Discrepancy between disability and reported well-being after traumatic brain injury.

IF 0.2 4区 文学 0 LITERARY THEORY & CRITICISM
Isabel Rosalie Arianne Retel Helmrich, David van Klaveren, Nada Andelic, Hester Lingsma, Andrew Maas, David Menon, Suzanne Polinder, Cecilie Røe, Ewout W Steyerberg, Ernest Van Veen, Lindsay Wilson
{"title":"Discrepancy between disability and reported well-being after traumatic brain injury.","authors":"Isabel Rosalie Arianne Retel Helmrich, David van Klaveren, Nada Andelic, Hester Lingsma, Andrew Maas, David Menon, Suzanne Polinder, Cecilie Røe, Ewout W Steyerberg, Ernest Van Veen, Lindsay Wilson","doi":"10.1136/jnnp-2021-326615","DOIUrl":null,"url":null,"abstract":"<p><strong>Background: </strong>Following traumatic brain injury (TBI), the clinical focus is often on disability. However, patients' perceptions of well-being can be discordant with their disability level, referred to as the 'disability paradox'. We aimed to examine the relationship between disability and health-related quality of life (HRQoL) following TBI, while taking variation in personal, injury-related and environment factors into account.</p><p><strong>Methods: </strong>We used data from the Collaborative European NeuroTrauma Effectiveness Research in Traumatic Brain Injury study. Disability was assessed 6 months post-injury by the Glasgow Outcome Scale-Extended (GOSE). HRQoL was assessed by the SF-12v2 physical and mental component summary scores and the Quality of Life after Traumatic Brain Injury overall scale. We examined mean total and domain HRQoL scores by GOSE. We quantified variance in HRQoL explained by GOSE, personal, injury-related and environment factors with multivariable regression.</p><p><strong>Results: </strong>Six-month outcome assessments were completed in 2075 patients, of whom 78% had mild TBI (Glasgow Coma Scale 13-15). Patients with severe disability had higher HRQoL than expected on the basis of GOSE alone, particularly after mild TBI. Up to 50% of patients with severe disability reported HRQoL scores within the normative range. GOSE, personal, injury-related and environment factors explained a limited amount of variance in HRQoL (up to 29%).</p><p><strong>Conclusion: </strong>Contrary to the idea that discrepancies are unusual, many patients with poor functional outcomes reported well-being that was at or above the boundary considered satisfactory for the normative sample. These findings challenge the idea that satisfactory HRQoL in patients with disability should be described as 'paradoxical' and question common views of what constitutes 'unfavourable' outcome.</p>","PeriodicalId":46840,"journal":{"name":"DIACRITICS-A REVIEW OF CONTEMPORARY CRITICISM","volume":"27 1","pages":""},"PeriodicalIF":0.2000,"publicationDate":"2022-05-10","publicationTypes":"Journal Article","fieldsOfStudy":null,"isOpenAccess":false,"openAccessPdf":"https://www.ncbi.nlm.nih.gov/pmc/articles/PMC9279746/pdf/","citationCount":"0","resultStr":null,"platform":"Semanticscholar","paperid":null,"PeriodicalName":"DIACRITICS-A REVIEW OF CONTEMPORARY CRITICISM","FirstCategoryId":"3","ListUrlMain":"https://doi.org/10.1136/jnnp-2021-326615","RegionNum":4,"RegionCategory":"文学","ArticlePicture":[],"TitleCN":null,"AbstractTextCN":null,"PMCID":null,"EPubDate":"","PubModel":"","JCR":"0","JCRName":"LITERARY THEORY & CRITICISM","Score":null,"Total":0}
引用次数: 0

Abstract

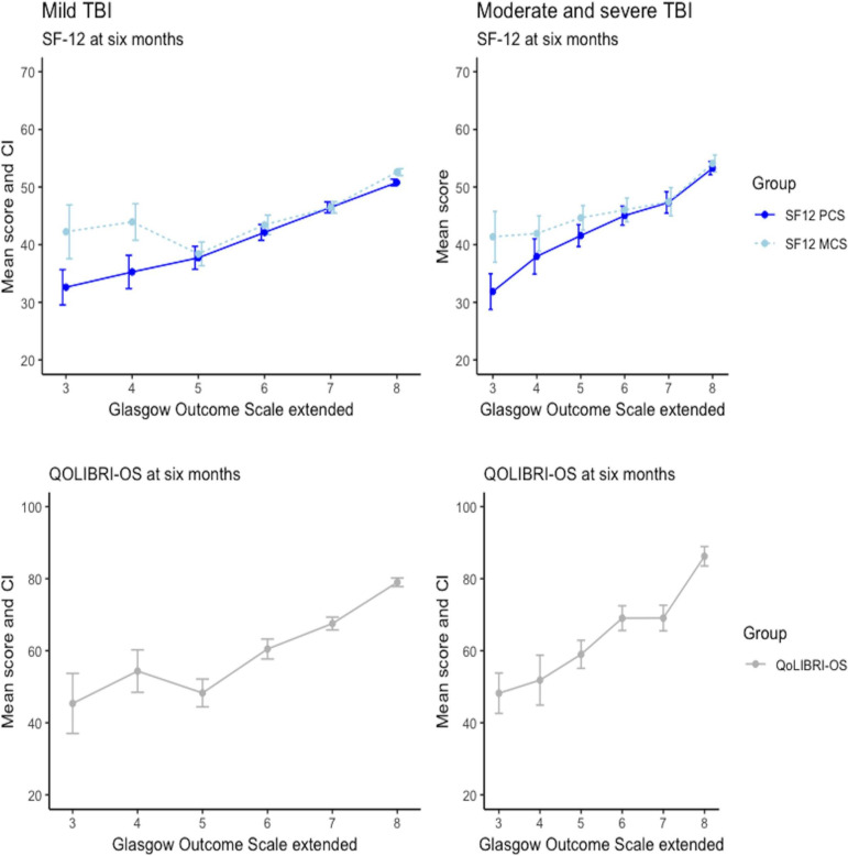
Background: Following traumatic brain injury (TBI), the clinical focus is often on disability. However, patients' perceptions of well-being can be discordant with their disability level, referred to as the 'disability paradox'. We aimed to examine the relationship between disability and health-related quality of life (HRQoL) following TBI, while taking variation in personal, injury-related and environment factors into account.

