A New Index for the Quantitative Evaluation of Surgical Invasiveness Based on Perioperative Patients' Behavior Patterns: Machine Learning Approach Using Triaxial Acceleration.

Kozo Nakanishi, Hidenori Goto
{"title":"A New Index for the Quantitative Evaluation of Surgical Invasiveness Based on Perioperative Patients' Behavior Patterns: Machine Learning Approach Using Triaxial Acceleration.","authors":"Kozo Nakanishi, Hidenori Goto","doi":"10.2196/50188","DOIUrl":null,"url":null,"abstract":"<p><strong>Background: </strong>The minimally invasive nature of thoracoscopic surgery is well recognized; however, the absence of a reliable evaluation method remains challenging. We hypothesized that the postoperative recovery speed is closely linked to surgical invasiveness, where recovery signifies the patient's behavior transition back to their preoperative state during the perioperative period.</p><p><strong>Objective: </strong>This study aims to determine whether machine learning using triaxial acceleration data can effectively capture perioperative behavior changes and establish a quantitative index for quantifying variations in surgical invasiveness.</p><p><strong>Methods: </strong>We trained 7 distinct machine learning models using a publicly available human acceleration data set as supervised data. The 3 top-performing models were selected to predict patient actions, as determined by the Matthews correlation coefficient scores. Two patients who underwent different levels of invasive thoracoscopic surgery were selected as participants. Acceleration data were collected via chest sensors for 8 hours during the preoperative and postoperative hospitalization days. These data were categorized into 4 actions (walking, standing, sitting, and lying down) using the selected models. The actions predicted by the model with intermediate results were adopted as the actions of the participants. The daily appearance probability was calculated for each action. The 2 differences between 2 appearance probabilities (sitting vs standing and lying down vs walking) were calculated using 2 coordinates on the x- and y-axes. A 2D vector composed of coordinate values was defined as the index of behavior pattern (iBP) for the day. All daily iBPs were graphed, and the enclosed area and distance between points were calculated and compared between participants to assess the relationship between changes in the indices and invasiveness.</p><p><strong>Results: </strong>Patients 1 and 2 underwent lung lobectomy and incisional tumor biopsy, respectively. The selected predictive model was a light-gradient boosting model (mean Matthews correlation coefficient 0.98, SD 0.0027; accuracy: 0.98). The acceleration data yielded 548,466 points for patient 1 and 466,407 points for patient 2. The iBPs of patient 1 were [(0.32, 0.19), (-0.098, 0.46), (-0.15, 0.13), (-0.049, 0.22)] and those of patient 2 were [(0.55, 0.30), (0.77, 0.21), (0.60, 0.25), (0.61, 0.31)]. The enclosed areas were 0.077 and 0.0036 for patients 1 and 2, respectively. Notably, the distances for patient 1 were greater than those for patient 2 ({0.44, 0.46, 0.37, 0.26} vs {0.23, 0.0065, 0.059}; P=.03 [Mann-Whitney U test]).</p><p><strong>Conclusions: </strong>The selected machine learning model effectively predicted the actions of the surgical patients with high accuracy. The temporal distribution of action times revealed changes in behavior patterns during the perioperative phase. The proposed index may facilitate the recognition and visualization of perioperative changes in patients and differences in surgical invasiveness.</p>","PeriodicalId":73557,"journal":{"name":"JMIR perioperative medicine","volume":"6 ","pages":"e50188"},"PeriodicalIF":0.0000,"publicationDate":"2023-11-14","publicationTypes":"Journal Article","fieldsOfStudy":null,"isOpenAccess":false,"openAccessPdf":"https://www.ncbi.nlm.nih.gov/pmc/articles/PMC10685283/pdf/","citationCount":"0","resultStr":null,"platform":"Semanticscholar","paperid":null,"PeriodicalName":"JMIR perioperative medicine","FirstCategoryId":"1085","ListUrlMain":"https://doi.org/10.2196/50188","RegionNum":0,"RegionCategory":null,"ArticlePicture":[],"TitleCN":null,"AbstractTextCN":null,"PMCID":null,"EPubDate":"","PubModel":"","JCR":"","JCRName":"","Score":null,"Total":0}
引用次数: 0

Abstract

Background: The minimally invasive nature of thoracoscopic surgery is well recognized; however, the absence of a reliable evaluation method remains challenging. We hypothesized that the postoperative recovery speed is closely linked to surgical invasiveness, where recovery signifies the patient's behavior transition back to their preoperative state during the perioperative period.

Objective: This study aims to determine whether machine learning using triaxial acceleration data can effectively capture perioperative behavior changes and establish a quantitative index for quantifying variations in surgical invasiveness.

