Complete Blood Count-Derived Inflammatory Markers Changes in Dogs with Chronic Inflammatory Enteropathy Treated with Adipose-Derived Mesenchymal Stem Cells.

IF 1.3 4区 医学 Q2 REHABILITATION
José Ignacio Cristóbal, Francisco Javier Duque, Jesús Usón-Casaús, Rafael Barrera, Esther López, Eva María Pérez-Merino
{"title":"Complete Blood Count-Derived Inflammatory Markers Changes in Dogs with Chronic Inflammatory Enteropathy Treated with Adipose-Derived Mesenchymal Stem Cells.","authors":"José Ignacio Cristóbal, Francisco Javier Duque, Jesús Usón-Casaús, Rafael Barrera, Esther López, Eva María Pérez-Merino","doi":"10.3390/ani12202798","DOIUrl":null,"url":null,"abstract":"<p><p>Adipose-derived mesenchymal stem cells (Ad-MSCs) exhibit anti-inflammatory and immunomodulatory activities. The neutrophil-to-lymphocyte ratio (NLR), platelet-to-lymphocyte ratio (PLR), and systemic immune-inflammation index (SII) have been reported as novel biomarkers of the inflammatory state; however, they have never been examined in dogs with chronic inflammatory enteropathy (CIE) treated with Ad-MSCs. This study aimed to compare the clinical evolution and the changes in the NLR, PLR, and SII in dogs with CIE before and after cell therapy. Sixteen dogs with CIE were administered a single intravenous dose of Ad-MSCs. The canine chronic enteropathy clinical activity index (CCECAI), NLR, PLR, and SII were assessed before treatment (T0) and at 2 (T2) and 9 (T9) months post-treatment and compared over time and with the reference values obtained from a group of healthy dogs. NLR, PLR, and SII were significantly increased at T0 compared to the reference values, decreasing significantly over time. At T9, the NLR and SII did not differ from the reference values, but PLR remained above the reference values. A correlation was observed between CCECAI and the three markers. These findings show that the clinical improvement of dogs with CIE treated with Ad-MSCs is accompanied by a normalization of the inflammatory status.</p>","PeriodicalId":47012,"journal":{"name":"Rehabilitation Counseling Bulletin","volume":"44 1","pages":""},"PeriodicalIF":1.3000,"publicationDate":"2022-10-17","publicationTypes":"Journal Article","fieldsOfStudy":null,"isOpenAccess":false,"openAccessPdf":"https://www.ncbi.nlm.nih.gov/pmc/articles/PMC9597794/pdf/","citationCount":"0","resultStr":null,"platform":"Semanticscholar","paperid":null,"PeriodicalName":"Rehabilitation Counseling Bulletin","FirstCategoryId":"97","ListUrlMain":"https://doi.org/10.3390/ani12202798","RegionNum":4,"RegionCategory":"医学","ArticlePicture":[],"TitleCN":null,"AbstractTextCN":null,"PMCID":null,"EPubDate":"","PubModel":"","JCR":"Q2","JCRName":"REHABILITATION","Score":null,"Total":0}
引用次数: 0

Abstract

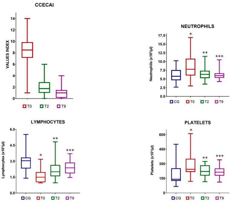
Adipose-derived mesenchymal stem cells (Ad-MSCs) exhibit anti-inflammatory and immunomodulatory activities. The neutrophil-to-lymphocyte ratio (NLR), platelet-to-lymphocyte ratio (PLR), and systemic immune-inflammation index (SII) have been reported as novel biomarkers of the inflammatory state; however, they have never been examined in dogs with chronic inflammatory enteropathy (CIE) treated with Ad-MSCs. This study aimed to compare the clinical evolution and the changes in the NLR, PLR, and SII in dogs with CIE before and after cell therapy. Sixteen dogs with CIE were administered a single intravenous dose of Ad-MSCs. The canine chronic enteropathy clinical activity index (CCECAI), NLR, PLR, and SII were assessed before treatment (T0) and at 2 (T2) and 9 (T9) months post-treatment and compared over time and with the reference values obtained from a group of healthy dogs. NLR, PLR, and SII were significantly increased at T0 compared to the reference values, decreasing significantly over time. At T9, the NLR and SII did not differ from the reference values, but PLR remained above the reference values. A correlation was observed between CCECAI and the three markers. These findings show that the clinical improvement of dogs with CIE treated with Ad-MSCs is accompanied by a normalization of the inflammatory status.

Abstract Image

Abstract Image

Abstract Image

用脂肪间充质干细胞治疗慢性炎症性肠病犬的全血细胞计数衍生炎症标志物变化
脂肪间充质干细胞(Ad-MSCs)具有抗炎和免疫调节活性。据报道,中性粒细胞与淋巴细胞比率(NLR)、血小板与淋巴细胞比率(PLR)和全身免疫炎症指数(SII)是炎症状态的新型生物标志物;然而,在使用Ad-间充质干细胞治疗慢性炎症性肠病(CIE)的犬中,这些指标从未被检测过。本研究旨在比较细胞疗法前后 CIE 患犬的临床演变以及 NLR、PLR 和 SII 的变化。16只CIE犬接受了单剂量Ad-MSCs静脉注射。在治疗前(T0)、治疗后 2 个月(T2)和 9 个月(T9)对犬慢性肠病临床活动指数(CCECAI)、NLR、PLR 和 SII 进行了评估,并将不同时期的评估结果与一组健康犬的参考值进行了比较。与参考值相比,NLR、PLR 和 SII 在治疗前(T0)显著升高,并随着时间的推移显著降低。在 T9 时,NLR 和 SII 与参考值没有差异,但 PLR 仍高于参考值。CCECAI与这三种指标之间存在相关性。这些研究结果表明,使用Ad-间充质干细胞治疗CIE犬的临床症状得到改善的同时,炎症状态也趋于正常。
本文章由计算机程序翻译,如有差异,请以英文原文为准。
求助全文
约1分钟内获得全文 求助全文
来源期刊
CiteScore
2.90
自引率
15.40%
发文量
28
期刊介绍: Rehabilitation Counseling Bulletin (RCB) publishes articles on rehabilitation counseling with a major emphasis on data-based research reports, although other types of contributions to professional knowledge in rehabilitation counseling will be considered. Examples include articles that explain an innovative technique or application, point/ counterpoint debates on a current controversy challenging the profession, or insightful essays on an important issue. Contributions of these kinds may be considered for a special section of RCB. Article topics cover a wide range—from ethical dilemmas related to counseling clients with HIV/AIDS to clinical problem solving in micro–case management.
×
引用
GB/T 7714-2015
复制
MLA
复制
APA
复制
导出至
BibTeX EndNote RefMan NoteFirst NoteExpress
×
提示
您的信息不完整,为了账户安全,请先补充。
现在去补充
×
提示
您因"违规操作"
具体请查看互助需知
我知道了
×
提示
确定
请完成安全验证×
copy
已复制链接
快去分享给好友吧!
我知道了
右上角分享
点击右上角分享
0
联系我们:info@booksci.cn Book学术提供免费学术资源搜索服务,方便国内外学者检索中英文文献。致力于提供最便捷和优质的服务体验。 Copyright © 2023 布克学术 All rights reserved.
京ICP备2023020795号-1
ghs 京公网安备 11010802042870号
Book学术文献互助
Book学术文献互助群
群 号:604180095
Book学术官方微信