Methods: We used data from the Collaborative European NeuroTrauma Effectiveness Research in Traumatic Brain Injury study. Disability was assessed 6 months post-injury by the Glasgow Outcome Scale-Extended (GOSE). HRQoL was assessed by the SF-12v2 physical and mental component summary scores and the Quality of Life after Traumatic Brain Injury overall scale. We examined mean total and domain HRQoL scores by GOSE. We quantified variance in HRQoL explained by GOSE, personal, injury-related and environment factors with multivariable regression.

Results: Six-month outcome assessments were completed in 2075 patients, of whom 78% had mild TBI (Glasgow Coma Scale 13-15). Patients with severe disability had higher HRQoL than expected on the basis of GOSE alone, particularly after mild TBI. Up to 50% of patients with severe disability reported HRQoL scores within the normative range. GOSE, personal, injury-related and environment factors explained a limited amount of variance in HRQoL (up to 29%).

Conclusion: Contrary to the idea that discrepancies are unusual, many patients with poor functional outcomes reported well-being that was at or above the boundary considered satisfactory for the normative sample. These findings challenge the idea that satisfactory HRQoL in patients with disability should be described as 'paradoxical' and question common views of what constitutes 'unfavourable' outcome.

Abstract Image

Abstract Image

Abstract Image

脑外伤后的残疾与报告的幸福之间存在差异。
背景:创伤性脑损伤(TBI)后,临床重点通常放在残疾上。然而,患者对幸福的感知可能与其残疾程度不一致,这被称为 "残疾悖论"。我们的目的是研究创伤性脑损伤后残疾与健康相关生活质量(HRQoL)之间的关系,同时考虑到个人、受伤相关因素和环境因素的变化:我们使用了欧洲创伤性脑损伤神经创伤有效性合作研究的数据。伤后 6 个月的残疾情况由格拉斯哥结果量表扩展版(GOSE)进行评估。HRQoL通过SF-12v2身体和精神部分总分以及创伤性脑损伤后生活质量总体量表进行评估。我们通过 GOSE 检查了 HRQoL 总分和领域分的平均值。我们用多元回归法量化了由 GOSE、个人因素、受伤相关因素和环境因素解释的 HRQoL 变异:2075名患者完成了为期6个月的结果评估,其中78%为轻度创伤性脑损伤(格拉斯哥昏迷量表13-15分)。重度残疾患者的 HRQoL 高于仅根据 GOSE 的预期,尤其是轻度 TBI 患者。多达 50% 的重度残疾患者的 HRQoL 分数在常模范围内。GOSE、个人因素、受伤相关因素和环境因素只能解释有限的 HRQoL 差异(高达 29%):与 "差异是不寻常的 "这一观点相反,许多功能结果不佳的患者所报告的幸福感达到或超过了常模样本认为令人满意的界限。这些发现对残疾患者满意的 HRQoL 应被描述为 "自相矛盾 "的观点提出了质疑,并对构成 "不利 "结果的常见观点提出了质疑。
本文章由计算机程序翻译,如有差异,请以英文原文为准。
求助全文
约1分钟内获得全文 求助全文
来源期刊
DIACRITICS-A REVIEW OF CONTEMPORARY CRITICISM
DIACRITICS-A REVIEW OF CONTEMPORARY CRITICISM LITERARY THEORY & CRITICISM-
CiteScore
0.80
自引率
0.00%
发文量
0
期刊介绍: For over thirty years, diacritics has been an exceptional and influential forum for scholars writing on the problems of literary criticism. Each issue features articles in which contributors compare and analyze books on particular theoretical works and develop their own positions on the theses, methods, and theoretical implications of those works.
×
引用
GB/T 7714-2015
复制
MLA
复制
APA
复制
导出至
BibTeX EndNote RefMan NoteFirst NoteExpress
×
提示
您的信息不完整,为了账户安全,请先补充。
现在去补充
×
提示
您因"违规操作"
具体请查看互助需知
我知道了
×
提示
确定
请完成安全验证×
copy
已复制链接
快去分享给好友吧!
我知道了
右上角分享
点击右上角分享
0
联系我们:info@booksci.cn Book学术提供免费学术资源搜索服务,方便国内外学者检索中英文文献。致力于提供最便捷和优质的服务体验。 Copyright © 2023 布克学术 All rights reserved.
京ICP备2023020795号-1
ghs 京公网安备 11010802042870号
Book学术文献互助
Book学术文献互助群
群 号:604180095
Book学术官方微信