Impact of the Alberta Stroke Program CT Score subregions on long-term functional outcomes in acute ischemic stroke: Results from two multicenter studies in China.

IF 0.7 4区 数学 Q2 MATHEMATICS
Topological Methods in Nonlinear Analysis Pub Date : 2022-11-15 eCollection Date: 2024-04-01 DOI:10.2478/jtim-2022-0057
Xinrui Wang, Caohui Duan, Jinhao Lyu, Dongshan Han, Kun Cheng, Zhihua Meng, Xiaoyan Wu, Wen Chen, Guohua Wang, Qingliang Niu, Xin Li, Yitong Bian, Dan Han, Weiting Guo, Shuai Yang, Ximing Wang, Tijiang Zhang, Junying Bi, Feiyun Wu, Shuang Xia, Dan Tong, Kai Duan, Zhi Li, Rongpin Wang, Jinan Wang, Xin Lou
{"title":"Impact of the Alberta Stroke Program CT Score subregions on long-term functional outcomes in acute ischemic stroke: Results from two multicenter studies in China.","authors":"Xinrui Wang, Caohui Duan, Jinhao Lyu, Dongshan Han, Kun Cheng, Zhihua Meng, Xiaoyan Wu, Wen Chen, Guohua Wang, Qingliang Niu, Xin Li, Yitong Bian, Dan Han, Weiting Guo, Shuai Yang, Ximing Wang, Tijiang Zhang, Junying Bi, Feiyun Wu, Shuang Xia, Dan Tong, Kai Duan, Zhi Li, Rongpin Wang, Jinan Wang, Xin Lou","doi":"10.2478/jtim-2022-0057","DOIUrl":null,"url":null,"abstract":"<p><strong>Background and objectives: </strong>The Alberta Stroke Program CT Score (ASPECTS) is a widely used rating system for assessing infarct extent and location. We aimed to investigate the prognostic value of ASPECTS subregions' involvement in the long-term functional outcomes of acute ischemic stroke (AIS).</p><p><strong>Materials and methods: </strong>Consecutive patients with AIS and anterior circulation large-vessel stenosis and occlusion between January 2019 and December 2020 were included. The ASPECTS score and subregion involvement for each patient was assessed using posttreatment magnetic resonance diffusion-weighted imaging. Univariate and multivariable regression analyses were conducted to identify subregions related to 3-month poor functional outcome (modified Rankin Scale scores, 3-6) in the reperfusion and medical therapy cohorts, respectively. In addition, prognostic efficiency between the region-based ASPECTS and ASPECTS score methods were compared using receiver operating characteristic curves and DeLong's test.</p><p><strong>Results: </strong>A total of 365 patients (median age, 64 years; 70% men) were included, of whom 169 had poor outcomes. In the reperfusion therapy cohort, multivariable regression analyses revealed that the involvement of the left M4 cortical region in left-hemisphere stroke (adjusted odds ratio [aOR] 5.39, 95% confidence interval [CI] 1.53-19.02) and the involvement of the right M3 cortical region in right-hemisphere stroke (aOR 4.21, 95% CI 1.05-16.78) were independently associated with poor functional outcomes. In the medical therapy cohort, left-hemisphere stroke with left M5 cortical region (aOR 2.87, 95% CI 1.08-7.59) and caudate nucleus (aOR 3.14, 95% CI 1.00-9.85) involved and right-hemisphere stroke with right M3 cortical region (aOR 4.15, 95% CI 1.29-8.18) and internal capsule (aOR 3.94, 95% CI 1.22-12.78) affected were related to the increased risks of poststroke disability. In addition, region-based ASPECTS significantly improved the prognostic efficiency compared with the conventional ASPECTS score method.</p><p><strong>Conclusion: </strong>The involvement of specific ASPECTS subregions depending on the affected hemisphere was associated with worse functional outcomes 3 months after stroke, and the critical subregion distribution varied by clinical management. Therefore, region-based ASPECTS could provide additional value in guiding individual decision making and neurological recovery in patients with AIS.</p>","PeriodicalId":23130,"journal":{"name":"Topological Methods in Nonlinear Analysis","volume":"24 1","pages":"197-208"},"PeriodicalIF":0.7000,"publicationDate":"2022-11-15","publicationTypes":"Journal Article","fieldsOfStudy":null,"isOpenAccess":false,"openAccessPdf":"https://www.ncbi.nlm.nih.gov/pmc/articles/PMC11107184/pdf/","citationCount":"0","resultStr":null,"platform":"Semanticscholar","paperid":null,"PeriodicalName":"Topological Methods in Nonlinear Analysis","FirstCategoryId":"3","ListUrlMain":"https://doi.org/10.2478/jtim-2022-0057","RegionNum":4,"RegionCategory":"数学","ArticlePicture":[],"TitleCN":null,"AbstractTextCN":null,"PMCID":null,"EPubDate":"2024/4/1 0:00:00","PubModel":"eCollection","JCR":"Q2","JCRName":"MATHEMATICS","Score":null,"Total":0}
引用次数: 0

