Ten-year follow-up investigation of stroke risk in systemic lupus erythematosus.

IF 4.9 1区 医学 Q1 CLINICAL NEUROLOGY
Jin-An Huang, Ching-Heng Lin, Ming-Ju Wu, Yi-Hsing Chen, Kuo-Cheng Chang, Chung-Wei Hou
{"title":"Ten-year follow-up investigation of stroke risk in systemic lupus erythematosus.","authors":"Jin-An Huang, Ching-Heng Lin, Ming-Ju Wu, Yi-Hsing Chen, Kuo-Cheng Chang, Chung-Wei Hou","doi":"10.1136/svn-2022-001499","DOIUrl":null,"url":null,"abstract":"<p><strong>Background and purpose: </strong>To analyse the long-term risk of ischaemic stroke and the clinical effects of antithrombotics on the risk of haemorrhagic stroke in patients with systemic lupus erythematosus (SLE).</p><p><strong>Methods: </strong>A retrospective cohort study was conducted using a population-based database taken from Taiwan National Health Insurance Research Database. Patients with SLE between 2000 and 2008 were registered and matched with two controls by the index date, age, gender and Charlson Comorbidity Index (CCI). These subjects were followed until either stroke event or 31 December 2013. Adjusted HRs (aHRs) for strokes were estimated with Cox regression models, and the cumulative incidence of ischaemic stroke was analysed by log-rank test and Kaplan-Meier survival analysis.</p><p><strong>Results: </strong>In total, 8310 patients with SLE and 16 620 patients without SLE were included. In general, patients with SLE had higher rates of ischaemic stroke (5.4% vs 3.3%) and haemorrhagic stroke (1.5% vs 0.6%) than in controls. In multivariate analysis adjusted to age, gender, CCI, urbanisation level and antithrombotics uses, aHRs of all strokes, ischaemic stroke and haemorrhagic stroke were 1.73 (95% CI: 1.54 to 1.94), 1.65 (95% CI: 1.45 to 1.87) and 2.24 (95% CI: 1.71 to 2.95), respectively, in patients with SLE. Patients with SLE were significantly more likely to suffer ischaemic stroke than patients without SLE, even 10 years after SLE diagnosis (6.12% vs 3.50%, p<0.001). Antiplatelet use increased the risk of haemorrhagic stroke in SLE group (aHR=1.74, 95% CI: 1.18 to 2.57).</p><p><strong>Conclusions: </strong>Patients with SLE are at greater risk of developing ischaemic stroke that lasts for 10 years. Antiplatelets should be carefully administered to prevent cardiovascular events in patients with SLE due to the risk of haemorrhagic stroke.</p>","PeriodicalId":22021,"journal":{"name":"Stroke and Vascular Neurology","volume":" ","pages":"1-7"},"PeriodicalIF":4.9000,"publicationDate":"2024-02-27","publicationTypes":"Journal Article","fieldsOfStudy":null,"isOpenAccess":false,"openAccessPdf":"https://www.ncbi.nlm.nih.gov/pmc/articles/PMC10956114/pdf/","citationCount":"0","resultStr":null,"platform":"Semanticscholar","paperid":null,"PeriodicalName":"Stroke and Vascular Neurology","FirstCategoryId":"3","ListUrlMain":"https://doi.org/10.1136/svn-2022-001499","RegionNum":1,"RegionCategory":"医学","ArticlePicture":[],"TitleCN":null,"AbstractTextCN":null,"PMCID":null,"EPubDate":"","PubModel":"","JCR":"Q1","JCRName":"CLINICAL NEUROLOGY","Score":null,"Total":0}
引用次数: 0

Abstract

Background and purpose: To analyse the long-term risk of ischaemic stroke and the clinical effects of antithrombotics on the risk of haemorrhagic stroke in patients with systemic lupus erythematosus (SLE).

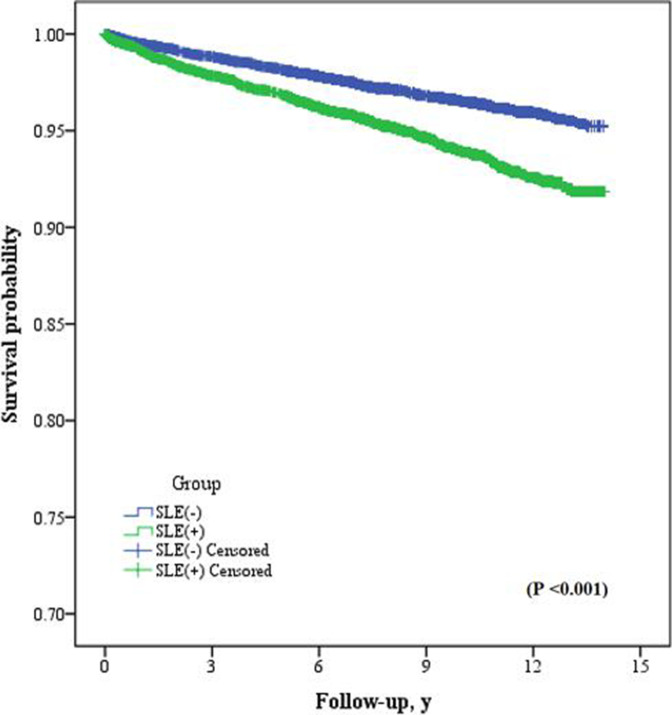
Methods: A retrospective cohort study was conducted using a population-based database taken from Taiwan National Health Insurance Research Database. Patients with SLE between 2000 and 2008 were registered and matched with two controls by the index date, age, gender and Charlson Comorbidity Index (CCI). These subjects were followed until either stroke event or 31 December 2013. Adjusted HRs (aHRs) for strokes were estimated with Cox regression models, and the cumulative incidence of ischaemic stroke was analysed by log-rank test and Kaplan-Meier survival analysis.

