Utility of Non-High-Density Lipoprotein Cholesterol to High-Density Lipoprotein Cholesterol Ratio in Evaluating Incident Diabetes Risk.

IF 3.4 2区 医学 Q1 Medicine
BMC Complementary and Alternative Medicine Pub Date : 2022-05-31 eCollection Date: 2022-01-01 DOI:10.2147/DMSO.S355980
Guotai Sheng, Dingyang Liu, Maobin Kuang, Yanjia Zhong, Shuhua Zhang, Yang Zou
{"title":"Utility of Non-High-Density Lipoprotein Cholesterol to High-Density Lipoprotein Cholesterol Ratio in Evaluating Incident Diabetes Risk.","authors":"Guotai Sheng, Dingyang Liu, Maobin Kuang, Yanjia Zhong, Shuhua Zhang, Yang Zou","doi":"10.2147/DMSO.S355980","DOIUrl":null,"url":null,"abstract":"<p><strong>Purpose: </strong>Diabetes is one of the most prevalent chronic diseases in the world, and its prevalence is expected to rise further. To help understand the utility of the ratio of non-high-density lipoprotein cholesterol to high-density lipoprotein cholesterol (NHHR) in diabetes prevention, this large-scale longitudinal cohort study aims to explore the association of NHHR with diabetes risk and compare it as a risk predictor with conventional lipid parameters.</p><p><strong>Patients and methods: </strong>This observational study extracted data from the NAGALA longitudinal cohort study conducted in Japan between 2004 and 2015. Multivariate Cox regression analysis was used to evaluate the association between NHHR and the risk of diabetes. The dose-response relationship was analyzed by restricted cubic spline (RCS) regression and the potential risk threshold was estimated. The receiver operator characteristic curve (ROC) was used to analyze and calculate the predictive value and optimal threshold of NHHR and other conventional lipids for new-onset diabetes.</p><p><strong>Results: </strong>Of the 15,464 people aged 18-79, 373 (2.41%) were diagnosed with new-onset diabetes during the study period, with a median age of 46 years. The sensitivity analysis based on multivariate adjustment showed that the independent positive correlation between diabetes and NHHR was stable in different populations. RCS and ROC analysis indicated that the association between NHHR and diabetes was non-linear, and the NHHR was a better marker for predicting diabetes risk than other conventional lipid parameters; Additionally, it is worth noting that an NHHR of approximately 2.74 may be the optimal threshold for intervention in diabetes risk.</p><p><strong>Conclusion: </strong>In the general population, NHHR is a better marker for predicting diabetes risk than conventional lipid parameters, and an NHHR of about 2.74 may be the optimal threshold for assessing diabetes risk.</p>","PeriodicalId":9132,"journal":{"name":"BMC Complementary and Alternative Medicine","volume":"12 1","pages":"1677-1686"},"PeriodicalIF":3.4000,"publicationDate":"2022-05-31","publicationTypes":"Journal Article","fieldsOfStudy":null,"isOpenAccess":false,"openAccessPdf":"https://www.ncbi.nlm.nih.gov/pmc/articles/PMC9166911/pdf/","citationCount":"0","resultStr":null,"platform":"Semanticscholar","paperid":null,"PeriodicalName":"BMC Complementary and Alternative Medicine","FirstCategoryId":"3","ListUrlMain":"https://doi.org/10.2147/DMSO.S355980","RegionNum":2,"RegionCategory":"医学","ArticlePicture":[],"TitleCN":null,"AbstractTextCN":null,"PMCID":null,"EPubDate":"2022/1/1 0:00:00","PubModel":"eCollection","JCR":"Q1","JCRName":"Medicine","Score":null,"Total":0}
引用次数: 0

Abstract

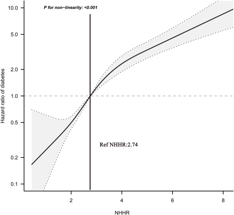
Purpose: Diabetes is one of the most prevalent chronic diseases in the world, and its prevalence is expected to rise further. To help understand the utility of the ratio of non-high-density lipoprotein cholesterol to high-density lipoprotein cholesterol (NHHR) in diabetes prevention, this large-scale longitudinal cohort study aims to explore the association of NHHR with diabetes risk and compare it as a risk predictor with conventional lipid parameters.

