不同治疗时期克罗恩病再手术和疾病行为进展的下降趋势--1977-2020 年匈牙利西部的前瞻性人群研究,来自 Veszprem 队列的数据。

IF 8.7 2区 医学 Q1 GASTROENTEROLOGY & HEPATOLOGY
Lorant Gonczi, Laszlo Lakatos, Petra A Golovics, Akos Ilias, Tunde Pandur, Gyula David, Zsuzsanna Erdelyi, Istvan Szita, Alex Al Khoury, Peter L Lakatos
{"title":"不同治疗时期克罗恩病再手术和疾病行为进展的下降趋势--1977-2020 年匈牙利西部的前瞻性人群研究,来自 Veszprem 队列的数据。","authors":"Lorant Gonczi, Laszlo Lakatos, Petra A Golovics, Akos Ilias, Tunde Pandur, Gyula David, Zsuzsanna Erdelyi, Istvan Szita, Alex Al Khoury, Peter L Lakatos","doi":"10.1093/ecco-jcc/jjad117","DOIUrl":null,"url":null,"abstract":"<p><strong>Background and aims: </strong>Few population-based studies have investigated long-term surgery rates for Crohn's disease [CD]. Our aim was to analyse disease progression and surgery rates in a population-based cohort over different therapeutic eras, based on the time of diagnosis: cohort-A [1977-1995], cohort-B [1996-2008], and cohort-C [2009-2018].</p><p><strong>Methods: </strong>A total of 946 incident CD patients were analysed (male/female: 496/450; median age at diagnosis: 28 years [y]; interquartile range [IQR]: 22-40]). Patient inclusion lasted between 1977 and 2018. Immunomodulators have become widespread in Hungary since the mid-1990s and biologic therapies since 2008. Patients were followed prospectively, with both in-hospital and outpatient records reviewed regularly.</p><p><strong>Results: </strong>The probability of disease behaviour progression from inflammatory [B1] to stenosing or penetrating phenotype [B2/B3] significantly decreased (27.1 ± 5.3%/21.5 ± 2.5%/11.3 ± 2.2% in cohorts A/B/C, respectively, after 5 years; 44.3 ± 5.9%/30.6 ± 2.8%/16.1 ± 2.9% after 10 years, respectively; [pLogRank <0.001]). The probability of first resective surgery between cohorts A/B/C were 33.3 ± 3.8%/26.5 ± 2.1%/28.1 ± 2.4%, respectively, after 5 years; 46.1 ± 4.1%/32.6 ± 2.2%/33.0 ± 2.7% after 10 years, respectively; and 59.1 ± 4.0%/41.4 ± 2.6% [cohorts A/B] after 20 years. There was a significant decrease in first resective surgery risk between cohorts A and B [plog rank = 0.002]; however, no further decrease between cohorts B and C [plog rank = 0.665]. The cumulative probability of re-resection in cohorts A/B/C was decreasing over time (17.3 ± 4.1%/12.6 ± 2.6%/4.7 ± 2.0%, respectively, after 5 years [plog rank = 0.001]).</p><p><strong>Conclusion: </strong>We report a continuous decline in reoperation rates and disease behaviour progression in CD over time, with the lowest values in the biologic era. In contrast, there was no further decrease in the probability of first major resective surgery after the immunosuppressive era.</p>","PeriodicalId":15547,"journal":{"name":"Journal of Crohns & Colitis","volume":" ","pages":"1980-1987"},"PeriodicalIF":8.7000,"publicationDate":"2023-12-30","publicationTypes":"Journal Article","fieldsOfStudy":null,"isOpenAccess":false,"openAccessPdf":"https://www.ncbi.nlm.nih.gov/pmc/articles/PMC10798863/pdf/","citationCount":"0","resultStr":"{\"title\":\"Declining Trends of Reoperations and Disease Behaviour Progression in Crohn's Disease over Different Therapeutic Eras-A Prospective, Population-Based Study from Western Hungary between 1977-2020, Data from the Veszprem Cohort.