2008年至2011年韩国肝细胞癌:韩国全国癌症登记分析

Jun Sik Yoon, Han Ah Lee, Jun Yong Park, Bo Hyun Kim, In Joon Lee, Young Eun Chon, Suk Kyun Hong, Dong Hyeon Lee, Hyun-Joo Kong, Young-Joo Won, Eunyang Kim, Jeong-Hoon Lee
{"title":"2008年至2011年韩国肝细胞癌:韩国全国癌症登记分析","authors":"Jun Sik Yoon,&nbsp;Han Ah Lee,&nbsp;Jun Yong Park,&nbsp;Bo Hyun Kim,&nbsp;In Joon Lee,&nbsp;Young Eun Chon,&nbsp;Suk Kyun Hong,&nbsp;Dong Hyeon Lee,&nbsp;Hyun-Joo Kong,&nbsp;Young-Joo Won,&nbsp;Eunyang Kim,&nbsp;Jeong-Hoon Lee","doi":"10.17998/jlc.20.1.41","DOIUrl":null,"url":null,"abstract":"<p><strong>Backgrounds/aims: </strong>Backgrounds/Aims: In Korea, hepatocellular carcinoma (HCC) is the sixth most common cancer and results in the second-highest cancer death rate among all cancers. We aimed to describe the characteristics of patients who were newly diagnosed with HCC in Korea between 2008 and 2011.</p><p><strong>Methods: </strong>The Korean Primary Liver Cancer Registry (KPLCR) is a random sample consisting of approximately 15% of patients with newly diagnosed primary liver cancer registered in the Korean Central Cancer Registry. We investigated the baseline characteristics, treatment modalities, and overall survival (OS) of patients with HCC registered in the KPLCR between 2008 and 2011.</p><p><strong>Results: </strong>A total of 6,083 patients were histologically or radiologically diagnosed with HCC. The hepatitis B virus was the predominant HCC etiology (72.0%). According to the Barcelona Clinic Liver Cancer (BCLC) staging system, stages 0, A, B, C, and D accounted for 8.6%, 39.7%, 11.5%, 33.8%, and 6.9%, respectively. Transarterial therapy (41.7%) was the most commonly performed initial treatment, followed by best supportive care (21.7%), surgical resection (16.7%), and local ablation therapies (10.6%). The overall rate of adherence to the BCLC treatment guideline was only 37.7%. The 1-, 3-, and 5-year OS rates were 65.6%, 46.2%, and 36.8%, respectively.</p><p><strong>Conclusions: </strong>Between 2008 and 2011, approximately half of patients with HCC (48.3%) were candidates for curative treatment (BCLC stage 0 or A), but one-third of patients (33.8%) had advanced HCC (BCLC stage C). Transarterial therapy was the most commonly conducted initial treatment and the 5-year OS rate was 36.8% in this period.</p>","PeriodicalId":16226,"journal":{"name":"Journal of Liver Cancer","volume":"20 1","pages":"41-52"},"PeriodicalIF":0.0000,"publicationDate":"2020-03-01","publicationTypes":"Journal Article","fieldsOfStudy":null,"isOpenAccess":false,"openAccessPdf":"https://ftp.ncbi.nlm.nih.gov/pub/pmc/oa_pdf/6e/c8/jlc-20-1-41.PMC10035703.pdf","citationCount":"15","resultStr":"{\"title\":\"Hepatocellular Carcinoma in Korea Between 2008 and 2011: an Analysis of Korean Nationwide Cancer Registry.