm. Choroidal thickness was assessed in 240 children and was 335.12 ± 60.5 µm. Mesopic and photopic pupil sizes were 6.38 ± 0.70 mm and 3.11 ± 0.63 mm, respectively.</p><p><strong>Conclusion: </strong>The axial lengths found are consistent with the normal values for European children. A difference between male and female eyes could be observed. The repetition of these examinations in the future will enable the generation of growth charts.</p>","PeriodicalId":54676,"journal":{"name":"Ophthalmologe","volume":"119 Suppl 1","pages":"33-40"},"PeriodicalIF":0.0000,"publicationDate":"2022-01-01","publicationTypes":"Journal Article","fieldsOfStudy":null,"isOpenAccess":false,"openAccessPdf":"https://sci-hub-pdf.com/10.1007/s00347-021-01427-z","citationCount":"1","resultStr":"{\"title\":\"[Optometric eye screening in schools : First epidemiological data for children and adolescents in grades 5-7].\",\"authors\":\"Hakan Kaymak,&nbsp;Kai Neller,&nbsp;Birte Graff,&nbsp;Kristina Körgesaar,&nbsp;Achim Langenbucher,&nbsp;Berthold Seitz,&nbsp;Hartmut Schwahn\",\"doi\":\"10.1007/s00347-021-01427-z\",\"DOIUrl\":null,\"url\":null,\"abstract\":\"<p><strong>Background: </strong>Annually recurring optometric screening helps to identify children with increased axial growth and also to create awareness for wearing properly corrected glasses and for spending enough time outdoors, both of which are crucial for healthy eyes. The obtained biometric data help to expand the epidemiological information on myopia in schoolchildren, which is fundamental for the selection of the correct treatment.</p><p><strong>Material and methods: </strong>Contact-free biometry of the eye was used to assess central corneal thickness, anterior chamber depth, lens thickness and axial length. Central choroidal thickness was manually assessed using optical coherence tomography (OCT). In addition, the mesopic and photopic pupil sizes were measured.</p><p><strong>Results: </strong>Biometric data were obtained from 257 (mean age 11.2 ± 1.1 years, 31.9% female, n = 82, 68.1% male, n = 175) out of a total of 274 examined children. Mean corneal radius (mean ± SD, female/male) was 7.74 ± 0.23 mm/7.89 ± 0.22 mm, central corneal thickness was 556.80 ± 31.31 µm/565.68 ± 33.12 µm, anterior chamber depth was 3.62 ± 0.28 mm/3.71 ± 0.25 mm, lens thickness was 3.48 ± 0.18 mm/3.46 ± 0.17 mm and axial length was 23.03 ± 0.88 mm/23.51 ± 0.88 mm. Choroidal thickness was assessed in 240 children and was 335.12 ± 60.5 µm. Mesopic and photopic pupil sizes were 6.38 ± 0.70 mm and 3.11 ± 0.63 mm, respectively.</p><p><strong>Conclusion: </strong>The axial lengths found are consistent with the normal values for European children. A difference between male and female eyes could be observed. The repetition of these examinations in the future will enable the generation of growth charts.</p>\",\"PeriodicalId\":54676,\"journal\":{\"name\":\"Ophthalmologe\",\"volume\":\"119 Suppl 1\",\"pages\":\"33-40\"},\"PeriodicalIF\":0.0000,\"publicationDate\":\"2022-01-01\",\"publicationTypes\":\"Journal Article\",\"fieldsOfStudy\":null,\"isOpenAccess\":false,\"openAccessPdf\":\"https://sci-hub-pdf.com/10.1007/s00347-021-01427-z\",\"citationCount\":\"1\",\"resultStr\":null,\"platform\":\"Semanticscholar\",\"paperid\":null,\"PeriodicalName\":\"Ophthalmologe\",\"FirstCategoryId\":\"3\",\"ListUrlMain\":\"https://doi.org/10.1007/s00347-021-01427-z\",\"RegionNum\":4,\"RegionCategory\":\"医学\",\"ArticlePicture\":[],\"TitleCN\":null,\"AbstractTextCN\":null,\"PMCID\":null,\"EPubDate\":\"\",\"PubModel\":\"\",\"JCR\":\"Q3\",\"JCRName\":\"Medicine\",\"Score\":null,\"Total\":0}","platform":"Semanticscholar","paperid":null,"PeriodicalName":"Ophthalmologe","FirstCategoryId":"3","ListUrlMain":"https://doi.org/10.1007/s00347-021-01427-z","RegionNum":4,"RegionCategory":"医学","ArticlePicture":[],"TitleCN":null,"AbstractTextCN":null,"PMCID":null,"EPubDate":"","PubModel":"","JCR":"Q3","JCRName":"Medicine","Score":null,"Total":0}
引用次数: 1