\",\"authors\":\"Lorant Gonczi, Laszlo Lakatos, Petra A Golovics, Akos Ilias, Tunde Pandur, Gyula David, Zsuzsanna Erdelyi, Istvan Szita, Alex Al Khoury, Peter L Lakatos\",\"doi\":\"10.1093/ecco-jcc/jjad117\",\"DOIUrl\":null,\"url\":null,\"abstract\":\"<p><strong>Background and aims: </strong>Few population-based studies have investigated long-term surgery rates for Crohn's disease [CD]. Our aim was to analyse disease progression and surgery rates in a population-based cohort over different therapeutic eras, based on the time of diagnosis: cohort-A [1977-1995], cohort-B [1996-2008], and cohort-C [2009-2018].</p><p><strong>Methods: </strong>A total of 946 incident CD patients were analysed (male/female: 496/450; median age at diagnosis: 28 years [y]; interquartile range [IQR]: 22-40]). Patient inclusion lasted between 1977 and 2018. Immunomodulators have become widespread in Hungary since the mid-1990s and biologic therapies since 2008. Patients were followed prospectively, with both in-hospital and outpatient records reviewed regularly.</p><p><strong>Results: </strong>The probability of disease behaviour progression from inflammatory [B1] to stenosing or penetrating phenotype [B2/B3] significantly decreased (27.1 ± 5.3%/21.5 ± 2.5%/11.3 ± 2.2% in cohorts A/B/C, respectively, after 5 years; 44.3 ± 5.9%/30.6 ± 2.8%/16.1 ± 2.9% after 10 years, respectively; [pLogRank <0.001]). The probability of first resective surgery between cohorts A/B/C were 33.3 ± 3.8%/26.5 ± 2.1%/28.1 ± 2.4%, respectively, after 5 years; 46.1 ± 4.1%/32.6 ± 2.2%/33.0 ± 2.7% after 10 years, respectively; and 59.1 ± 4.0%/41.4 ± 2.6% [cohorts A/B] after 20 years. There was a significant decrease in first resective surgery risk between cohorts A and B [plog rank = 0.002]; however, no further decrease between cohorts B and C [plog rank = 0.665]. The cumulative probability of re-resection in cohorts A/B/C was decreasing over time (17.3 ± 4.1%/12.6 ± 2.6%/4.7 ± 2.0%, respectively, after 5 years [plog rank = 0.001]).</p><p><strong>Conclusion: </strong>We report a continuous decline in reoperation rates and disease behaviour progression in CD over time, with the lowest values in the biologic era. In contrast, there was no further decrease in the probability of first major resective surgery after the immunosuppressive era.</p>\",\"PeriodicalId\":15547,\"journal\":{\"name\":\"Journal of Crohns & Colitis\",\"volume\":\" \",\"pages\":\"1980-1987\"},\"PeriodicalIF\":8.7000,\"publicationDate\":\"2023-12-30\",\"publicationTypes\":\"Journal Article\",\"fieldsOfStudy\":null,\"isOpenAccess\":false,\"openAccessPdf\":\"https://www.ncbi.nlm.nih.gov/pmc/articles/PMC10798863/pdf/\",\"citationCount\":\"0\",\"resultStr\":null,\"platform\":\"Semanticscholar\",\"paperid\":null,\"PeriodicalName\":\"Journal of Crohns & Colitis\",\"FirstCategoryId\":\"3\",\"ListUrlMain\":\"https://doi.org/10.1093/ecco-jcc/jjad117\",\"RegionNum\":2,\"RegionCategory\":\"医学\",\"ArticlePicture\":[],\"TitleCN\":null,\"AbstractTextCN\":null,\"PMCID\":null,\"EPubDate\":\"\",\"PubModel\":\"\",\"JCR\":\"Q1\",\"JCRName\":\"GASTROENTEROLOGY & HEPATOLOGY\",\"Score\":null,\"Total\":0}","platform":"Semanticscholar","paperid":null,"PeriodicalName":"Journal of Crohns & Colitis","FirstCategoryId":"3","ListUrlMain":"https://doi.org/10.1093/ecco-jcc/jjad117","RegionNum":2,"RegionCategory":"医学","ArticlePicture":[],"TitleCN":null,"AbstractTextCN":null,"PMCID":null,"EPubDate":"","PubModel":"","JCR":"Q1","JCRName":"GASTROENTEROLOGY & HEPATOLOGY","Score":null,"Total":0}
引用次数: 0

