Characteristics of intracranial plaque in patients with non-cardioembolic stroke and intracranial large vessel occlusion.

IF 4.9 1区 医学 Q1 CLINICAL NEUROLOGY
Stroke and Vascular Neurology Pub Date : 2023-10-01 Epub Date: 2023-03-13 DOI:10.1136/svn-2022-002071
Dan Wang, Zi-Yang Shang, Yu Cui, Ben-Qiang Yang, George Ntaios, Hui-Sheng Chen
{"title":"Characteristics of intracranial plaque in patients with non-cardioembolic stroke and intracranial large vessel occlusion.","authors":"Dan Wang, Zi-Yang Shang, Yu Cui, Ben-Qiang Yang, George Ntaios, Hui-Sheng Chen","doi":"10.1136/svn-2022-002071","DOIUrl":null,"url":null,"abstract":"<p><strong>Objective: </strong>To determine the characteristics of intracranial plaque proximal to large vessel occlusion (LVO) in stroke patients without major-risk cardioembolic source using 3.0 T high-resolution MRI (HR-MRI).</p><p><strong>Methods: </strong>We retrospectively enrolled eligible patients from January 2015 to July 2021. The multidimensional parameters of plaque such as remodelling index (RI), plaque burden (PB), percentage lipid-rich necrotic core (%LRNC), presence of discontinuity of plaque surface (DPS), fibrous cap rupture, intraplaque haemorrhage and complicated plaque were evaluated by HR-MRI.</p><p><strong>Results: </strong>Among 279 stroke patients, intracranial plaque proximal to LVO was more prevalent in the ipsilateral versus contralateral side to stroke (75.6% vs 58.8%, p<0.001). The larger PB (p<0.001), RI (p<0.001) and %LRNC (p=0.001), the higher prevalence of DPS (61.1% vs 50.6%, p=0.041) and complicated plaque (63.0% vs 50.6%, p=0.016) were observed in the plaque ipsilateral versus contralateral to stroke. Logistic analysis showed that RI and PB were positively associated with an ischaemic stroke (RI: crude OR: 1.303, 95% CI 1.072 to 1.584, p=0.008; PB: crude OR: 1.677, 95% CI 1.381 to 2.037, p<0.001). In subgroup with <50% stenotic plaque, the greater PB, RI, %LRNC and the presence of complicated plaque were more closely related to stroke, which was not evident in subgroup with ≥50% stenotic plaque.</p><p><strong>Conclusion: </strong>This is the first study to report the characteristics of intracranial plaque proximal to LVO in non-cardioembolic stroke. It provides potential evidence to support different aetiological roles of <50% stenotic vs ≥50% stenotic intracranial plaque in this population.</p>","PeriodicalId":22021,"journal":{"name":"Stroke and Vascular Neurology","volume":" ","pages":"387-398"},"PeriodicalIF":4.9000,"publicationDate":"2023-10-01","publicationTypes":"Journal Article","fieldsOfStudy":null,"isOpenAccess":false,"openAccessPdf":"https://www.ncbi.nlm.nih.gov/pmc/articles/PMC10648047/pdf/","citationCount":"0","resultStr":null,"platform":"Semanticscholar","paperid":null,"PeriodicalName":"Stroke and Vascular Neurology","FirstCategoryId":"3","ListUrlMain":"https://doi.org/10.1136/svn-2022-002071","RegionNum":1,"RegionCategory":"医学","ArticlePicture":[],"TitleCN":null,"AbstractTextCN":null,"PMCID":null,"EPubDate":"2023/3/13 0:00:00","PubModel":"Epub","JCR":"Q1","JCRName":"CLINICAL NEUROLOGY","Score":null,"Total":0}
引用次数: 0

Abstract

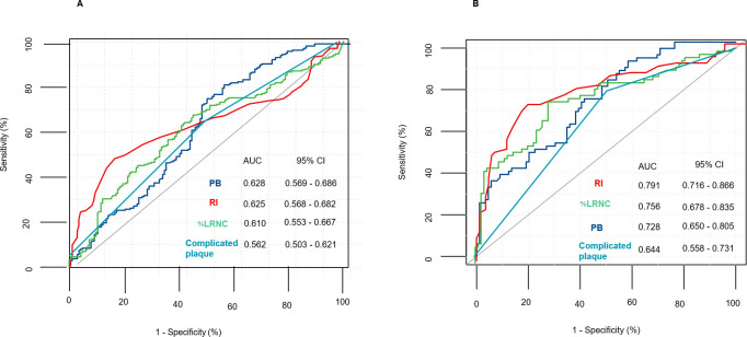
Objective: To determine the characteristics of intracranial plaque proximal to large vessel occlusion (LVO) in stroke patients without major-risk cardioembolic source using 3.0 T high-resolution MRI (HR-MRI).

