Estimation of the Spatial Extent of the Transient Gain Drop in a Microchannel Plate.

Q3 Physics and Astronomy
Mass spectrometry Pub Date : 2023-01-01 Epub Date: 2023-11-07 DOI:10.5702/massspectrometry.A0134
Hiroshi Kobayashi, Toshinobu Hondo, Yasuo Kanematsu, Motohiro Suyama, Michisato Toyoda
{"title":"Estimation of the Spatial Extent of the Transient Gain Drop in a Microchannel Plate.","authors":"Hiroshi Kobayashi, Toshinobu Hondo, Yasuo Kanematsu, Motohiro Suyama, Michisato Toyoda","doi":"10.5702/massspectrometry.A0134","DOIUrl":null,"url":null,"abstract":"<p><p>The gain of the microchannel plate temporally drops after an ion initiates an electron avalanche. Electron multiplication was expected to deplete the charge from the microchannel wall and produce the depleted charge (wall charge). Moreover, it was reported that the gain drop occurred not only in the activated channels, where the electrons are multiplied, but also in the surrounding channels. One mechanism of the gain-drop spatial extension has been considered as that the wall charges in the activated channels change the electric field in the surrounding channels. Anacker <i>et al</i>. assumed that the wall charge is a uniform line charge; the gain-drop spatial extent should be proportional to the amount of the wall charges. We considered that the wall charges exponentially increased in the channel toward the exit. In this study, the electric field produced by the wall charges was calculated, considering the distribution of the wall charges. The transverse electric field generated by the wall charges was expected to disturb the electron trajectory near the channel exit and decrease the number of secondary electrons emitted per collision (gain per collision), resulting in a gain drop. The gain per collision was calculated to decrease by 22% for the position where the gain decreased significantly in the presence of the transverse electric field of 3×10<sup>5</sup> V/m. In our model, the gain-drop spatial extent extended proportionally to the square root of the wall charges when the distance from the activated channel exceeded 50 μm.</p>","PeriodicalId":18243,"journal":{"name":"Mass spectrometry","volume":"12 1","pages":"A0134"},"PeriodicalIF":0.0000,"publicationDate":"2023-01-01","publicationTypes":"Journal Article","fieldsOfStudy":null,"isOpenAccess":false,"openAccessPdf":"https://www.ncbi.nlm.nih.gov/pmc/articles/PMC10632093/pdf/","citationCount":"0","resultStr":null,"platform":"Semanticscholar","paperid":null,"PeriodicalName":"Mass spectrometry","FirstCategoryId":"1085","ListUrlMain":"https://doi.org/10.5702/massspectrometry.A0134","RegionNum":0,"RegionCategory":null,"ArticlePicture":[],"TitleCN":null,"AbstractTextCN":null,"PMCID":null,"EPubDate":"2023/11/7 0:00:00","PubModel":"Epub","JCR":"Q3","JCRName":"Physics and Astronomy","Score":null,"Total":0}
引用次数: 0

Abstract

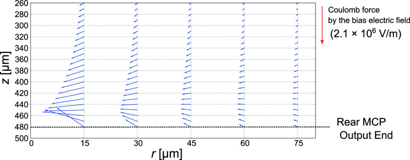
The gain of the microchannel plate temporally drops after an ion initiates an electron avalanche. Electron multiplication was expected to deplete the charge from the microchannel wall and produce the depleted charge (wall charge). Moreover, it was reported that the gain drop occurred not only in the activated channels, where the electrons are multiplied, but also in the surrounding channels. One mechanism of the gain-drop spatial extension has been considered as that the wall charges in the activated channels change the electric field in the surrounding channels. Anacker et al. assumed that the wall charge is a uniform line charge; the gain-drop spatial extent should be proportional to the amount of the wall charges. We considered that the wall charges exponentially increased in the channel toward the exit. In this study, the electric field produced by the wall charges was calculated, considering the distribution of the wall charges. The transverse electric field generated by the wall charges was expected to disturb the electron trajectory near the channel exit and decrease the number of secondary electrons emitted per collision (gain per collision), resulting in a gain drop. The gain per collision was calculated to decrease by 22% for the position where the gain decreased significantly in the presence of the transverse electric field of 3×105 V/m. In our model, the gain-drop spatial extent extended proportionally to the square root of the wall charges when the distance from the activated channel exceeded 50 μm.

Abstract Image

Abstract Image

Abstract Image

微通道板瞬态增益下降空间范围的估计。
离子引发电子雪崩后,微通道板的增益暂时下降。预计电子倍增会耗尽来自微通道壁的电荷并产生耗尽电荷(壁电荷)。此外,据报道,增益下降不仅发生在电子倍增的激活通道中,而且发生在周围的通道中。增益-下降空间扩展的一种机制被认为是激活通道中的壁电荷改变了周围通道中的电场。Anacker等人假设壁面电荷为均匀线电荷;增益-下降空间范围应与壁面电荷量成正比。我们认为壁面电荷沿通道向出口呈指数增长。在本研究中,考虑壁面电荷的分布,计算壁面电荷产生的电场。壁电荷产生的横向电场预计会干扰通道出口附近的电子轨迹,减少每次碰撞发射的二次电子数量(每次碰撞增益),导致增益下降。当横向电场强度为3×105 V/m时,每次碰撞的增益降低22%。在我们的模型中,当与激活通道的距离超过50 μm时,增益下降的空间范围与壁面电荷的平方根成正比。
本文章由计算机程序翻译,如有差异,请以英文原文为准。
求助全文
约1分钟内获得全文 求助全文
来源期刊
Mass spectrometry
Mass spectrometry Physics and Astronomy-Instrumentation
CiteScore
1.90
自引率
0.00%
发文量
3
×
引用
GB/T 7714-2015
复制
MLA
复制
APA
复制
导出至
BibTeX EndNote RefMan NoteFirst NoteExpress
×
提示
您的信息不完整,为了账户安全,请先补充。
现在去补充
×
提示
您因"违规操作"
具体请查看互助需知
我知道了
×
提示
确定
请完成安全验证×
copy
已复制链接
快去分享给好友吧!
我知道了
右上角分享
点击右上角分享
0
联系我们:info@booksci.cn Book学术提供免费学术资源搜索服务,方便国内外学者检索中英文文献。致力于提供最便捷和优质的服务体验。 Copyright © 2023 布克学术 All rights reserved.
京ICP备2023020795号-1
ghs 京公网安备 11010802042870号
Book学术文献互助
Book学术文献互助群
群 号:604180095
Book学术官方微信