摘要

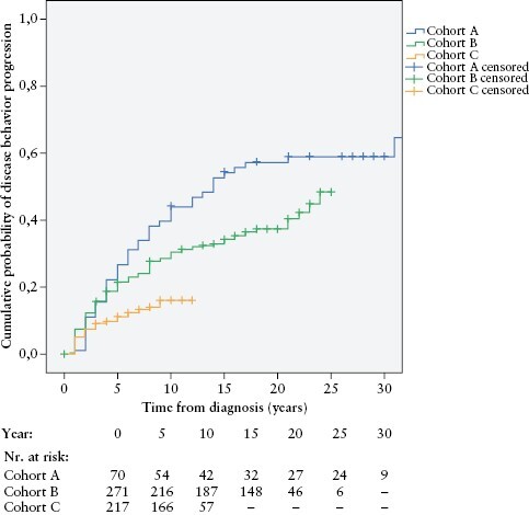
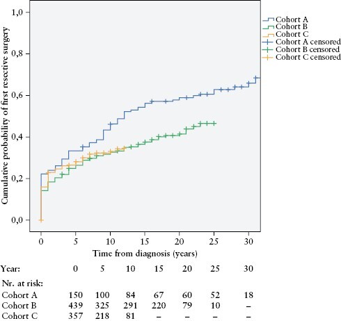
背景和目的:很少有基于人群的研究调查了克罗恩病 [CD] 的长期手术率。我们的目的是根据诊断时间分析不同治疗时期人群队列中的疾病进展和手术率:队列-A [1977-1995年]、队列-B [1996-2008年]和队列-C [2009-2018年]:方法:共分析了 946 例 CD 患者(男性/女性:496/450;诊断时的中位年龄:28 岁;四分位数间距 [IQR]:22-40])。患者纳入时间为 1977 年至 2018 年。自 20 世纪 90 年代中期以来,免疫调节剂在匈牙利开始广泛使用,而生物疗法则自 2008 年开始使用。对患者进行了前瞻性随访,并定期审查院内和门诊记录:结果:从炎性表型[B1]发展为狭窄或穿透性表型[B2/B3]的概率显著下降(5年后,A/B/C组分别为27.1±5.3%/21.5±2.5%/11.3±2.2%;10年后分别为44.3±5.9%/30.6±2.8%/16.1±2.9%;[pLogRank 结论:我们的报告显示,随着时间的推移,CD 的再手术率和疾病行为进展持续下降,生物制剂时代的数值最低。相比之下,进入免疫抑制时代后,首次大面积切除手术的概率没有进一步下降。
本文章由计算机程序翻译,如有差异,请以英文原文为准。

Declining Trends of Reoperations and Disease Behaviour Progression in Crohn's Disease over Different Therapeutic Eras-A Prospective, Population-Based Study from Western Hungary between 1977-2020, Data from the Veszprem Cohort.

Declining Trends of Reoperations and Disease Behaviour Progression in Crohn's Disease over Different Therapeutic Eras-A Prospective, Population-Based Study from Western Hungary between 1977-2020, Data from the Veszprem Cohort.