\",\"authors\":\"Jun Sik Yoon,&nbsp;Han Ah Lee,&nbsp;Jun Yong Park,&nbsp;Bo Hyun Kim,&nbsp;In Joon Lee,&nbsp;Young Eun Chon,&nbsp;Suk Kyun Hong,&nbsp;Dong Hyeon Lee,&nbsp;Hyun-Joo Kong,&nbsp;Young-Joo Won,&nbsp;Eunyang Kim,&nbsp;Jeong-Hoon Lee\",\"doi\":\"10.17998/jlc.20.1.41\",\"DOIUrl\":null,\"url\":null,\"abstract\":\"<p><strong>Backgrounds/aims: </strong>Backgrounds/Aims: In Korea, hepatocellular carcinoma (HCC) is the sixth most common cancer and results in the second-highest cancer death rate among all cancers. We aimed to describe the characteristics of patients who were newly diagnosed with HCC in Korea between 2008 and 2011.</p><p><strong>Methods: </strong>The Korean Primary Liver Cancer Registry (KPLCR) is a random sample consisting of approximately 15% of patients with newly diagnosed primary liver cancer registered in the Korean Central Cancer Registry. We investigated the baseline characteristics, treatment modalities, and overall survival (OS) of patients with HCC registered in the KPLCR between 2008 and 2011.</p><p><strong>Results: </strong>A total of 6,083 patients were histologically or radiologically diagnosed with HCC. The hepatitis B virus was the predominant HCC etiology (72.0%). According to the Barcelona Clinic Liver Cancer (BCLC) staging system, stages 0, A, B, C, and D accounted for 8.6%, 39.7%, 11.5%, 33.8%, and 6.9%, respectively. Transarterial therapy (41.7%) was the most commonly performed initial treatment, followed by best supportive care (21.7%), surgical resection (16.7%), and local ablation therapies (10.6%). The overall rate of adherence to the BCLC treatment guideline was only 37.7%. The 1-, 3-, and 5-year OS rates were 65.6%, 46.2%, and 36.8%, respectively.</p><p><strong>Conclusions: </strong>Between 2008 and 2011, approximately half of patients with HCC (48.3%) were candidates for curative treatment (BCLC stage 0 or A), but one-third of patients (33.8%) had advanced HCC (BCLC stage C). Transarterial therapy was the most commonly conducted initial treatment and the 5-year OS rate was 36.8% in this period.</p>\",\"PeriodicalId\":16226,\"journal\":{\"name\":\"Journal of Liver Cancer\",\"volume\":\"20 1\",\"pages\":\"41-52\"},\"PeriodicalIF\":0.0000,\"publicationDate\":\"2020-03-01\",\"publicationTypes\":\"Journal Article\",\"fieldsOfStudy\":null,\"isOpenAccess\":false,\"openAccessPdf\":\"https://ftp.ncbi.nlm.nih.gov/pub/pmc/oa_pdf/6e/c8/jlc-20-1-41.PMC10035703.pdf\",\"citationCount\":\"15\",\"resultStr\":null,\"platform\":\"Semanticscholar\",\"paperid\":null,\"PeriodicalName\":\"Journal of Liver Cancer\",\"FirstCategoryId\":\"1085\",\"ListUrlMain\":\"https://doi.org/10.17998/jlc.20.1.41\",\"RegionNum\":0,\"RegionCategory\":null,\"ArticlePicture\":[],\"TitleCN\":null,\"AbstractTextCN\":null,\"PMCID\":null,\"EPubDate\":\"\",\"PubModel\":\"\",\"JCR\":\"\",\"JCRName\":\"\",\"Score\":null,\"Total\":0}","platform":"Semanticscholar","paperid":null,"PeriodicalName":"Journal of Liver Cancer","FirstCategoryId":"1085","ListUrlMain":"https://doi.org/10.17998/jlc.20.1.41","RegionNum":0,"RegionCategory":null,"ArticlePicture":[],"TitleCN":null,"AbstractTextCN":null,"PMCID":null,"EPubDate":"","PubModel":"","JCR":"","JCRName":"","Score":null,"Total":0}
引用次数: 15

