Deportation Worry, Cardiovascular Disease Risk Factor Trajectories, and Incident Hypertension: A Community-Based Cohort Study.

Jacqueline M Torres, Julianna Deardorff, Nina Holland, Kim G Harley, Katherine Kogut, Kyna Long, Brenda Eskenazi
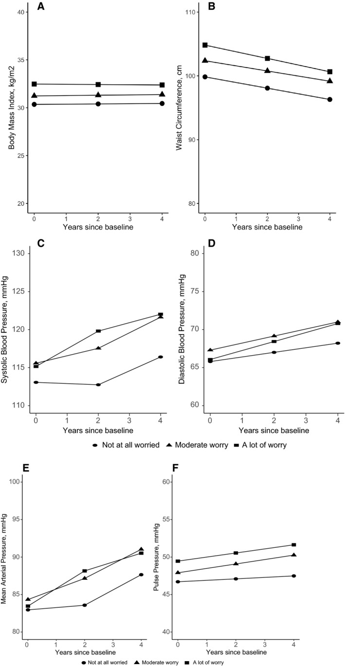
{"title":"Deportation Worry, Cardiovascular Disease Risk Factor Trajectories, and Incident Hypertension: A Community-Based Cohort Study.","authors":"Jacqueline M Torres, Julianna Deardorff, Nina Holland, Kim G Harley, Katherine Kogut, Kyna Long, Brenda Eskenazi","doi":"10.1161/JAHA.119.013086","DOIUrl":null,"url":null,"abstract":"<p><p>Background Worry about deportation has been associated with cardiovascular disease risk factors in cross-sectional research. No research has evaluated this association longitudinally or examined the association between deportation worry and incident cardiovascular disease outcomes. Methods and Results We used data from an ongoing community-based cohort of 572 women primarily of Mexican origin. We estimated associations between self-reported deportation worry and: (1) trajectories of blood pressure, body mass index, and waist circumference with linear mixed models, and (2) incident hypertension with Cox proportional hazards models. Nearly half (48%) of women reported \"a lot,\" 24% reported \"moderate,\" and 28% reported \"not too much\" deportation worry. Higher worry at baseline was associated with nonlinear systolic blood pressure and mean arterial pressure trajectories. For example, compared with not too much worry, a lot of worry was associated with a faster initial increase (β, interaction with linear year term: 4.10; 95% CI, 1.17-7.03) followed by a faster decrease in systolic blood pressure (β, interaction with quadratic year term: -0.80; 95% CI, -1.55 to -0.06). There was weak evidence of an association between deportation worry and diastolic blood pressure and no association with body mass index, waist circumference, or pulse pressure trajectories. Among 408 women without baseline hypertension, reporting a lot (hazard ratio, 2.17; 95% CI, 1.15-4.10) and moderate deportation worry (hazard ratio, 2.48; 95% CI, 1.17-4.30) were each associated with greater risk of incident hypertension compared with reporting not too much worry. Conclusions Deportation worry may contribute to widening disparities in some cardiovascular disease risk factors and outcomes over time.</p>","PeriodicalId":7136,"journal":{"name":"Acta Phytopathologica Et Entomologica Hungarica","volume":"47 1","pages":"e013086"},"PeriodicalIF":0.0000,"publicationDate":"2019-12-03","publicationTypes":"Journal Article","fieldsOfStudy":null,"isOpenAccess":false,"openAccessPdf":"https://www.ncbi.nlm.nih.gov/pmc/articles/PMC6912982/pdf/","citationCount":"0","resultStr":null,"platform":"Semanticscholar","paperid":null,"PeriodicalName":"Acta Phytopathologica Et Entomologica Hungarica","FirstCategoryId":"1085","ListUrlMain":"https://doi.org/10.1161/JAHA.119.013086","RegionNum":0,"RegionCategory":null,"ArticlePicture":[],"TitleCN":null,"AbstractTextCN":null,"PMCID":null,"EPubDate":"2019/11/27 0:00:00","PubModel":"Epub","JCR":"","JCRName":"","Score":null,"Total":0}
引用次数: 0

