Sociogenesis in unbounded space: modelling self-organised cohesive collective motion.

IF 1.6 4区 生物学 Q4 BIOCHEMISTRY & MOLECULAR BIOLOGY
Zohar Neu, Luca Giuggioli
{"title":"Sociogenesis in unbounded space: modelling self-organised cohesive collective motion.","authors":"Zohar Neu, Luca Giuggioli","doi":"10.1088/1478-3975/acc4ff","DOIUrl":null,"url":null,"abstract":"<p><p>Maintaining cohesion between randomly moving agents in unbounded space is an essential functionality for many real-world applications requiring distributed multi-agent systems. We develop a bio-inspired collective movement model in 1D unbounded space to ensure such functionality. Using an internal agent belief to estimate the mesoscopic state of the system, agent motion is coupled to a dynamically self-generated social ranking variable. This coupling between social information and individual movement is exploited to induce spatial self-sorting and produces an adaptive, group-relative coordinate system that stabilises random motion in unbounded space. We investigate the state-space of the model in terms of its key control parameters and find two separate regimes for the system to attain dynamical cohesive states, including a Partial Sensing regime in which the system self-selects nearest-neighbour distances so as to ensure a near-constant mean number of sensed neighbours. Overall, our approach constitutes a novel theoretical development in models of collective movement, as it considers agents who make decisions based on internal representations of their social environment that explicitly take into account spatial variation in a dynamic internal variable.</p>","PeriodicalId":20207,"journal":{"name":"Physical biology","volume":"20 3","pages":""},"PeriodicalIF":1.6000,"publicationDate":"2023-03-28","publicationTypes":"Journal Article","fieldsOfStudy":null,"isOpenAccess":false,"openAccessPdf":"https://www.ncbi.nlm.nih.gov/pmc/articles/PMC7616385/pdf/","citationCount":"0","resultStr":null,"platform":"Semanticscholar","paperid":null,"PeriodicalName":"Physical biology","FirstCategoryId":"99","ListUrlMain":"https://doi.org/10.1088/1478-3975/acc4ff","RegionNum":4,"RegionCategory":"生物学","ArticlePicture":[],"TitleCN":null,"AbstractTextCN":null,"PMCID":null,"EPubDate":"","PubModel":"","JCR":"Q4","JCRName":"BIOCHEMISTRY & MOLECULAR BIOLOGY","Score":null,"Total":0}
引用次数: 0

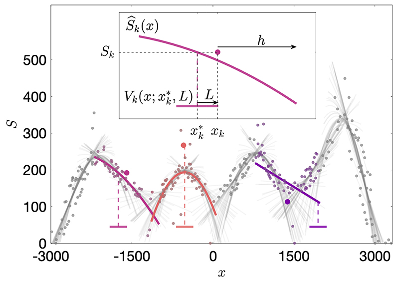
Abstract

Maintaining cohesion between randomly moving agents in unbounded space is an essential functionality for many real-world applications requiring distributed multi-agent systems. We develop a bio-inspired collective movement model in 1D unbounded space to ensure such functionality. Using an internal agent belief to estimate the mesoscopic state of the system, agent motion is coupled to a dynamically self-generated social ranking variable. This coupling between social information and individual movement is exploited to induce spatial self-sorting and produces an adaptive, group-relative coordinate system that stabilises random motion in unbounded space. We investigate the state-space of the model in terms of its key control parameters and find two separate regimes for the system to attain dynamical cohesive states, including a Partial Sensing regime in which the system self-selects nearest-neighbour distances so as to ensure a near-constant mean number of sensed neighbours. Overall, our approach constitutes a novel theoretical development in models of collective movement, as it considers agents who make decisions based on internal representations of their social environment that explicitly take into account spatial variation in a dynamic internal variable.

Abstract Image

Abstract Image

Abstract Image

无界空间中的社会生成:自组织内聚集体运动建模。
在无界空间中保持随机移动的代理之间的凝聚力,是许多需要分布式多代理系统的实际应用的基本功能。我们开发了一种受生物启发的一维无界空间集体运动模型,以确保这种功能。利用内部代理信念来估计系统的中观状态,代理运动与动态自生成的社会排名变量相耦合。社会信息和个体运动之间的这种耦合被用来诱导空间自排序,并产生一个自适应的、群体相关的坐标系统,从而稳定无界空间中的随机运动。我们根据该模型的关键控制参数对其状态空间进行了研究,并发现了该系统达到动态内聚状态的两个独立系统,包括一个部分感应系统,在该系统中,系统会自我选择近邻距离,以确保感应到的邻居的平均数量接近恒定。总之,我们的方法是集体运动模型的一个新的理论发展,因为它考虑到了根据其社会环境的内部表征做出决策的代理,这些表征明确地考虑到了动态内部变量的空间变化。
本文章由计算机程序翻译,如有差异,请以英文原文为准。
求助全文
约1分钟内获得全文 求助全文
来源期刊
Physical biology
Physical biology 生物-生物物理
CiteScore
4.20
自引率
0.00%
发文量
50
审稿时长
3 months
期刊介绍: Physical Biology publishes articles in the broad interdisciplinary field bridging biology with the physical sciences and engineering. This journal focuses on research in which quantitative approaches – experimental, theoretical and modeling – lead to new insights into biological systems at all scales of space and time, and all levels of organizational complexity. Physical Biology accepts contributions from a wide range of biological sub-fields, including topics such as: molecular biophysics, including single molecule studies, protein-protein and protein-DNA interactions subcellular structures, organelle dynamics, membranes, protein assemblies, chromosome structure intracellular processes, e.g. cytoskeleton dynamics, cellular transport, cell division systems biology, e.g. signaling, gene regulation and metabolic networks cells and their microenvironment, e.g. cell mechanics and motility, chemotaxis, extracellular matrix, biofilms cell-material interactions, e.g. biointerfaces, electrical stimulation and sensing, endocytosis cell-cell interactions, cell aggregates, organoids, tissues and organs developmental dynamics, including pattern formation and morphogenesis physical and evolutionary aspects of disease, e.g. cancer progression, amyloid formation neuronal systems, including information processing by networks, memory and learning population dynamics, ecology, and evolution collective action and emergence of collective phenomena.
×
引用
GB/T 7714-2015
复制
MLA
复制
APA
复制
导出至
BibTeX EndNote RefMan NoteFirst NoteExpress
×
提示
您的信息不完整,为了账户安全,请先补充。
现在去补充
×
提示
您因"违规操作"
具体请查看互助需知
我知道了
×
提示
确定
请完成安全验证×
copy
已复制链接
快去分享给好友吧!
我知道了
右上角分享
点击右上角分享
0
联系我们:info@booksci.cn Book学术提供免费学术资源搜索服务,方便国内外学者检索中英文文献。致力于提供最便捷和优质的服务体验。 Copyright © 2023 布克学术 All rights reserved.
京ICP备2023020795号-1
ghs 京公网安备 11010802042870号
Book学术文献互助
Book学术文献互助群
群 号:604180095
Book学术官方微信