摘要

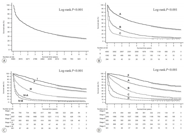
背景/目的:背景/目的:在韩国,肝细胞癌(HCC)是第六大常见癌症,其死亡率在所有癌症中排名第二。我们的目的是描述2008年至2011年间韩国新诊断为HCC的患者的特征。方法:韩国原发性肝癌登记处(KPLCR)是一个随机样本,包括在韩国中央癌症登记处登记的约15%的新诊断原发性肝癌患者。我们调查了2008年至2011年间在KPLCR中登记的HCC患者的基线特征、治疗方式和总生存期(OS)。结果:共6083例患者经组织学或影像学诊断为HCC。乙型肝炎病毒是HCC的主要病因(72.0%)。根据巴塞罗那临床肝癌(BCLC)分期系统,0期、A期、B期、C期和D期分别占8.6%、39.7%、11.5%、33.8%和6.9%。经动脉治疗(41.7%)是最常用的初始治疗,其次是最佳支持治疗(21.7%)、手术切除(16.7%)和局部消融治疗(10.6%)。BCLC治疗指南的总体依从率仅为37.7%。1年、3年和5年OS分别为65.6%、46.2%和36.8%。结论:在2008年至2011年期间,大约一半的HCC患者(48.3%)是治愈性治疗(BCLC 0期或A期)的候选者,但三分之一的患者(33.8%)为晚期HCC (BCLC C期)。经动脉治疗是最常用的初始治疗,这一时期的5年总生存率为36.8%。
本文章由计算机程序翻译,如有差异,请以英文原文为准。

Hepatocellular Carcinoma in Korea Between 2008 and 2011: an Analysis of Korean Nationwide Cancer Registry.

Hepatocellular Carcinoma in Korea Between 2008 and 2011: an Analysis of Korean Nationwide Cancer Registry.

Hepatocellular Carcinoma in Korea Between 2008 and 2011: an Analysis of Korean Nationwide Cancer Registry.

Backgrounds/aims: Backgrounds/Aims: In Korea, hepatocellular carcinoma (HCC) is the sixth most common cancer and results in the second-highest cancer death rate among all cancers. We aimed to describe the characteristics of patients who were newly diagnosed with HCC in Korea between 2008 and 2011.

Methods: The Korean Primary Liver Cancer Registry (KPLCR) is a random sample consisting of approximately 15% of patients with newly diagnosed primary liver cancer registered in the Korean Central Cancer Registry. We investigated the baseline characteristics, treatment modalities, and overall survival (OS) of patients with HCC registered in the KPLCR between 2008 and 2011.

Results: A total of 6,083 patients were histologically or radiologically diagnosed with HCC. The hepatitis B virus was the predominant HCC etiology (72.0%). According to the Barcelona Clinic Liver Cancer (BCLC) staging system, stages 0, A, B, C, and D accounted for 8.6%, 39.7%, 11.5%, 33.8%, and 6.9%, respectively. Transarterial therapy (41.7%) was the most commonly performed initial treatment, followed by best supportive care (21.7%), surgical resection (16.7%), and local ablation therapies (10.6%). The overall rate of adherence to the BCLC treatment guideline was only 37.7%. The 1-, 3-, and 5-year OS rates were 65.6%, 46.2%, and 36.8%, respectively.

Conclusions: Between 2008 and 2011, approximately half of patients with HCC (48.3%) were candidates for curative treatment (BCLC stage 0 or A), but one-third of patients (33.8%) had advanced HCC (BCLC stage C). Transarterial therapy was the most commonly conducted initial treatment and the 5-year OS rate was 36.8% in this period.

求助全文
通过发布文献求助,成功后即可免费获取论文全文。 去求助
来源期刊
自引率
0.00%
发文量
0
×
引用
GB/T 7714-2015
复制
MLA
复制
APA
复制
导出至
BibTeX EndNote RefMan NoteFirst NoteExpress
×
提示
您的信息不完整,为了账户安全,请先补充。
现在去补充
×
提示
您因"违规操作"
具体请查看互助需知
我知道了
×
提示
确定
请完成安全验证×
copy
已复制链接
快去分享给好友吧!
我知道了
右上角分享
点击右上角分享
0
联系我们:info@booksci.cn Book学术提供免费学术资源搜索服务,方便国内外学者检索中英文文献。致力于提供最便捷和优质的服务体验。 Copyright © 2023 布克学术 All rights reserved.
京ICP备2023020795号-1
ghs 京公网安备 11010802042870号
Book学术文献互助
Book学术文献互助群
群 号:604180095
Book学术官方微信