Results: In total, 8310 patients with SLE and 16 620 patients without SLE were included. In general, patients with SLE had higher rates of ischaemic stroke (5.4% vs 3.3%) and haemorrhagic stroke (1.5% vs 0.6%) than in controls. In multivariate analysis adjusted to age, gender, CCI, urbanisation level and antithrombotics uses, aHRs of all strokes, ischaemic stroke and haemorrhagic stroke were 1.73 (95% CI: 1.54 to 1.94), 1.65 (95% CI: 1.45 to 1.87) and 2.24 (95% CI: 1.71 to 2.95), respectively, in patients with SLE. Patients with SLE were significantly more likely to suffer ischaemic stroke than patients without SLE, even 10 years after SLE diagnosis (6.12% vs 3.50%, p<0.001). Antiplatelet use increased the risk of haemorrhagic stroke in SLE group (aHR=1.74, 95% CI: 1.18 to 2.57).

Conclusions: Patients with SLE are at greater risk of developing ischaemic stroke that lasts for 10 years. Antiplatelets should be carefully administered to prevent cardiovascular events in patients with SLE due to the risk of haemorrhagic stroke.

Abstract Image

Abstract Image

系统性红斑狼疮患者中风风险的十年跟踪调查。
背景和目的:分析系统性红斑狼疮(SLE)患者缺血性中风的长期风险以及抗血栓药物对出血性中风风险的临床影响:方法:我们利用台湾国民健康保险研究数据库中的人口数据库进行了一项回顾性队列研究。2000年至2008年间的系统性红斑狼疮患者被登记在册,并与两名对照者进行了指数日期、年龄、性别和夏尔森综合征指数(CCI)的配对。对这些受试者进行随访,直至发生中风事件或 2013 年 12 月 31 日。采用 Cox 回归模型估算脑卒中的调整 HRs(aHRs),并通过对数秩检验和 Kaplan-Meier 生存分析对缺血性脑卒中的累积发病率进行分析:结果:共纳入 8310 名系统性红斑狼疮患者和 16 620 名非系统性红斑狼疮患者。一般来说,系统性红斑狼疮患者缺血性中风(5.4% 对 3.3%)和出血性中风(1.5% 对 0.6%)的发病率高于对照组。在根据年龄、性别、CCI、城市化水平和抗血栓药物使用情况进行调整的多变量分析中,系统性红斑狼疮患者所有中风、缺血性中风和出血性中风的aHRs分别为1.73(95% CI:1.54至1.94)、1.65(95% CI:1.45至1.87)和2.24(95% CI:1.71至2.95)。即使在确诊系统性红斑狼疮 10 年后,系统性红斑狼疮患者发生缺血性中风的几率也明显高于非系统性红斑狼疮患者(6.12% 对 3.50%,p 结论:系统性红斑狼疮患者发生缺血性中风的风险比非系统性红斑狼疮患者更高:系统性红斑狼疮患者发生持续10年的缺血性中风的风险更大。由于出血性中风的风险,系统性红斑狼疮患者应谨慎使用抗血小板药物,以预防心血管事件的发生。
本文章由计算机程序翻译,如有差异,请以英文原文为准。
求助全文
约1分钟内获得全文 求助全文
来源期刊
Stroke and Vascular Neurology
Stroke and Vascular Neurology Medicine-Cardiology and Cardiovascular Medicine
CiteScore
11.20
自引率
1.70%
发文量
63
审稿时长
15 weeks
期刊介绍: Stroke and Vascular Neurology (SVN) is the official journal of the Chinese Stroke Association. Supported by a team of renowned Editors, and fully Open Access, the journal encourages debate on controversial techniques, issues on health policy and social medicine.
×
引用
GB/T 7714-2015
复制
MLA
复制
APA
复制
导出至
BibTeX EndNote RefMan NoteFirst NoteExpress
×
提示
您的信息不完整,为了账户安全,请先补充。
现在去补充
×
提示
您因"违规操作"
具体请查看互助需知
我知道了
×
提示
确定
请完成安全验证×
copy
已复制链接
快去分享给好友吧!
我知道了
右上角分享
点击右上角分享
0
联系我们:info@booksci.cn Book学术提供免费学术资源搜索服务,方便国内外学者检索中英文文献。致力于提供最便捷和优质的服务体验。 Copyright © 2023 布克学术 All rights reserved.
京ICP备2023020795号-1
ghs 京公网安备 11010802042870号
Book学术文献互助
Book学术文献互助群
群 号:604180095
Book学术官方微信