Parameter estimation and assessment of bias in genetic evaluation of carcass traits in Hanwoo cattle using real and simulated data.

IF 0.7 4区 数学 Q3 STATISTICS & PROBABILITY
Journal of Applied Probability Pub Date : 2023-11-01 Epub Date: 2023-11-30 DOI:10.5187/jast.2023.e36
Mohammed Bedhane, Julius van der Werf, Sara de Las Heras-Saldana, Leland Ackerson, Dajeong Lim, Byoungho Park, Mi Na Park, Seunghee Roh, Samuel Clark
{"title":"Parameter estimation and assessment of bias in genetic evaluation of carcass traits in Hanwoo cattle using real and simulated data.","authors":"Mohammed Bedhane, Julius van der Werf, Sara de Las Heras-Saldana, Leland Ackerson, Dajeong Lim, Byoungho Park, Mi Na Park, Seunghee Roh, Samuel Clark","doi":"10.5187/jast.2023.e36","DOIUrl":null,"url":null,"abstract":"<p><p>Most carcass and meat quality traits are moderate to highly heritable, indicating that they can be improved through selection. Genetic evaluation for these types of traits is performed using performance data obtained from commercial and progeny testing evaluation. The performance data from commercial farms are available in large volume, however, some drawbacks have been observed. The drawback of the commercial data is mainly due to sorting of animals based on live weight prior to slaughter, and this could lead to bias in the genetic evaluation of later measured traits such as carcass traits. The current study has two components to address the drawback of the commercial data. The first component of the study aimed to estimate genetic parameters for carcass and meat quality traits in Korean Hanwoo cattle using a large sample size of industry-based carcass performance records (n = 469,002). The second component of the study aimed to describe the impact of sorting animals into different contemporary groups based on an early measured trait and then examine the effect on the genetic evaluation of subsequently measured traits. To demonstrate our objectives, we used real performance data to estimate genetic parameters and simulated data was used to assess the bias in genetic evaluation. The results of our first study showed that commercial data obtained from slaughterhouses is a potential source of carcass performance data and useful for genetic evaluation of carcass traits to improve beef cattle performance. However, we observed some harvesting effect which leads to bias in genetic evaluation of carcass traits. This is mainly due to the selection of animal based on their body weight before arrival to slaughterhouse. Overall, the non-random allocation of animals into a contemporary group leads to a biased estimated breeding value in genetic evaluation, the severity of which increases when the evaluation traits are highly correlated.</p>","PeriodicalId":50256,"journal":{"name":"Journal of Applied Probability","volume":"42 1","pages":"1180-1193"},"PeriodicalIF":0.7000,"publicationDate":"2023-11-01","publicationTypes":"Journal Article","fieldsOfStudy":null,"isOpenAccess":false,"openAccessPdf":"https://www.ncbi.nlm.nih.gov/pmc/articles/PMC11007296/pdf/","citationCount":"0","resultStr":null,"platform":"Semanticscholar","paperid":null,"PeriodicalName":"Journal of Applied Probability","FirstCategoryId":"97","ListUrlMain":"https://doi.org/10.5187/jast.2023.e36","RegionNum":4,"RegionCategory":"数学","ArticlePicture":[],"TitleCN":null,"AbstractTextCN":null,"PMCID":null,"EPubDate":"2023/11/30 0:00:00","PubModel":"Epub","JCR":"Q3","JCRName":"STATISTICS & PROBABILITY","Score":null,"Total":0}
引用次数: 0