Patients and methods: This observational study extracted data from the NAGALA longitudinal cohort study conducted in Japan between 2004 and 2015. Multivariate Cox regression analysis was used to evaluate the association between NHHR and the risk of diabetes. The dose-response relationship was analyzed by restricted cubic spline (RCS) regression and the potential risk threshold was estimated. The receiver operator characteristic curve (ROC) was used to analyze and calculate the predictive value and optimal threshold of NHHR and other conventional lipids for new-onset diabetes.

Results: Of the 15,464 people aged 18-79, 373 (2.41%) were diagnosed with new-onset diabetes during the study period, with a median age of 46 years. The sensitivity analysis based on multivariate adjustment showed that the independent positive correlation between diabetes and NHHR was stable in different populations. RCS and ROC analysis indicated that the association between NHHR and diabetes was non-linear, and the NHHR was a better marker for predicting diabetes risk than other conventional lipid parameters; Additionally, it is worth noting that an NHHR of approximately 2.74 may be the optimal threshold for intervention in diabetes risk.

Conclusion: In the general population, NHHR is a better marker for predicting diabetes risk than conventional lipid parameters, and an NHHR of about 2.74 may be the optimal threshold for assessing diabetes risk.

Abstract Image

Abstract Image

非高密度脂蛋白胆固醇与高密度脂蛋白胆固醇比值在评估糖尿病发病风险中的实用性。
目的:糖尿病是世界上发病率最高的慢性疾病之一,预计其发病率还将进一步上升。为了帮助了解非高密度脂蛋白胆固醇与高密度脂蛋白胆固醇之比(NHHR)在糖尿病预防中的作用,这项大规模纵向队列研究旨在探讨NHHR与糖尿病风险的关系,并将其作为一种风险预测指标与传统的血脂参数进行比较:这项观察性研究从 2004 年至 2015 年期间在日本进行的 NAGALA 纵向队列研究中提取数据。采用多变量 Cox 回归分析评估 NHHR 与糖尿病风险之间的关系。通过受限立方样条线(RCS)回归分析了剂量-反应关系,并估算了潜在风险阈值。采用接收者运算特征曲线(ROC)分析并计算了NHHR和其他常规血脂对新发糖尿病的预测价值和最佳阈值:在 15,464 名 18-79 岁的人群中,有 373 人(2.41%)在研究期间被诊断为新发糖尿病,中位年龄为 46 岁。基于多变量调整的敏感性分析表明,在不同人群中,糖尿病与 NHHR 之间的独立正相关性是稳定的。RCS和ROC分析表明,NHHR与糖尿病之间的关系是非线性的,与其他常规血脂参数相比,NHHR是预测糖尿病风险的更好指标;此外,值得注意的是,NHHR约为2.74可能是干预糖尿病风险的最佳阈值:结论:在普通人群中,NHHR是比传统血脂参数更好的预测糖尿病风险的指标,约2.74的NHHR可能是评估糖尿病风险的最佳阈值。
本文章由计算机程序翻译,如有差异,请以英文原文为准。
求助全文
约1分钟内获得全文 求助全文
来源期刊
BMC Complementary and Alternative Medicine
BMC Complementary and Alternative Medicine INTEGRATIVE & COMPLEMENTARY MEDICINE-
CiteScore
7.00
自引率
0.00%
发文量
0
审稿时长
3 months
期刊介绍: BMC Complementary Medicine and Therapies is an open access journal publishing original peer-reviewed research articles on interventions and resources that complement or replace conventional therapies, with a specific emphasis on research that explores the biological mechanisms of action, as well as their efficacy, safety, costs, patterns of use and/or implementation.
×
引用
GB/T 7714-2015
复制
MLA
复制
APA
复制
导出至
BibTeX EndNote RefMan NoteFirst NoteExpress
×
提示
您的信息不完整,为了账户安全,请先补充。
现在去补充
×
提示
您因"违规操作"
具体请查看互助需知
我知道了
×
提示
确定
请完成安全验证×
copy
已复制链接
快去分享给好友吧!
我知道了
右上角分享
点击右上角分享
0
联系我们:info@booksci.cn Book学术提供免费学术资源搜索服务,方便国内外学者检索中英文文献。致力于提供最便捷和优质的服务体验。 Copyright © 2023 布克学术 All rights reserved.
京ICP备2023020795号-1
ghs 京公网安备 11010802042870号
Book学术文献互助
Book学术文献互助群
群 号:604180095
Book学术官方微信