Bilingual Children Shift and Relax Second-Language Phoneme Categorization in Response to Accented L2 and Native L1 Speech Exposure.

IF 1.1 2区 文学 Q3 AUDIOLOGY & SPEECH-LANGUAGE PATHOLOGY
Language and Speech Pub Date : 2024-09-01 Epub Date: 2023-07-04 DOI:10.1177/00238309231176760
Margarethe McDonald, Margarita Kaushanskaya
{"title":"Bilingual Children Shift and Relax Second-Language Phoneme Categorization in Response to Accented L2 and Native L1 Speech Exposure.","authors":"Margarethe McDonald, Margarita Kaushanskaya","doi":"10.1177/00238309231176760","DOIUrl":null,"url":null,"abstract":"<p><p>Listeners adjust their perception to match that of presented speech through shifting and relaxation of categorical boundaries. This allows for processing of speech variation, but may be detrimental to processing efficiency. Bilingual children are exposed to many types of speech in their linguistic environment, including native and non-native speech. This study examined how first language (L1) Spanish/second language (L2) English bilingual children shifted and relaxed phoneme categorization along the cue of voice onset time (VOT) during English speech processing after three types of language exposure: native English exposure, native Spanish exposure, and Spanish-accented English exposure. After exposure to Spanish-accented English speech, bilingual children shifted categorical boundaries in the direction of native English speech boundaries. After exposure to native Spanish speech, children shifted to a smaller extent in the same direction and relaxed boundaries leading to weaker differentiation between categories. These results suggest that prior exposure can affect processing of a second language in bilingual children, but different mechanisms are used when adapting to different types of speech variation.</p>","PeriodicalId":51255,"journal":{"name":"Language and Speech","volume":" ","pages":"617-638"},"PeriodicalIF":1.1000,"publicationDate":"2024-09-01","publicationTypes":"Journal Article","fieldsOfStudy":null,"isOpenAccess":false,"openAccessPdf":"https://www.ncbi.nlm.nih.gov/pmc/articles/PMC11367803/pdf/","citationCount":"0","resultStr":null,"platform":"Semanticscholar","paperid":null,"PeriodicalName":"Language and Speech","FirstCategoryId":"98","ListUrlMain":"https://doi.org/10.1177/00238309231176760","RegionNum":2,"RegionCategory":"文学","ArticlePicture":[],"TitleCN":null,"AbstractTextCN":null,"PMCID":null,"EPubDate":"2023/7/4 0:00:00","PubModel":"Epub","JCR":"Q3","JCRName":"AUDIOLOGY & SPEECH-LANGUAGE PATHOLOGY","Score":null,"Total":0}
引用次数: 0

Abstract

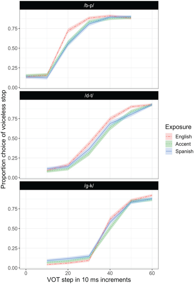
Listeners adjust their perception to match that of presented speech through shifting and relaxation of categorical boundaries. This allows for processing of speech variation, but may be detrimental to processing efficiency. Bilingual children are exposed to many types of speech in their linguistic environment, including native and non-native speech. This study examined how first language (L1) Spanish/second language (L2) English bilingual children shifted and relaxed phoneme categorization along the cue of voice onset time (VOT) during English speech processing after three types of language exposure: native English exposure, native Spanish exposure, and Spanish-accented English exposure. After exposure to Spanish-accented English speech, bilingual children shifted categorical boundaries in the direction of native English speech boundaries. After exposure to native Spanish speech, children shifted to a smaller extent in the same direction and relaxed boundaries leading to weaker differentiation between categories. These results suggest that prior exposure can affect processing of a second language in bilingual children, but different mechanisms are used when adapting to different types of speech variation.

Abstract Image

Abstract Image

Abstract Image

双语儿童对第二语言音素分类的转移和放松是对第二语言重音和第一语言母语语音暴露的反应。
听者通过改变和放宽分类界限来调整自己的感知,使之与所呈现的语音相匹配。这样可以处理语音变化,但可能不利于处理效率。双语儿童在语言环境中会接触到多种类型的语音,包括母语和非母语语音。本研究考察了第一语言(L1)西班牙语/第二语言(L2)英语双语儿童在经过三种语言接触(母语英语接触、母语西班牙语接触和西班牙语口音英语接触)后,在英语语音处理过程中如何沿着语音开始时间(VOT)线索转移和放松音素分类。在接触西班牙语口音的英语语音后,双语儿童的分类界限向英语母语语音界限的方向移动。而在接触以西班牙语为母语的语音后,儿童向同一方向移动的程度较小,并放宽了界限,导致类别之间的区分减弱。这些结果表明,先前的接触会影响双语儿童对第二语言的处理,但在适应不同类型的语音变异时会使用不同的机制。
本文章由计算机程序翻译,如有差异,请以英文原文为准。
求助全文
约1分钟内获得全文 求助全文
来源期刊
Language and Speech
Language and Speech AUDIOLOGY & SPEECH-LANGUAGE PATHOLOGY-
CiteScore
4.00
自引率
5.60%
发文量
39
审稿时长
>12 weeks
期刊介绍: Language and Speech is a peer-reviewed journal which provides an international forum for communication among researchers in the disciplines that contribute to our understanding of the production, perception, processing, learning, use, and disorders of speech and language. The journal accepts reports of original research in all these areas.
×
引用
GB/T 7714-2015
复制
MLA
复制
APA
复制
导出至
BibTeX EndNote RefMan NoteFirst NoteExpress
×
提示
您的信息不完整,为了账户安全,请先补充。
现在去补充
×
提示
您因"违规操作"
具体请查看互助需知
我知道了
×
提示
确定
请完成安全验证×
copy
已复制链接
快去分享给好友吧!
我知道了
右上角分享
点击右上角分享
0
联系我们:info@booksci.cn Book学术提供免费学术资源搜索服务,方便国内外学者检索中英文文献。致力于提供最便捷和优质的服务体验。 Copyright © 2023 布克学术 All rights reserved.
京ICP备2023020795号-1
ghs 京公网安备 11010802042870号
Book学术文献互助
Book学术文献互助群
群 号:604180095
Book学术官方微信