Abstract

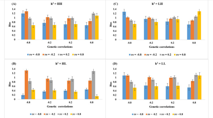
Most carcass and meat quality traits are moderate to highly heritable, indicating that they can be improved through selection. Genetic evaluation for these types of traits is performed using performance data obtained from commercial and progeny testing evaluation. The performance data from commercial farms are available in large volume, however, some drawbacks have been observed. The drawback of the commercial data is mainly due to sorting of animals based on live weight prior to slaughter, and this could lead to bias in the genetic evaluation of later measured traits such as carcass traits. The current study has two components to address the drawback of the commercial data. The first component of the study aimed to estimate genetic parameters for carcass and meat quality traits in Korean Hanwoo cattle using a large sample size of industry-based carcass performance records (n = 469,002). The second component of the study aimed to describe the impact of sorting animals into different contemporary groups based on an early measured trait and then examine the effect on the genetic evaluation of subsequently measured traits. To demonstrate our objectives, we used real performance data to estimate genetic parameters and simulated data was used to assess the bias in genetic evaluation. The results of our first study showed that commercial data obtained from slaughterhouses is a potential source of carcass performance data and useful for genetic evaluation of carcass traits to improve beef cattle performance. However, we observed some harvesting effect which leads to bias in genetic evaluation of carcass traits. This is mainly due to the selection of animal based on their body weight before arrival to slaughterhouse. Overall, the non-random allocation of animals into a contemporary group leads to a biased estimated breeding value in genetic evaluation, the severity of which increases when the evaluation traits are highly correlated.

Abstract Image

Abstract Image

使用真实和模拟数据对汉和牛胴体性状遗传评估中的参数进行估计和偏差评估。
大多数胴体和肉质性状都具有中度到高度遗传性,这表明它们可以通过选择得到改善。这些类型性状的遗传评估是利用从商业和后代测试评估中获得的性能数据进行的。来自商业养殖场的性能数据数量庞大,但也存在一些缺点。商业数据的缺点主要是在屠宰前根据活重对动物进行分类,这可能会导致后期测量性状(如胴体性状)的遗传评估出现偏差。目前的研究包括两个部分,以解决商业数据的缺点。研究的第一部分旨在利用基于行业的胴体性能记录的大样本量(n = 469 002)估算韩国韩宇牛胴体和肉质性状的遗传参数。研究的第二部分旨在描述根据早期测定的性状将动物分为不同当代组别所产生的影响,然后研究其对后续测定性状遗传评估的影响。为了证明我们的目标,我们使用真实的性能数据来估算遗传参数,并使用模拟数据来评估遗传评估的偏差。第一项研究结果表明,从屠宰场获得的商业数据是胴体性能数据的潜在来源,可用于胴体性状的遗传评估,以提高肉牛的性能。然而,我们观察到一些收获效应会导致胴体性状遗传评估出现偏差。这主要是由于在到达屠宰场之前,根据动物的体重对其进行了选择。总体而言,将动物非随机分配到当代组会导致遗传评估中的育种值估计出现偏差,当评估性状高度相关时,偏差的严重程度会增加。
本文章由计算机程序翻译,如有差异,请以英文原文为准。
求助全文
约1分钟内获得全文 求助全文
来源期刊
Journal of Applied Probability
Journal of Applied Probability 数学-统计学与概率论
CiteScore
1.50
自引率
10.00%
发文量
92
审稿时长
6-12 weeks
期刊介绍: Journal of Applied Probability is the oldest journal devoted to the publication of research in the field of applied probability. It is an international journal published by the Applied Probability Trust, and it serves as a companion publication to the Advances in Applied Probability. Its wide audience includes leading researchers across the entire spectrum of applied probability, including biosciences applications, operations research, telecommunications, computer science, engineering, epidemiology, financial mathematics, the physical and social sciences, and any field where stochastic modeling is used. A submission to Applied Probability represents a submission that may, at the Editor-in-Chief’s discretion, appear in either the Journal of Applied Probability or the Advances in Applied Probability. Typically, shorter papers appear in the Journal, with longer contributions appearing in the Advances.
×
引用
GB/T 7714-2015
复制
MLA
复制
APA
复制
导出至
BibTeX EndNote RefMan NoteFirst NoteExpress
×
提示
您的信息不完整,为了账户安全,请先补充。
现在去补充
×
提示
您因"违规操作"
具体请查看互助需知
我知道了
×
提示
确定
请完成安全验证×
copy
已复制链接
快去分享给好友吧!
我知道了
右上角分享
点击右上角分享
0
联系我们:info@booksci.cn Book学术提供免费学术资源搜索服务,方便国内外学者检索中英文文献。致力于提供最便捷和优质的服务体验。 Copyright © 2023 布克学术 All rights reserved.
京ICP备2023020795号-1
ghs 京公网安备 11010802042870号
Book学术文献互助
Book学术文献互助群
群 号:604180095
Book学术官方微信