Impact of Cardiac Autonomic Dysfunction on Cognitive Event-Related Potential in Type 2 Diabetes Mellitus Patients: A Cross-Sectional Study.

IF 1.4 Q2 EDUCATION & EDUCATIONAL RESEARCH
Policy Futures in Education Pub Date : 2023-11-01 Epub Date: 2023-06-30 DOI:10.4103/ijem.ijem_368_22
Madumathy Ramachandran, Nibedita Priyadarsini, Manisha Kar, Kishore Kumar Behera
{"title":"Impact of Cardiac Autonomic Dysfunction on Cognitive Event-Related Potential in Type 2 Diabetes Mellitus Patients: A Cross-Sectional Study.","authors":"Madumathy Ramachandran, Nibedita Priyadarsini, Manisha Kar, Kishore Kumar Behera","doi":"10.4103/ijem.ijem_368_22","DOIUrl":null,"url":null,"abstract":"<p><strong>Introduction: </strong>Type 2 diabetes mellitus (T2DM) is a chronic metabolic condition that is responsible for various long-term complications. Cognitive impairment is one of the most common complications, but the underlying mechanisms are still undetermined. The autonomic imbalance is a major cause for CVS morbidity in T2DM which could also potentially affect cognition. But there is sparse data available in the literature to prove the association between autonomic dysfunction and cognitive impairment.</p><p><strong>Methodology: </strong>We recruited 40 T2DM patients and 40 healthy controls. The assessment of cognitive functions was done by cognitive P300 event-related potential (ERP) and MoCA. Heart rate variability (HRV) was done to assess autonomic function.</p><p><strong>Results: </strong>The P300 ERP latency in Fz, Cz and Pz sites was significantly prolonged in T2DM patients (<i>P</i> < 0.001). We found moderate correlation is present between P300 latency and total power (r = -0.466, <i>P</i> < 0.01) and LFnu (r = -0.423, <i>P</i> < 0.01) in T2DM patients. The total power and HbA1C show independent association with P300 latency after adjustment for confounding factors like age and duration of diabetes (<i>P <</i> 0.05).</p><p><strong>Conclusion: </strong>As the incidence of Alzheimer's disease is rising among T2DM patients increasing their dependency, making necessary lifestyle measures at earliest to improve autonomic balance may prevent or delay the onset of cognitive decline and alleviate its consequences and improve the quality of life in T2DM patients.</p>","PeriodicalId":46984,"journal":{"name":"Policy Futures in Education","volume":"13 1","pages":"506-512"},"PeriodicalIF":1.4000,"publicationDate":"2023-11-01","publicationTypes":"Journal Article","fieldsOfStudy":null,"isOpenAccess":false,"openAccessPdf":"https://www.ncbi.nlm.nih.gov/pmc/articles/PMC10871012/pdf/","citationCount":"0","resultStr":null,"platform":"Semanticscholar","paperid":null,"PeriodicalName":"Policy Futures in Education","FirstCategoryId":"1085","ListUrlMain":"https://doi.org/10.4103/ijem.ijem_368_22","RegionNum":0,"RegionCategory":null,"ArticlePicture":[],"TitleCN":null,"AbstractTextCN":null,"PMCID":null,"EPubDate":"2023/6/30 0:00:00","PubModel":"Epub","JCR":"Q2","JCRName":"EDUCATION & EDUCATIONAL RESEARCH","Score":null,"Total":0}
引用次数: 0

Abstract

Introduction: Type 2 diabetes mellitus (T2DM) is a chronic metabolic condition that is responsible for various long-term complications. Cognitive impairment is one of the most common complications, but the underlying mechanisms are still undetermined. The autonomic imbalance is a major cause for CVS morbidity in T2DM which could also potentially affect cognition. But there is sparse data available in the literature to prove the association between autonomic dysfunction and cognitive impairment.

Methodology: We recruited 40 T2DM patients and 40 healthy controls. The assessment of cognitive functions was done by cognitive P300 event-related potential (ERP) and MoCA. Heart rate variability (HRV) was done to assess autonomic function.

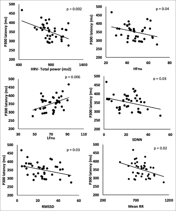
Results: The P300 ERP latency in Fz, Cz and Pz sites was significantly prolonged in T2DM patients (P < 0.001). We found moderate correlation is present between P300 latency and total power (r = -0.466, P < 0.01) and LFnu (r = -0.423, P < 0.01) in T2DM patients. The total power and HbA1C show independent association with P300 latency after adjustment for confounding factors like age and duration of diabetes (P < 0.05).

Conclusion: As the incidence of Alzheimer's disease is rising among T2DM patients increasing their dependency, making necessary lifestyle measures at earliest to improve autonomic balance may prevent or delay the onset of cognitive decline and alleviate its consequences and improve the quality of life in T2DM patients.

Abstract Image

Abstract Image

Abstract Image

心脏自主神经功能障碍对 2 型糖尿病患者认知事件相关电位的影响:一项横断面研究
导言2 型糖尿病(T2DM)是一种慢性代谢疾病,可导致各种长期并发症。认知障碍是最常见的并发症之一,但其潜在机制仍未确定。自律神经失衡是 T2DM 中心血管系统发病率的主要原因,也可能影响认知能力。但目前文献中能证明自律神经功能失调与认知障碍之间关系的数据并不多:我们招募了 40 名 T2DM 患者和 40 名健康对照者。认知功能评估通过认知 P300 事件相关电位(ERP)和 MoCA 进行。心率变异性(HRV)用于评估自律神经功能:结果:T2DM 患者在 Fz、Cz 和 Pz 位点的 P300 ERP 潜伏期明显延长(P < 0.001)。我们发现 T2DM 患者的 P300 潜伏期与总功率(r = -0.466,P <0.01)和 LFnu(r = -0.423,P <0.01)之间存在中度相关性。在对年龄和糖尿病病程等混杂因素进行调整后,总功率和 HbA1C 与 P300 潜伏期显示出独立关联(P 0.05):由于阿尔茨海默病的发病率在 T2DM 患者中呈上升趋势,增加了他们的依赖性,因此尽早采取必要的生活方式来改善自律神经平衡,可预防或延缓 T2DM 患者认知功能衰退的发生,减轻其后果并提高生活质量。
本文章由计算机程序翻译,如有差异,请以英文原文为准。
求助全文
约1分钟内获得全文 求助全文
来源期刊
Policy Futures in Education
Policy Futures in Education EDUCATION & EDUCATIONAL RESEARCH-
CiteScore
3.10
自引率
13.30%
发文量
76
×
引用
GB/T 7714-2015
复制
MLA
复制
APA
复制
导出至
BibTeX EndNote RefMan NoteFirst NoteExpress
×
提示
您的信息不完整,为了账户安全,请先补充。
现在去补充
×
提示
您因"违规操作"
具体请查看互助需知
我知道了
×
提示
确定
请完成安全验证×
copy
已复制链接
快去分享给好友吧!
我知道了
右上角分享
点击右上角分享
0
联系我们:info@booksci.cn Book学术提供免费学术资源搜索服务,方便国内外学者检索中英文文献。致力于提供最便捷和优质的服务体验。 Copyright © 2023 布克学术 All rights reserved.
京ICP备2023020795号-1
ghs 京公网安备 11010802042870号
Book学术文献互助
Book学术文献互助群
群 号:604180095
Book学术官方微信