Effect of delayed hospitalization on 3-year clinical outcomes according to renal function in patients with non-ST-segment elevation myocardial infarction.

IF 1.9 3区 医学 Q2 CARDIAC & CARDIOVASCULAR SYSTEMS
Cardiology journal Pub Date : 2024-01-01 Epub Date: 2023-05-29 DOI:10.5603/CJ.a2023.0036
Yong Hoon Kim, Ae-Young Her, Seung-Woon Rha, Cheol Ung Choi, Byoung-Geol Choi, Ji Bak Kim, Soohyung Park, Dong Oh Kang, Ji Young Park, Sang-Ho Park, Myung Ho Jeong
{"title":"Effect of delayed hospitalization on 3-year clinical outcomes according to renal function in patients with non-ST-segment elevation myocardial infarction.","authors":"Yong Hoon Kim, Ae-Young Her, Seung-Woon Rha, Cheol Ung Choi, Byoung-Geol Choi, Ji Bak Kim, Soohyung Park, Dong Oh Kang, Ji Young Park, Sang-Ho Park, Myung Ho Jeong","doi":"10.5603/CJ.a2023.0036","DOIUrl":null,"url":null,"abstract":"<p><strong>Background: </strong>We evaluated the effect of delayed hospitalization (symptom-to-door time [STD] ≥ 24 h) on 3-year clinical outcomes according to renal function in patients with non-ST-segment elevation myocardial infarction (NSTEMI) undergoing new-generation drug-eluting stent (DES) implantation.</p><p><strong>Methods: </strong>A total of 4513 patients with NSTEMI were classified into chronic kidney disease (CKD) (estimated glomerular filtration rate [eGFR] < 60 mL/min/1.73 m², n = 1118) and non-CKD (eGFR ≥ 60 mL/min/1.73 m², n = 3395) groups. They were further sub-classified into groups with (STD ≥ 24 h) and without (STD < 24 h) delayed hospitalization. The primary outcome was the occurrence of major adverse cardiac and cerebrovascular events (MACCE), defined as all-cause death, recurrent myocardial infarction, any repeat coronary revascularization, and stroke. The secondary outcome was stent thrombosis (ST).</p><p><strong>Results: </strong>After multivariable-adjusted and propensity score analyses, the primary and secondary clinical outcomes were similar in patients with or without delayed hospitalization in both CKD and non-CKD groups. However, in both the STD < 24 h and STD ≥ 24 h groups, MACCE (p < 0.001 and p < 0.006, respectively) and mortality rates were significantly higher in the CKD group than in the non-CKD group. However, ST rates were similar between the CKD and non-CKD groups and between the STD < 24 h and STD ≥ 24 h groups.</p><p><strong>Conclusions: </strong>Chronic kidney disease appears to be a much more important determinant of MACCE and mortality rates than STD in patients with NSTEMI.</p>","PeriodicalId":9492,"journal":{"name":"Cardiology journal","volume":" ","pages":"271-284"},"PeriodicalIF":1.9000,"publicationDate":"2024-01-01","publicationTypes":"Journal Article","fieldsOfStudy":null,"isOpenAccess":false,"openAccessPdf":"https://www.ncbi.nlm.nih.gov/pmc/articles/PMC11076037/pdf/","citationCount":"0","resultStr":null,"platform":"Semanticscholar","paperid":null,"PeriodicalName":"Cardiology journal","FirstCategoryId":"3","ListUrlMain":"https://doi.org/10.5603/CJ.a2023.0036","RegionNum":3,"RegionCategory":"医学","ArticlePicture":[],"TitleCN":null,"AbstractTextCN":null,"PMCID":null,"EPubDate":"2023/5/29 0:00:00","PubModel":"Epub","JCR":"Q2","JCRName":"CARDIAC & CARDIOVASCULAR SYSTEMS","Score":null,"Total":0}
引用次数: 0

Abstract

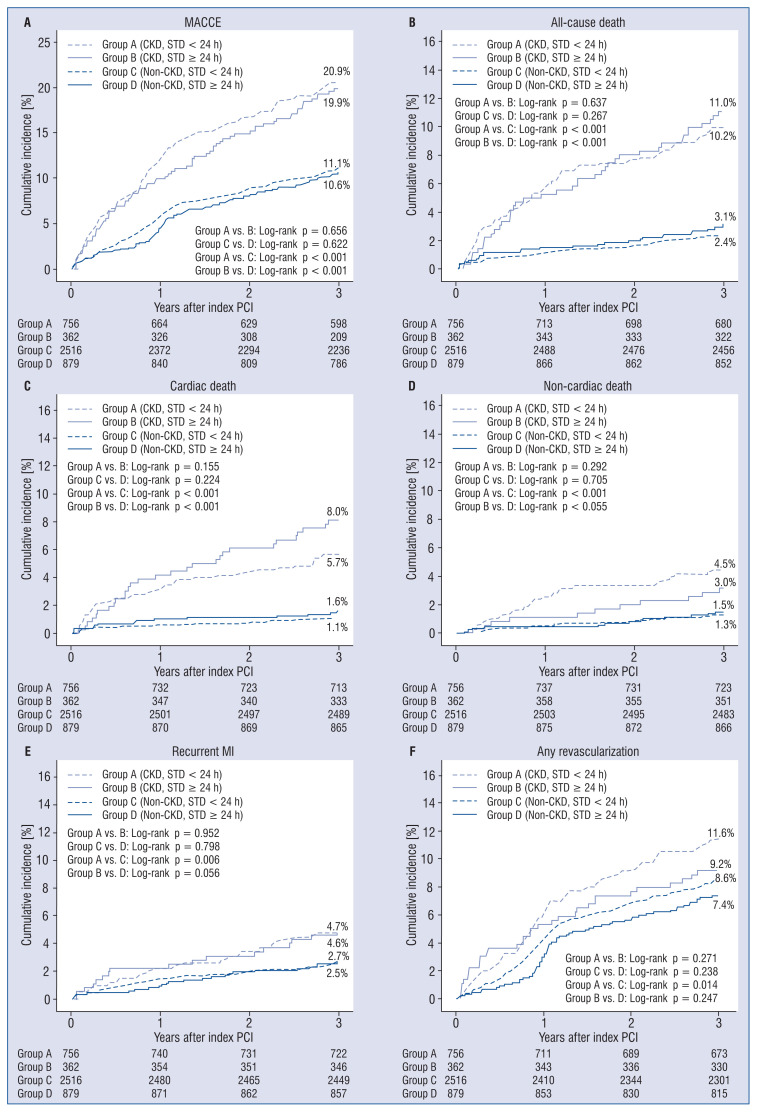
Background: We evaluated the effect of delayed hospitalization (symptom-to-door time [STD] ≥ 24 h) on 3-year clinical outcomes according to renal function in patients with non-ST-segment elevation myocardial infarction (NSTEMI) undergoing new-generation drug-eluting stent (DES) implantation.