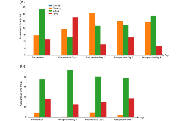
Methods: We trained 7 distinct machine learning models using a publicly available human acceleration data set as supervised data. The 3 top-performing models were selected to predict patient actions, as determined by the Matthews correlation coefficient scores. Two patients who underwent different levels of invasive thoracoscopic surgery were selected as participants. Acceleration data were collected via chest sensors for 8 hours during the preoperative and postoperative hospitalization days. These data were categorized into 4 actions (walking, standing, sitting, and lying down) using the selected models. The actions predicted by the model with intermediate results were adopted as the actions of the participants. The daily appearance probability was calculated for each action. The 2 differences between 2 appearance probabilities (sitting vs standing and lying down vs walking) were calculated using 2 coordinates on the x- and y-axes. A 2D vector composed of coordinate values was defined as the index of behavior pattern (iBP) for the day. All daily iBPs were graphed, and the enclosed area and distance between points were calculated and compared between participants to assess the relationship between changes in the indices and invasiveness.

Results: Patients 1 and 2 underwent lung lobectomy and incisional tumor biopsy, respectively. The selected predictive model was a light-gradient boosting model (mean Matthews correlation coefficient 0.98, SD 0.0027; accuracy: 0.98). The acceleration data yielded 548,466 points for patient 1 and 466,407 points for patient 2. The iBPs of patient 1 were [(0.32, 0.19), (-0.098, 0.46), (-0.15, 0.13), (-0.049, 0.22)] and those of patient 2 were [(0.55, 0.30), (0.77, 0.21), (0.60, 0.25), (0.61, 0.31)]. The enclosed areas were 0.077 and 0.0036 for patients 1 and 2, respectively. Notably, the distances for patient 1 were greater than those for patient 2 ({0.44, 0.46, 0.37, 0.26} vs {0.23, 0.0065, 0.059}; P=.03 [Mann-Whitney U test]).

Conclusions: The selected machine learning model effectively predicted the actions of the surgical patients with high accuracy. The temporal distribution of action times revealed changes in behavior patterns during the perioperative phase. The proposed index may facilitate the recognition and visualization of perioperative changes in patients and differences in surgical invasiveness.

Abstract Image

Abstract Image

Abstract Image

基于围手术期患者行为模式的手术侵入性定量评价新指标:基于三轴加速的机器学习方法
背景:胸腔镜手术的微创性是公认的;然而,缺乏可靠的评估方法仍然具有挑战性。我们假设术后恢复速度与手术侵入性密切相关,其中恢复意味着患者在围手术期的行为恢复到术前状态。目的:本研究旨在确定利用三轴加速度数据的机器学习能否有效捕捉围手术期行为变化,并建立量化手术侵入性变化的量化指标。方法:我们使用公开可用的人类加速度数据集作为监督数据训练了7种不同的机器学习模型。选择3个表现最好的模型来预测患者的行为,由马修斯相关系数评分决定。选取两名接受不同程度有创胸腔镜手术的患者作为研究对象。在术前和术后住院期间,通过胸部传感器收集8小时的加速度数据。使用选定的模型将这些数据分类为4种动作(行走、站立、坐着和躺着)。采用具有中间结果的模型预测的行为作为参与者的行为。计算每个动作的每日出现概率。使用x轴和y轴上的两个坐标计算两种外观概率(坐着vs站着,躺着vs走路)之间的2种差异。将一个由坐标值组成的二维向量定义为当天行为模式指数(iBP)。绘制每日ibp图,计算围合面积和点间距离,比较各指标变化与侵袭性的关系。结果:患者1、2分别行肺叶切除术和切口肿瘤活检。选择的预测模型为光梯度增强模型(平均马修斯相关系数0.98,标准差0.0027;准确性:0.98)。患者1的加速数据为548,466分,患者2为466,407分。病人的紧急后备1是[(0.32,0.19),(-0.098,0.46),(-0.15,0.13),(-0.049,0.22)]和病人2[(0.55,0.30),(0.77,0.21),(0.60,0.25),(0.61,0.31)]。患者1和患者2的封闭面积分别为0.077和0.0036。值得注意的是,患者1的距离大于患者2 ({0.44,0.46,0.37,0.26}vs {0.23, 0.0065, 0.059};P =。[曼-惠特尼测试])。结论:所选择的机器学习模型能有效预测手术患者的动作,准确率高。动作时间的时间分布揭示了围手术期行为模式的变化。该指标有助于识别和可视化患者围手术期的变化和手术侵入性的差异。
本文章由计算机程序翻译,如有差异,请以英文原文为准。
求助全文
约1分钟内获得全文 求助全文
来源期刊
CiteScore
0.50
自引率
0.00%
发文量
0
审稿时长
12 weeks
×
引用
GB/T 7714-2015
复制
MLA
复制
APA
复制
导出至
BibTeX EndNote RefMan NoteFirst NoteExpress
×
提示
您的信息不完整,为了账户安全,请先补充。
现在去补充
×
提示
您因"违规操作"
具体请查看互助需知
我知道了
×
提示
确定
请完成安全验证×
copy
已复制链接
快去分享给好友吧!
我知道了
右上角分享
点击右上角分享
0
联系我们:info@booksci.cn Book学术提供免费学术资源搜索服务,方便国内外学者检索中英文文献。致力于提供最便捷和优质的服务体验。 Copyright © 2023 布克学术 All rights reserved.
京ICP备2023020795号-1
ghs 京公网安备 11010802042870号
Book学术文献互助
Book学术文献互助群
群 号:604180095
Book学术官方微信