Methods: We retrospectively enrolled eligible patients from January 2015 to July 2021. The multidimensional parameters of plaque such as remodelling index (RI), plaque burden (PB), percentage lipid-rich necrotic core (%LRNC), presence of discontinuity of plaque surface (DPS), fibrous cap rupture, intraplaque haemorrhage and complicated plaque were evaluated by HR-MRI.

Results: Among 279 stroke patients, intracranial plaque proximal to LVO was more prevalent in the ipsilateral versus contralateral side to stroke (75.6% vs 58.8%, p<0.001). The larger PB (p<0.001), RI (p<0.001) and %LRNC (p=0.001), the higher prevalence of DPS (61.1% vs 50.6%, p=0.041) and complicated plaque (63.0% vs 50.6%, p=0.016) were observed in the plaque ipsilateral versus contralateral to stroke. Logistic analysis showed that RI and PB were positively associated with an ischaemic stroke (RI: crude OR: 1.303, 95% CI 1.072 to 1.584, p=0.008; PB: crude OR: 1.677, 95% CI 1.381 to 2.037, p<0.001). In subgroup with <50% stenotic plaque, the greater PB, RI, %LRNC and the presence of complicated plaque were more closely related to stroke, which was not evident in subgroup with ≥50% stenotic plaque.

Conclusion: This is the first study to report the characteristics of intracranial plaque proximal to LVO in non-cardioembolic stroke. It provides potential evidence to support different aetiological roles of <50% stenotic vs ≥50% stenotic intracranial plaque in this population.

Abstract Image

Abstract Image

Abstract Image

非心源性脑卒中和颅内大血管闭塞患者的颅内斑块特征。
目的:应用3.0T高分辨率MRI(HR-MRI)确定无主要心脏栓塞源的脑卒中患者大血管闭塞(LVO)近端颅内斑块的特征。方法:我们对2015年1月至2021年7月符合条件的患者进行了回顾性研究。应用HR-MRI评价斑块的多维参数,如重塑指数(RI)、斑块负荷(PB)、富脂坏死核心百分比(%LRNC)、斑块表面不连续性(DPS)、纤维帽破裂、斑块内出血和复杂斑块。结果:在279例脑卒中患者中,LVO附近的颅内斑块在脑卒中的同侧比对侧更常见(75.6%比58.8%,P结论:这是首次报道非心源性栓塞性脑卒中中LVO附近颅内斑块特征的研究
本文章由计算机程序翻译,如有差异,请以英文原文为准。
求助全文
约1分钟内获得全文 求助全文
来源期刊
Stroke and Vascular Neurology
Stroke and Vascular Neurology Medicine-Cardiology and Cardiovascular Medicine
CiteScore
11.20
自引率
1.70%
发文量
63
审稿时长
15 weeks
期刊介绍: Stroke and Vascular Neurology (SVN) is the official journal of the Chinese Stroke Association. Supported by a team of renowned Editors, and fully Open Access, the journal encourages debate on controversial techniques, issues on health policy and social medicine.
×
引用
GB/T 7714-2015
复制
MLA
复制
APA
复制
导出至
BibTeX EndNote RefMan NoteFirst NoteExpress
×
提示
您的信息不完整,为了账户安全,请先补充。
现在去补充
×
提示
您因"违规操作"
具体请查看互助需知
我知道了
×
提示
确定
请完成安全验证×
copy
已复制链接
快去分享给好友吧!
我知道了
右上角分享
点击右上角分享
0
联系我们:info@booksci.cn Book学术提供免费学术资源搜索服务,方便国内外学者检索中英文文献。致力于提供最便捷和优质的服务体验。 Copyright © 2023 布克学术 All rights reserved.
京ICP备2023020795号-1
ghs 京公网安备 11010802042870号
Book学术文献互助
Book学术文献互助群
群 号:604180095
Book学术官方微信