Methods: A total of 4513 patients with NSTEMI were classified into chronic kidney disease (CKD) (estimated glomerular filtration rate [eGFR] < 60 mL/min/1.73 m², n = 1118) and non-CKD (eGFR ≥ 60 mL/min/1.73 m², n = 3395) groups. They were further sub-classified into groups with (STD ≥ 24 h) and without (STD < 24 h) delayed hospitalization. The primary outcome was the occurrence of major adverse cardiac and cerebrovascular events (MACCE), defined as all-cause death, recurrent myocardial infarction, any repeat coronary revascularization, and stroke. The secondary outcome was stent thrombosis (ST).

Results: After multivariable-adjusted and propensity score analyses, the primary and secondary clinical outcomes were similar in patients with or without delayed hospitalization in both CKD and non-CKD groups. However, in both the STD < 24 h and STD ≥ 24 h groups, MACCE (p < 0.001 and p < 0.006, respectively) and mortality rates were significantly higher in the CKD group than in the non-CKD group. However, ST rates were similar between the CKD and non-CKD groups and between the STD < 24 h and STD ≥ 24 h groups.

Conclusions: Chronic kidney disease appears to be a much more important determinant of MACCE and mortality rates than STD in patients with NSTEMI.

Abstract Image

Abstract Image

根据非 ST 段抬高型心肌梗死患者的肾功能,延迟住院对其 3 年临床预后的影响。
背景:我们评估了在接受新一代药物洗脱支架(DES)植入术的非ST段抬高型心肌梗死(NSTEMI)患者中,根据肾功能延迟住院(症状到门时间[STD]≥24 h)对3年临床预后的影响:将4513名NSTEMI患者分为慢性肾脏病(CKD)组(估计肾小球滤过率[eGFR]< 60 mL/min/1.73 m²,n = 1118)和非CKD组(eGFR ≥ 60 mL/min/1.73 m²,n = 3395)。他们被进一步细分为延迟住院组(STD ≥ 24 h)和未延迟住院组(STD < 24 h)。主要结果是主要心脑血管不良事件(MACCE)的发生率,定义为全因死亡、复发性心肌梗死、任何重复冠状动脉血运重建和中风。次要结果是支架血栓形成(ST):经过多变量调整和倾向评分分析后,CKD组和非CKD组患者的主要和次要临床结局相似。然而,在 STD < 24 小时组和 STD ≥ 24 小时组中,CKD 组的 MACCE(分别为 p < 0.001 和 p < 0.006)和死亡率均显著高于非 CKD 组。然而,慢性肾脏病组和非慢性肾脏病组之间以及STD < 24小时组和STD ≥ 24小时组之间的ST率相似:慢性肾脏病似乎是 NSTEMI 患者 MACCE 和死亡率的一个比 STD 更重要的决定因素。
本文章由计算机程序翻译,如有差异,请以英文原文为准。
求助全文
约1分钟内获得全文 求助全文
来源期刊
Cardiology journal
Cardiology journal CARDIAC & CARDIOVASCULAR SYSTEMS-
CiteScore
5.10
自引率
10.30%
发文量
188
审稿时长
4-8 weeks
期刊介绍: Cardiology Journal is a scientific, peer-reviewed journal covering a broad spectrum of topics in cardiology. The journal has been published since 1994 and over the years it has become an internationally recognized journal of cardiological and medical community. Cardiology Journal is the journal for practicing cardiologists, researchers, and young trainees benefiting from broad spectrum of useful educational content.
×
引用
GB/T 7714-2015
复制
MLA
复制
APA
复制
导出至
BibTeX EndNote RefMan NoteFirst NoteExpress
×
提示
您的信息不完整,为了账户安全,请先补充。
现在去补充
×
提示
您因"违规操作"
具体请查看互助需知
我知道了
×
提示
确定
请完成安全验证×
copy
已复制链接
快去分享给好友吧!
我知道了
右上角分享
点击右上角分享
0
联系我们:info@booksci.cn Book学术提供免费学术资源搜索服务,方便国内外学者检索中英文文献。致力于提供最便捷和优质的服务体验。 Copyright © 2023 布克学术 All rights reserved.
京ICP备2023020795号-1
ghs 京公网安备 11010802042870号
Book学术文献互助
Book学术文献互助群
群 号:604180095
Book学术官方微信