Abstract

Background Worry about deportation has been associated with cardiovascular disease risk factors in cross-sectional research. No research has evaluated this association longitudinally or examined the association between deportation worry and incident cardiovascular disease outcomes. Methods and Results We used data from an ongoing community-based cohort of 572 women primarily of Mexican origin. We estimated associations between self-reported deportation worry and: (1) trajectories of blood pressure, body mass index, and waist circumference with linear mixed models, and (2) incident hypertension with Cox proportional hazards models. Nearly half (48%) of women reported "a lot," 24% reported "moderate," and 28% reported "not too much" deportation worry. Higher worry at baseline was associated with nonlinear systolic blood pressure and mean arterial pressure trajectories. For example, compared with not too much worry, a lot of worry was associated with a faster initial increase (β, interaction with linear year term: 4.10; 95% CI, 1.17-7.03) followed by a faster decrease in systolic blood pressure (β, interaction with quadratic year term: -0.80; 95% CI, -1.55 to -0.06). There was weak evidence of an association between deportation worry and diastolic blood pressure and no association with body mass index, waist circumference, or pulse pressure trajectories. Among 408 women without baseline hypertension, reporting a lot (hazard ratio, 2.17; 95% CI, 1.15-4.10) and moderate deportation worry (hazard ratio, 2.48; 95% CI, 1.17-4.30) were each associated with greater risk of incident hypertension compared with reporting not too much worry. Conclusions Deportation worry may contribute to widening disparities in some cardiovascular disease risk factors and outcomes over time.

Abstract Image

递解出境的担忧、心血管疾病危险因素轨迹和高血压事件:一项基于社区的队列研究
背景 在横断面研究中,对递解出境的担忧与心血管疾病风险因素有关。目前还没有研究对这种关联进行纵向评估,也没有研究担心被驱逐出境与心血管疾病发病结果之间的关联。方法和结果 我们使用了一个正在进行的社区队列的数据,该队列包括 572 名主要来自墨西哥的女性。我们估算了自我报告的递解出境担忧与以下方面的关系(1) 使用线性混合模型估算血压、体重指数和腰围的变化轨迹;(2) 使用 Cox 比例危险模型估算高血压发病率。近一半(48%)的妇女表示 "非常担心",24%表示 "适度担心",28%表示 "不太担心"。基线时较高的担忧与收缩压和平均动脉压的非线性轨迹有关。例如,与 "不太担心 "相比,"非常担心 "与收缩压最初上升较快有关(β,与线性年份项的交互作用:4.10;95% CI,1.17-7.03),随后收缩压下降较快(β,与二次年份项的交互作用:-0.80;95% CI,-1.55--0.06)。有微弱的证据表明,被驱逐的担忧与舒张压之间存在关联,而与体重指数、腰围或脉压轨迹之间没有关联。在 408 名没有高血压基线的女性中,与报告不太担心的女性相比,报告非常担心(危险比为 2.17;95% CI,1.15-4.10)和中度担心(危险比为 2.48;95% CI,1.17-4.30)的女性患高血压的风险更大。结论 随着时间的推移,驱逐出境的担忧可能会导致某些心血管疾病风险因素和结果的差异扩大。
本文章由计算机程序翻译,如有差异,请以英文原文为准。
求助全文
约1分钟内获得全文 求助全文
来源期刊
Acta Phytopathologica Et Entomologica Hungarica
Acta Phytopathologica Et Entomologica Hungarica Agricultural and Biological Sciences-Plant Science
CiteScore
1.10
自引率
0.00%
发文量
7
期刊介绍: The journal publishes papers on the infectious diseases of plants, damages caused by insects and deals with the basic aspects of chemical and biological protection. Within its field of interest additional topics such as resistance against plant diseases, and physiological, biochemical and molecular questions of plant resistance and susceptibility are also discussed. Publishes book reviews and advertisements.
×
引用
GB/T 7714-2015
复制
MLA
复制
APA
复制
导出至
BibTeX EndNote RefMan NoteFirst NoteExpress
×
提示
您的信息不完整,为了账户安全,请先补充。
现在去补充
×
提示
您因"违规操作"
具体请查看互助需知
我知道了
×
提示
确定
请完成安全验证×
copy
已复制链接
快去分享给好友吧!
我知道了
右上角分享
点击右上角分享
0
联系我们:info@booksci.cn Book学术提供免费学术资源搜索服务,方便国内外学者检索中英文文献。致力于提供最便捷和优质的服务体验。 Copyright © 2023 布克学术 All rights reserved.
京ICP备2023020795号-1
ghs 京公网安备 11010802042870号
Book学术文献互助
Book学术文献互助群
群 号:604180095
Book学术官方微信