Prestroke physical activity is associated with admission haematoma volume and the clinical outcome of intracerebral haemorrhage.

IF 4.9 1区 医学 Q1 CLINICAL NEUROLOGY
Adam Viktorisson, Dongni Buvarp, Anna Danielsson, Thomas Skoglund, Katharina S Sunnerhagen
{"title":"Prestroke physical activity is associated with admission haematoma volume and the clinical outcome of intracerebral haemorrhage.","authors":"Adam Viktorisson, Dongni Buvarp, Anna Danielsson, Thomas Skoglund, Katharina S Sunnerhagen","doi":"10.1136/svn-2023-002316","DOIUrl":null,"url":null,"abstract":"<p><strong>Background: </strong>Prestroke physical activity (PA) has been linked to improved outcomes after intracerebral haemorrhage (ICH), but its association with ICH volume is unknown. We aimed to investigate associations of prestroke PA with location-specific haematoma volume and the clinical outcome of ICH.</p><p><strong>Methods: </strong>All patients with primary ICH, admitted to three hospitals between 2014 and 2019, were included. Patients performing light PA ≥4 hour/week the year before stroke were considered physically active. Haematoma volumes were assessed from admission brain imaging. Adjusted associations were estimated using multivariate linear and logistic regression models. Haematoma volume was explored as mediator to the relationship between prestroke PA and mild stroke severity (0-4 points on the National Institutes of Health Stroke Scale), a good 1-week functional status (0-3 points on the modified Rankin Scale) and 90-day survival. Average direct effects (ADE) and average causal mediation effects (ACME) were computed.</p><p><strong>Results: </strong>Of 686 primary ICH cases, 349 were deep, 240 lobar and 97 infratentorial. Prestroke PA predicted smaller haematoma volumes in deep ICH (β=-0.36, SE=0.09, p<0.001) and lobar ICH (β=-0.23, SE=0.09, p=0.016). Prestroke PA was also associated with mild stroke severity (OR 2.53, 95% CI 1.59 to 4.01), a good 1-week functional status (OR 2.12, 95% CI 1.37 to 3.30) and 90-day survival (OR 3.48, 95% CI 2.06 to 5.91). Haematoma volume partly mediated the relationships between PA and stroke severity (ADE 0.08, p=0.004; ACME 0.10, p<0.001), 1-week functional status (ADE 0.07, p=0.03; ACME 0.10, p<0.001) and 90-day survival (ADE 0.14, p<0.001; ACME 0.05, p<0.001).</p><p><strong>Conclusions: </strong>Light PA ≥4 hour/week prior to ICH was associated with smaller haematoma volumes in deep and lobar locations. Physically active patients with ICH had a higher likelihood of mild stroke, a good 1-week functional status and 90-day survival, in part mediated by smaller haematoma volumes on admission.</p>","PeriodicalId":22021,"journal":{"name":"Stroke and Vascular Neurology","volume":" ","pages":"511-520"},"PeriodicalIF":4.9000,"publicationDate":"2023-12-29","publicationTypes":"Journal Article","fieldsOfStudy":null,"isOpenAccess":false,"openAccessPdf":"https://www.ncbi.nlm.nih.gov/pmc/articles/PMC10800276/pdf/","citationCount":"0","resultStr":null,"platform":"Semanticscholar","paperid":null,"PeriodicalName":"Stroke and Vascular Neurology","FirstCategoryId":"3","ListUrlMain":"https://doi.org/10.1136/svn-2023-002316","RegionNum":1,"RegionCategory":"医学","ArticlePicture":[],"TitleCN":null,"AbstractTextCN":null,"PMCID":null,"EPubDate":"","PubModel":"","JCR":"Q1","JCRName":"CLINICAL NEUROLOGY","Score":null,"Total":0}
引用次数: 0

Abstract

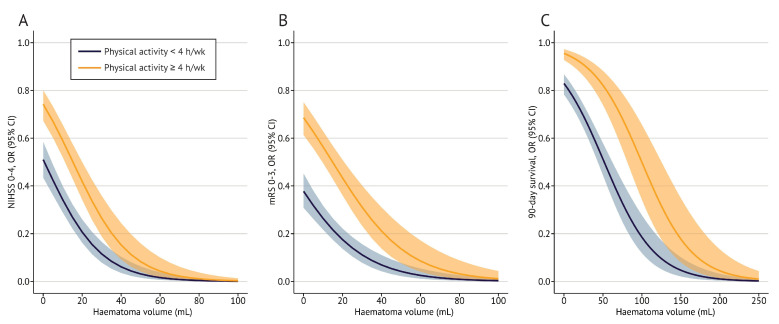
Background: Prestroke physical activity (PA) has been linked to improved outcomes after intracerebral haemorrhage (ICH), but its association with ICH volume is unknown. We aimed to investigate associations of prestroke PA with location-specific haematoma volume and the clinical outcome of ICH.