摘要

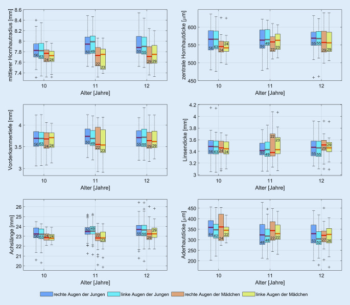
背景:每年定期的验光检查有助于发现轴向生长加快的儿童,也有助于树立佩戴正确矫正眼镜和在户外度过足够时间的意识,这两项对健康的眼睛都至关重要。获得的生物特征数据有助于扩大小学生近视的流行病学信息,为正确选择治疗方法奠定基础。材料和方法:采用眼无接触生物测量法评估角膜中央厚度、前房深度、晶状体厚度和眼轴长度。使用光学相干断层扫描(OCT)人工评估中央脉络膜厚度。此外,还测量了介观和光性瞳孔的大小。结果:274名儿童中257名(平均年龄11.2 ±1.1岁,女性31.9%,n = 82,男性68.1%,n = 175)获得了生物特征数据。平均角膜半径(意味着 ±SD,女/男)是7.74 ±0.23 毫米/ 7.89  ±0.22毫米,中央角膜厚度是556.80  31.31±565.68µm /  ±33.12µm,前房深度是3.62 ±0.28 毫米/ 3.71  ±0.25毫米,透镜厚度是3.48 ±0.18 毫米/ 3.46 ±0.17 毫米和轴向长度是23.03 ±0.88 毫米/ 23.51  ±0.88毫米。240名儿童的脉络膜厚度为335.12 ±60.5 µm。中、光瞳尺寸分别为6.38 ±0.70 mm和3.11 ±0.63 mm。结论:所测轴长与欧洲儿童正常值一致。可以观察到男性和女性眼睛之间的差异。今后重复进行这些检查将能够生成增长图表。
本文章由计算机程序翻译,如有差异,请以英文原文为准。

[Optometric eye screening in schools : First epidemiological data for children and adolescents in grades 5-7].

[Optometric eye screening in schools : First epidemiological data for children and adolescents in grades 5-7].

[Optometric eye screening in schools : First epidemiological data for children and adolescents in grades 5-7].

[Optometric eye screening in schools : First epidemiological data for children and adolescents in grades 5-7].

Background: Annually recurring optometric screening helps to identify children with increased axial growth and also to create awareness for wearing properly corrected glasses and for spending enough time outdoors, both of which are crucial for healthy eyes. The obtained biometric data help to expand the epidemiological information on myopia in schoolchildren, which is fundamental for the selection of the correct treatment.

Material and methods: Contact-free biometry of the eye was used to assess central corneal thickness, anterior chamber depth, lens thickness and axial length. Central choroidal thickness was manually assessed using optical coherence tomography (OCT). In addition, the mesopic and photopic pupil sizes were measured.

Results: Biometric data were obtained from 257 (mean age 11.2 ± 1.1 years, 31.9% female, n = 82, 68.1% male, n = 175) out of a total of 274 examined children. Mean corneal radius (mean ± SD, female/male) was 7.74 ± 0.23 mm/7.89 ± 0.22 mm, central corneal thickness was 556.80 ± 31.31 µm/565.68 ± 33.12 µm, anterior chamber depth was 3.62 ± 0.28 mm/3.71 ± 0.25 mm, lens thickness was 3.48 ± 0.18 mm/3.46 ± 0.17 mm and axial length was 23.03 ± 0.88 mm/23.51 ± 0.88 mm. Choroidal thickness was assessed in 240 children and was 335.12 ± 60.5 µm. Mesopic and photopic pupil sizes were 6.38 ± 0.70 mm and 3.11 ± 0.63 mm, respectively.

Conclusion: The axial lengths found are consistent with the normal values for European children. A difference between male and female eyes could be observed. The repetition of these examinations in the future will enable the generation of growth charts.

求助全文
通过发布文献求助,成功后即可免费获取论文全文。 去求助
来源期刊
Ophthalmologe
Ophthalmologe 医学-眼科学
CiteScore
1.80
自引率
0.00%
发文量
95
审稿时长
4-8 weeks
期刊介绍: Der Ophthalmologe is an internationally recognized journal dealing with all aspects of ophthalmology. The journal serves both the scientific exchange and the continuing education of ophthalmologists. Freely submitted original papers allow the presentation of important clinical studies and serve scientific exchange. Case reports feature interesting cases and aim at optimizing diagnostic and therapeutic strategies. Comprehensive reviews on a specific topical issue focus on providing evidenced based information on diagnostics and therapy. Review articles under the rubric ''Continuing Medical Education'' present verified results of scientific research and their integration into daily practice.
×
引用
GB/T 7714-2015
复制
MLA
复制
APA
复制
导出至
BibTeX EndNote RefMan NoteFirst NoteExpress
×
提示
您的信息不完整,为了账户安全,请先补充。
现在去补充
×
提示
您因"违规操作"
具体请查看互助需知
我知道了
×
提示
确定
请完成安全验证×
copy
已复制链接
快去分享给好友吧!
我知道了
右上角分享
点击右上角分享
0
联系我们:info@booksci.cn Book学术提供免费学术资源搜索服务,方便国内外学者检索中英文文献。致力于提供最便捷和优质的服务体验。 Copyright © 2023 布克学术 All rights reserved.
京ICP备2023020795号-1
ghs 京公网安备 11010802042870号
Book学术文献互助
Book学术文献互助群
群 号:604180095
Book学术官方微信