Doxorubicin and NRG-1/erbB4-Deficiency Affect Gene Expression Profile: Involving Protein Homeostasis in Mouse.

Cecilia Vasti, Henning Witt, Matilde Said, Patricia Sorroche, Hernán García-Rivello, Patricia Ruiz-Noppinger, Cecilia M Hertig
{"title":"Doxorubicin and NRG-1/erbB4-Deficiency Affect Gene Expression Profile: Involving Protein Homeostasis in Mouse.","authors":"Cecilia Vasti,&nbsp;Henning Witt,&nbsp;Matilde Said,&nbsp;Patricia Sorroche,&nbsp;Hernán García-Rivello,&nbsp;Patricia Ruiz-Noppinger,&nbsp;Cecilia M Hertig","doi":"10.5402/2012/745185","DOIUrl":null,"url":null,"abstract":"<p><p>The accumulating evidence demonstrates the essential role of neuregulin-1 signaling in the adult heart, and, moreover, indicates that an impaired neuregulin signaling exacerbates the doxorubicin-mediated cardiac toxicity. Despite this strong data, the specific cardiomyocyte targets of the active erbB2/erbB4 heterodimer remain unknown. In this paper, we examined pathways involved in cardiomyocyte damage as a result of the cardiac sensitization to anthracycline toxicity in the ventricular muscle-specific erbB4 knockout mouse. We performed morphological analyses to evaluate the ventricular remodeling and employed a cDNA microarray to assess the characteristic gene expression profile, verified data by real-time RT-PCR, and then grouped into functional categories and pathways. We confirm the upregulation of genes related to the classical signature of a hypertrophic response, implicating an erbB2-dependent mechanism in doxorubicin-treated erbB4-KO hearts. Our results indicate the remarkable downregulation of IGF-I/PI-3' kinase pathway and extends our current knowledge by uncovering an altered ubiquitin-proteasome system leading to cardiomyocyte autophagic vacuolization.</p>","PeriodicalId":73519,"journal":{"name":"ISRN cardiology","volume":"2012 ","pages":"745185"},"PeriodicalIF":0.0000,"publicationDate":"2012-01-01","publicationTypes":"Journal Article","fieldsOfStudy":null,"isOpenAccess":false,"openAccessPdf":"https://sci-hub-pdf.com/10.5402/2012/745185","citationCount":"10","resultStr":null,"platform":"Semanticscholar","paperid":null,"PeriodicalName":"ISRN cardiology","FirstCategoryId":"1085","ListUrlMain":"https://doi.org/10.5402/2012/745185","RegionNum":0,"RegionCategory":null,"ArticlePicture":[],"TitleCN":null,"AbstractTextCN":null,"PMCID":null,"EPubDate":"","PubModel":"","JCR":"","JCRName":"","Score":null,"Total":0}
引用次数: 10

