Isoniazid Preventive Therapy Uptake and Its Effect on Tuberculosis Incidence Among People Living with HIV in Illubabor and Buno Bedelle Zones, South-West Ethiopia, 2022: A Retrospective Cohort Study.

IF 1.8 Q4 INFECTIOUS DISEASES
HIV AIDS-Research and Palliative Care Pub Date : 2023-11-06 eCollection Date: 2023-01-01 DOI:10.2147/HIV.S436787
Gebremeskel Mulatu, Maycas Gembe, Jiregna Chalchisa, Tigist Teklu, Worke Yismaw, Debela Dereje, Habtamu Wondmagegn
{"title":"Isoniazid Preventive Therapy Uptake and Its Effect on Tuberculosis Incidence Among People Living with HIV in Illubabor and Buno Bedelle Zones, South-West Ethiopia, 2022: A Retrospective Cohort Study.","authors":"Gebremeskel Mulatu, Maycas Gembe, Jiregna Chalchisa, Tigist Teklu, Worke Yismaw, Debela Dereje, Habtamu Wondmagegn","doi":"10.2147/HIV.S436787","DOIUrl":null,"url":null,"abstract":"<p><strong>Introduction: </strong>Tuberculosis (TB) remains the leading cause of death among human immune deficiency virus (HIV) patients. Based on the 2020 global TB report, Ethiopia was among the 30 high TB and TB/HIV burden countries. This study filled gaps regarding IPT uptake in the study area and representative sample determination for assessing TB incidence and its predictors at public health facilities in Illubabor and Buno Bedelle zones, south-west Ethiopia.</p><p><strong>Methods: </strong>This retrospective cohort study was conducted among people living with HIV (PLHIV) who were on antiretroviral therapy (ART) at public health facilities in Illubabor and Buno Bedelle zones, south-west Ethiopia. Both isoniazid preventive therapy (IPT) exposed and unexposed PLHIV were followed from the date of ART initiation until the date of TB diagnosis of the most recent visit prior to the end of follow-up. The Cox proportional hazard model was employed to identify variables that predicted the incidence of TB at a P value of <0.05.</p><p><strong>Results: </strong>Data were collected on 421 PLHIV, with a response rate of 97.4%. The median (interquartile range (IQR)) age of the study participants was 32 (28-40) year. The incidence rate of pulmonary TB was 3.1 per 1000 person-months (95% CI: 2.4-3.9). The incidence rate of TB among IPT-exposed PLHIV was 1.45 per 1000 person-months, but it was 6.2 per 1000 person-months in the unexposed group. Patient's residence, IPT exposure, baseline ART adherence, baseline hemoglobin level, baseline CD4+ cell, recent hemoglobin level, recent CD4+ cell, recent BMI, and recent WHO HIV clinical stage were independently associated with the incidence of TB.</p><p><strong>Conclusion: </strong>Healthcare professionals working in ART clinics should routinely assess HIV-positive individuals for changes in clinical indicators and environmental exposures like living conditions, which will help HIV-positive individuals in reducing their risk for TB. Likewise, patients attending ART clinics should receive counseling on a regular basis.</p>","PeriodicalId":46555,"journal":{"name":"HIV AIDS-Research and Palliative Care","volume":"15 ","pages":"649-662"},"PeriodicalIF":1.8000,"publicationDate":"2023-11-06","publicationTypes":"Journal Article","fieldsOfStudy":null,"isOpenAccess":false,"openAccessPdf":"https://www.ncbi.nlm.nih.gov/pmc/articles/PMC10637256/pdf/","citationCount":"0","resultStr":null,"platform":"Semanticscholar","paperid":null,"PeriodicalName":"HIV AIDS-Research and Palliative Care","FirstCategoryId":"1085","ListUrlMain":"https://doi.org/10.2147/HIV.S436787","RegionNum":0,"RegionCategory":null,"ArticlePicture":[],"TitleCN":null,"AbstractTextCN":null,"PMCID":null,"EPubDate":"2023/1/1 0:00:00","PubModel":"eCollection","JCR":"Q4","JCRName":"INFECTIOUS DISEASES","Score":null,"Total":0}
引用次数: 0

Abstract

Introduction: Tuberculosis (TB) remains the leading cause of death among human immune deficiency virus (HIV) patients. Based on the 2020 global TB report, Ethiopia was among the 30 high TB and TB/HIV burden countries. This study filled gaps regarding IPT uptake in the study area and representative sample determination for assessing TB incidence and its predictors at public health facilities in Illubabor and Buno Bedelle zones, south-west Ethiopia.

Methods: This retrospective cohort study was conducted among people living with HIV (PLHIV) who were on antiretroviral therapy (ART) at public health facilities in Illubabor and Buno Bedelle zones, south-west Ethiopia. Both isoniazid preventive therapy (IPT) exposed and unexposed PLHIV were followed from the date of ART initiation until the date of TB diagnosis of the most recent visit prior to the end of follow-up. The Cox proportional hazard model was employed to identify variables that predicted the incidence of TB at a P value of <0.05.