Declining Trends of Reoperations and Disease Behaviour Progression in Crohn's Disease over Different Therapeutic Eras-A Prospective, Population-Based Study from Western Hungary between 1977-2020, Data from the Veszprem Cohort.

Declining Trends of Reoperations and Disease Behaviour Progression in Crohn's Disease over Different Therapeutic Eras-A Prospective, Population-Based Study from Western Hungary between 1977-2020, Data from the Veszprem Cohort.

Background and aims: Few population-based studies have investigated long-term surgery rates for Crohn's disease [CD]. Our aim was to analyse disease progression and surgery rates in a population-based cohort over different therapeutic eras, based on the time of diagnosis: cohort-A [1977-1995], cohort-B [1996-2008], and cohort-C [2009-2018].

Methods: A total of 946 incident CD patients were analysed (male/female: 496/450; median age at diagnosis: 28 years [y]; interquartile range [IQR]: 22-40]). Patient inclusion lasted between 1977 and 2018. Immunomodulators have become widespread in Hungary since the mid-1990s and biologic therapies since 2008. Patients were followed prospectively, with both in-hospital and outpatient records reviewed regularly.

Results: The probability of disease behaviour progression from inflammatory [B1] to stenosing or penetrating phenotype [B2/B3] significantly decreased (27.1 ± 5.3%/21.5 ± 2.5%/11.3 ± 2.2% in cohorts A/B/C, respectively, after 5 years; 44.3 ± 5.9%/30.6 ± 2.8%/16.1 ± 2.9% after 10 years, respectively; [pLogRank <0.001]). The probability of first resective surgery between cohorts A/B/C were 33.3 ± 3.8%/26.5 ± 2.1%/28.1 ± 2.4%, respectively, after 5 years; 46.1 ± 4.1%/32.6 ± 2.2%/33.0 ± 2.7% after 10 years, respectively; and 59.1 ± 4.0%/41.4 ± 2.6% [cohorts A/B] after 20 years. There was a significant decrease in first resective surgery risk between cohorts A and B [plog rank = 0.002]; however, no further decrease between cohorts B and C [plog rank = 0.665]. The cumulative probability of re-resection in cohorts A/B/C was decreasing over time (17.3 ± 4.1%/12.6 ± 2.6%/4.7 ± 2.0%, respectively, after 5 years [plog rank = 0.001]).

Conclusion: We report a continuous decline in reoperation rates and disease behaviour progression in CD over time, with the lowest values in the biologic era. In contrast, there was no further decrease in the probability of first major resective surgery after the immunosuppressive era.

求助全文
通过发布文献求助,成功后即可免费获取论文全文。 去求助
来源期刊
Journal of Crohns & Colitis
Journal of Crohns & Colitis 医学-胃肠肝病学
CiteScore
15.50
自引率
7.50%
发文量
1048
审稿时长
1 months
期刊介绍: Journal of Crohns and Colitis is concerned with the dissemination of knowledge on clinical, basic science and innovative methods related to inflammatory bowel diseases. The journal publishes original articles, review papers, editorials, leading articles, viewpoints, case reports, innovative methods and letters to the editor.
×
引用
GB/T 7714-2015
复制
MLA
复制
APA
复制
导出至
BibTeX EndNote RefMan NoteFirst NoteExpress
×
提示
您的信息不完整,为了账户安全,请先补充。
现在去补充
×
提示
您因"违规操作"
具体请查看互助需知
我知道了
×
提示
确定
请完成安全验证×
copy
已复制链接
快去分享给好友吧!
我知道了
右上角分享
点击右上角分享
0
联系我们:info@booksci.cn Book学术提供免费学术资源搜索服务,方便国内外学者检索中英文文献。致力于提供最便捷和优质的服务体验。 Copyright © 2023 布克学术 All rights reserved.
京ICP备2023020795号-1
ghs 京公网安备 11010802042870号
Book学术文献互助
Book学术文献互助群
群 号:604180095
Book学术官方微信