Abstract

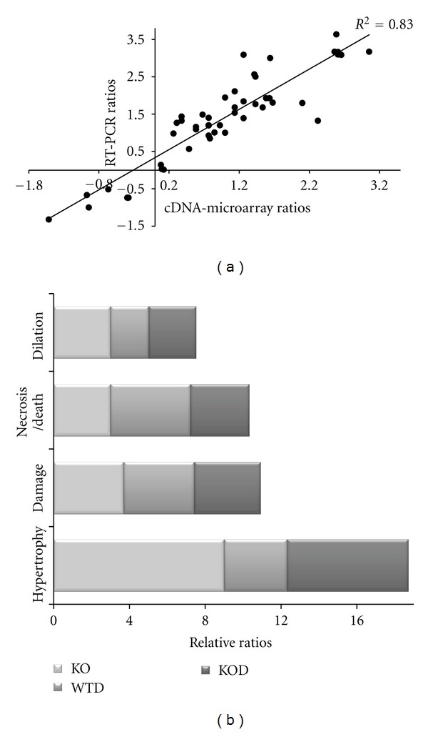
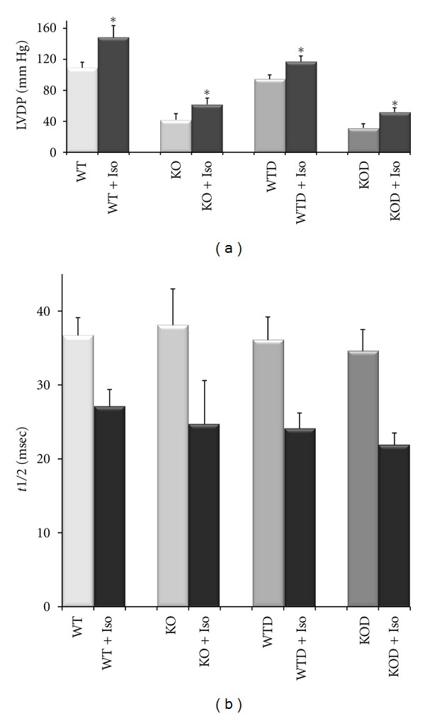
The accumulating evidence demonstrates the essential role of neuregulin-1 signaling in the adult heart, and, moreover, indicates that an impaired neuregulin signaling exacerbates the doxorubicin-mediated cardiac toxicity. Despite this strong data, the specific cardiomyocyte targets of the active erbB2/erbB4 heterodimer remain unknown. In this paper, we examined pathways involved in cardiomyocyte damage as a result of the cardiac sensitization to anthracycline toxicity in the ventricular muscle-specific erbB4 knockout mouse. We performed morphological analyses to evaluate the ventricular remodeling and employed a cDNA microarray to assess the characteristic gene expression profile, verified data by real-time RT-PCR, and then grouped into functional categories and pathways. We confirm the upregulation of genes related to the classical signature of a hypertrophic response, implicating an erbB2-dependent mechanism in doxorubicin-treated erbB4-KO hearts. Our results indicate the remarkable downregulation of IGF-I/PI-3' kinase pathway and extends our current knowledge by uncovering an altered ubiquitin-proteasome system leading to cardiomyocyte autophagic vacuolization.

Abstract Image

Abstract Image

Abstract Image

阿霉素和NRG-1/ erbb4缺乏影响基因表达谱:涉及小鼠蛋白稳态。
越来越多的证据表明,神经调节蛋白-1信号在成人心脏中的重要作用,而且,神经调节蛋白信号受损会加剧阿霉素介导的心脏毒性。尽管有这些强有力的数据,但活性erbB2/erbB4异源二聚体的特定心肌细胞靶点仍然未知。在本文中,我们研究了心室肌特异性erbB4敲除小鼠对蒽环类药物毒性的心脏致敏导致心肌细胞损伤的途径。我们通过形态学分析来评估心室重构,并采用cDNA微阵列来评估特征基因表达谱,通过实时RT-PCR验证数据,然后将其分为功能类别和途径。我们证实了与肥厚反应的经典特征相关的基因上调,暗示在阿霉素治疗的erbB4-KO心脏中存在erbb2依赖机制。我们的研究结果表明,IGF-I/PI-3激酶通路显著下调,并通过揭示导致心肌细胞自噬空泡化的泛素-蛋白酶体系统的改变,扩展了我们目前的知识。
本文章由计算机程序翻译,如有差异,请以英文原文为准。
求助全文
约1分钟内获得全文 求助全文
来源期刊
自引率
0.00%
发文量
0
×
引用
GB/T 7714-2015
复制
MLA
复制
APA
复制
导出至
BibTeX EndNote RefMan NoteFirst NoteExpress
×
提示
您的信息不完整,为了账户安全,请先补充。
现在去补充
×
提示
您因"违规操作"
具体请查看互助需知
我知道了
×
提示
确定
请完成安全验证×
copy
已复制链接
快去分享给好友吧!
我知道了
右上角分享
点击右上角分享
0
联系我们:info@booksci.cn Book学术提供免费学术资源搜索服务,方便国内外学者检索中英文文献。致力于提供最便捷和优质的服务体验。 Copyright © 2023 布克学术 All rights reserved.
京ICP备2023020795号-1
ghs 京公网安备 11010802042870号
Book学术文献互助
Book学术文献互助群
群 号:604180095
Book学术官方微信