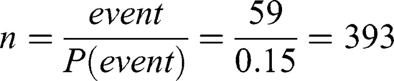
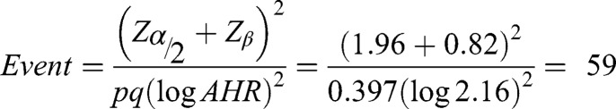
Results: Data were collected on 421 PLHIV, with a response rate of 97.4%. The median (interquartile range (IQR)) age of the study participants was 32 (28-40) year. The incidence rate of pulmonary TB was 3.1 per 1000 person-months (95% CI: 2.4-3.9). The incidence rate of TB among IPT-exposed PLHIV was 1.45 per 1000 person-months, but it was 6.2 per 1000 person-months in the unexposed group. Patient's residence, IPT exposure, baseline ART adherence, baseline hemoglobin level, baseline CD4+ cell, recent hemoglobin level, recent CD4+ cell, recent BMI, and recent WHO HIV clinical stage were independently associated with the incidence of TB.

Conclusion: Healthcare professionals working in ART clinics should routinely assess HIV-positive individuals for changes in clinical indicators and environmental exposures like living conditions, which will help HIV-positive individuals in reducing their risk for TB. Likewise, patients attending ART clinics should receive counseling on a regular basis.

Abstract Image

Abstract Image

Abstract Image

异烟肼预防治疗及其对2022年埃塞俄比亚西南部Illubabor和Buno Bedelle地区艾滋病毒感染者结核病发病率的影响:一项回顾性队列研究
简介:结核病(TB)仍然是人类免疫缺陷病毒(HIV)患者死亡的主要原因。根据2020年全球结核病报告,埃塞俄比亚是30个结核病和结核病/艾滋病毒高负担国家之一。这项研究填补了研究地区在IPT吸收方面的空白,以及在埃塞俄比亚西南部Illubabor和Buno Bedelle地区公共卫生设施中评估结核病发病率及其预测因素的代表性样本确定。方法:本回顾性队列研究在埃塞俄比亚西南部Illubabor和Buno Bedelle地区公共卫生机构接受抗逆转录病毒治疗(ART)的艾滋病毒感染者(PLHIV)中进行。对接受异烟肼预防治疗(IPT)和未接受IPT治疗的PLHIV患者进行随访,从开始接受抗逆转录病毒治疗之日起至随访结束前最近一次就诊的结核病诊断之日止。采用Cox比例风险模型识别预测TB发病率的变量,P值为。结果:收集了421例PLHIV患者的数据,有效率为97.4%。研究参与者的年龄中位数(四分位间距(IQR))为32岁(28-40岁)。肺结核的发病率为3.1 / 1000人月(95% CI: 2.4-3.9)。暴露于ipt的PLHIV感染者的结核病发病率为每1000人月1.45例,而未暴露组为每1000人月6.2例。患者的居住地、IPT暴露、基线抗逆转录病毒治疗依从性、基线血红蛋白水平、基线CD4+细胞、近期血红蛋白水平、近期CD4+细胞、近期BMI和近期WHO HIV临床分期与TB发病率独立相关。结论:抗逆转录病毒治疗诊所的卫生保健专业人员应定期评估艾滋病毒阳性个体的临床指标和生活条件等环境暴露的变化,这将有助于降低艾滋病毒阳性个体患结核病的风险。同样,到ART诊所就诊的患者也应该定期接受咨询。
本文章由计算机程序翻译,如有差异,请以英文原文为准。
求助全文
约1分钟内获得全文 求助全文
来源期刊
CiteScore
3.00
自引率
6.70%
发文量
61
审稿时长
16 weeks
期刊介绍: About Dove Medical Press Dove Medical Press Ltd is part of Taylor & Francis Group, the Academic Publishing Division of Informa PLC. We specialize in the publication of Open Access peer-reviewed journals across the broad spectrum of science, technology and especially medicine. Dove Medical Press was founded in 2003 with the objective of combining the highest editorial standards with the ''best of breed'' new publishing technologies. We have offices in Manchester and London in the United Kingdom, representatives in Princeton, New Jersey in the United States, and our editorial offices are in Auckland, New Zealand. Dr Scott Fraser is our Medical Director based in the UK. He has been in full time clinical practice for over 20 years as well as having an active research interest.
×
引用
GB/T 7714-2015
复制
MLA
复制
APA
复制
导出至
BibTeX EndNote RefMan NoteFirst NoteExpress
×
提示
您的信息不完整,为了账户安全,请先补充。
现在去补充
×
提示
您因"违规操作"
具体请查看互助需知
我知道了
×
提示
确定
请完成安全验证×
copy
已复制链接
快去分享给好友吧!
我知道了
右上角分享
点击右上角分享
0
联系我们:info@booksci.cn Book学术提供免费学术资源搜索服务,方便国内外学者检索中英文文献。致力于提供最便捷和优质的服务体验。 Copyright © 2023 布克学术 All rights reserved.
京ICP备2023020795号-1
ghs 京公网安备 11010802042870号
Book学术文献互助
Book学术文献互助群
群 号:604180095
Book学术官方微信