Abstract

Background and objectives: The Alberta Stroke Program CT Score (ASPECTS) is a widely used rating system for assessing infarct extent and location. We aimed to investigate the prognostic value of ASPECTS subregions' involvement in the long-term functional outcomes of acute ischemic stroke (AIS).

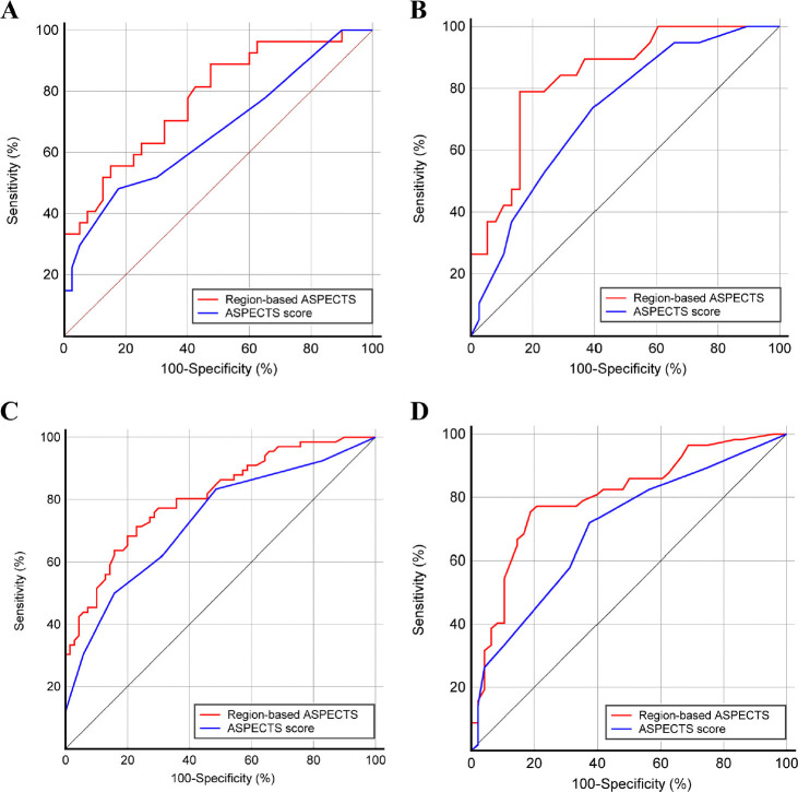
Materials and methods: Consecutive patients with AIS and anterior circulation large-vessel stenosis and occlusion between January 2019 and December 2020 were included. The ASPECTS score and subregion involvement for each patient was assessed using posttreatment magnetic resonance diffusion-weighted imaging. Univariate and multivariable regression analyses were conducted to identify subregions related to 3-month poor functional outcome (modified Rankin Scale scores, 3-6) in the reperfusion and medical therapy cohorts, respectively. In addition, prognostic efficiency between the region-based ASPECTS and ASPECTS score methods were compared using receiver operating characteristic curves and DeLong's test.

Results: A total of 365 patients (median age, 64 years; 70% men) were included, of whom 169 had poor outcomes. In the reperfusion therapy cohort, multivariable regression analyses revealed that the involvement of the left M4 cortical region in left-hemisphere stroke (adjusted odds ratio [aOR] 5.39, 95% confidence interval [CI] 1.53-19.02) and the involvement of the right M3 cortical region in right-hemisphere stroke (aOR 4.21, 95% CI 1.05-16.78) were independently associated with poor functional outcomes. In the medical therapy cohort, left-hemisphere stroke with left M5 cortical region (aOR 2.87, 95% CI 1.08-7.59) and caudate nucleus (aOR 3.14, 95% CI 1.00-9.85) involved and right-hemisphere stroke with right M3 cortical region (aOR 4.15, 95% CI 1.29-8.18) and internal capsule (aOR 3.94, 95% CI 1.22-12.78) affected were related to the increased risks of poststroke disability. In addition, region-based ASPECTS significantly improved the prognostic efficiency compared with the conventional ASPECTS score method.