Methods: All patients with primary ICH, admitted to three hospitals between 2014 and 2019, were included. Patients performing light PA ≥4 hour/week the year before stroke were considered physically active. Haematoma volumes were assessed from admission brain imaging. Adjusted associations were estimated using multivariate linear and logistic regression models. Haematoma volume was explored as mediator to the relationship between prestroke PA and mild stroke severity (0-4 points on the National Institutes of Health Stroke Scale), a good 1-week functional status (0-3 points on the modified Rankin Scale) and 90-day survival. Average direct effects (ADE) and average causal mediation effects (ACME) were computed.

Results: Of 686 primary ICH cases, 349 were deep, 240 lobar and 97 infratentorial. Prestroke PA predicted smaller haematoma volumes in deep ICH (β=-0.36, SE=0.09, p<0.001) and lobar ICH (β=-0.23, SE=0.09, p=0.016). Prestroke PA was also associated with mild stroke severity (OR 2.53, 95% CI 1.59 to 4.01), a good 1-week functional status (OR 2.12, 95% CI 1.37 to 3.30) and 90-day survival (OR 3.48, 95% CI 2.06 to 5.91). Haematoma volume partly mediated the relationships between PA and stroke severity (ADE 0.08, p=0.004; ACME 0.10, p<0.001), 1-week functional status (ADE 0.07, p=0.03; ACME 0.10, p<0.001) and 90-day survival (ADE 0.14, p<0.001; ACME 0.05, p<0.001).

Conclusions: Light PA ≥4 hour/week prior to ICH was associated with smaller haematoma volumes in deep and lobar locations. Physically active patients with ICH had a higher likelihood of mild stroke, a good 1-week functional status and 90-day survival, in part mediated by smaller haematoma volumes on admission.

Abstract Image

Abstract Image

Abstract Image

脑卒中前的体力活动与入院血肿量和脑内出血的临床结果有关。
背景:卒中前体力活动(PA)与改善脑内出血(ICH)后的预后有关,但其与ICH体积的关系尚不清楚。我们旨在研究卒中前体力活动与特定位置血肿体积和 ICH 临床预后的关系:方法:纳入2014年至2019年期间三家医院收治的所有原发性ICH患者。中风前一年进行轻度PA≥4小时/周的患者被视为体力活动量大的患者。根据入院脑成像评估血肿体积。使用多变量线性和逻辑回归模型估算调整后的相关性。血肿体积被视为卒中前体力活动与轻度卒中严重程度(美国国立卫生研究院卒中量表 0-4 分)、良好的 1 周功能状态(修正的 Rankin 量表 0-3 分)和 90 天存活率之间关系的中介因素。计算了平均直接效应(ADE)和平均因果中介效应(ACME):结果:在 686 例原发性 ICH 中,349 例为深部 ICH,240 例为脑叶 ICH,97 例为脑膜下 ICH。卒中前 PA 预测深部 ICH 的血肿体积较小(β=-0.36,SE=0.09,p结论:ICH 前轻度 PA≥4 小时/周与深部和脑叶位置较小的血肿体积有关。体力活动较多的 ICH 患者发生轻度中风、1 周功能状态良好和 90 天存活的可能性较高,部分原因是入院时血肿体积较小。
本文章由计算机程序翻译,如有差异,请以英文原文为准。
求助全文
约1分钟内获得全文 求助全文
来源期刊
Stroke and Vascular Neurology
Stroke and Vascular Neurology Medicine-Cardiology and Cardiovascular Medicine
CiteScore
11.20
自引率
1.70%
发文量
63
审稿时长
15 weeks
期刊介绍: Stroke and Vascular Neurology (SVN) is the official journal of the Chinese Stroke Association. Supported by a team of renowned Editors, and fully Open Access, the journal encourages debate on controversial techniques, issues on health policy and social medicine.
×
引用
GB/T 7714-2015
复制
MLA
复制
APA
复制
导出至
BibTeX EndNote RefMan NoteFirst NoteExpress
×
提示
您的信息不完整,为了账户安全,请先补充。
现在去补充
×
提示
您因"违规操作"
具体请查看互助需知
我知道了
×
提示
确定
请完成安全验证×
copy
已复制链接
快去分享给好友吧!
我知道了
右上角分享
点击右上角分享
0
联系我们:info@booksci.cn Book学术提供免费学术资源搜索服务,方便国内外学者检索中英文文献。致力于提供最便捷和优质的服务体验。 Copyright © 2023 布克学术 All rights reserved.
京ICP备2023020795号-1
ghs 京公网安备 11010802042870号
Book学术文献互助
Book学术文献互助群
群 号:604180095
Book学术官方微信