Conclusion: The involvement of specific ASPECTS subregions depending on the affected hemisphere was associated with worse functional outcomes 3 months after stroke, and the critical subregion distribution varied by clinical management. Therefore, region-based ASPECTS could provide additional value in guiding individual decision making and neurological recovery in patients with AIS.

Abstract Image

Abstract Image

Abstract Image

阿尔伯塔省卒中项目 CT 评分亚区对急性缺血性卒中长期功能预后的影响:中国两项多中心研究的结果。
背景和目的:阿尔伯塔省卒中计划 CT 评分(ASPECTS)是一种广泛使用的评估梗死范围和位置的评分系统。我们旨在研究 ASPECTS 亚区域参与急性缺血性卒中(AIS)长期功能预后的预后价值:纳入2019年1月至2020年12月期间连续收治的AIS和前循环大血管狭窄和闭塞患者。使用治疗后磁共振弥散加权成像评估每位患者的 ASPECTS 评分和亚区受累情况。通过单变量和多变量回归分析,分别确定了再灌注组和药物治疗组中与3个月不良功能预后(改良Rankin量表评分,3-6分)相关的亚区。此外,还使用接收器操作特征曲线和 DeLong 检验比较了基于区域的 ASPECTS 和 ASPECTS 评分方法的预后效率:结果:共纳入了 365 名患者(中位年龄 64 岁,70% 为男性),其中 169 人预后不佳。在再灌注治疗队列中,多变量回归分析显示,左半球脑卒中患者左侧 M4 皮质区域受累(调整赔率比 [aOR] 5.39,95% 置信区间 [CI]1.53-19.02)和右半球脑卒中患者右侧 M3 皮质区域受累(aOR 4.21,95% CI 1.05-16.78)与不良功能预后独立相关。在药物治疗队列中,左半球卒中左侧 M5 皮质区(aOR 2.87,95% CI 1.08-7.59)和尾状核(aOR 3.14,95% CI 1.00-9.85)受累以及右半球卒中右侧 M3 皮质区(aOR 4.15,95% CI 1.29-8.18)和内囊(aOR 3.94,95% CI 1.22-12.78)受累与卒中后残疾风险增加有关。此外,与传统的 ASPECTS 评分方法相比,基于区域的 ASPECTS 能显著提高预后效率:结论:受累半球的特定 ASPECTS 亚区受累与卒中后 3 个月功能预后较差有关,关键亚区的分布因临床治疗而异。因此,基于区域的 ASPECTS 可为 AIS 患者的个体决策和神经功能恢复提供额外的指导价值。
本文章由计算机程序翻译,如有差异,请以英文原文为准。
求助全文
约1分钟内获得全文 求助全文
来源期刊
CiteScore
1.00
自引率
0.00%
发文量
57
审稿时长
>12 weeks
期刊介绍: Topological Methods in Nonlinear Analysis (TMNA) publishes research and survey papers on a wide range of nonlinear analysis, giving preference to those that employ topological methods. Papers in topology that are of interest in the treatment of nonlinear problems may also be included.
×
引用
GB/T 7714-2015
复制
MLA
复制
APA
复制
导出至
BibTeX EndNote RefMan NoteFirst NoteExpress
×
提示
您的信息不完整,为了账户安全,请先补充。
现在去补充
×
提示
您因"违规操作"
具体请查看互助需知
我知道了
×
提示
确定
请完成安全验证×
copy
已复制链接
快去分享给好友吧!
我知道了
右上角分享
点击右上角分享
0
联系我们:info@booksci.cn Book学术提供免费学术资源搜索服务,方便国内外学者检索中英文文献。致力于提供最便捷和优质的服务体验。 Copyright © 2023 布克学术 All rights reserved.
京ICP备2023020795号-1
ghs 京公网安备 11010802042870号
Book学术文献互助
Book学术文献互助群
群 号:604180095
Book学术官方微信