The gut microbiome of healthy Japanese and its microbial and functional uniqueness.

American Journal of Physiology Pub Date : 2016-04-01 Epub Date: 2016-03-06 DOI:10.1093/dnares/dsw002
Suguru Nishijima, Wataru Suda, Kenshiro Oshima, Seok-Won Kim, Yuu Hirose, Hidetoshi Morita, Masahira Hattori
{"title":"The gut microbiome of healthy Japanese and its microbial and functional uniqueness.","authors":"Suguru Nishijima, Wataru Suda, Kenshiro Oshima, Seok-Won Kim, Yuu Hirose, Hidetoshi Morita, Masahira Hattori","doi":"10.1093/dnares/dsw002","DOIUrl":null,"url":null,"abstract":"<p><p>The human gut microbiome has profound influences on the host's health largely through its interference with various intestinal functions. As recent studies have suggested diversity in the human gut microbiome among human populations, it will be interesting to analyse how gut microbiome is correlated with geographical, cultural, and traditional differences. The Japanese people are known to have several characteristic features such as eating a variety of traditional foods and exhibiting a low BMI and long life span. In this study, we analysed gut microbiomes of the Japanese by comparing the metagenomic data obtained from 106 Japanese individuals with those from 11 other nations. We found that the composition of the Japanese gut microbiome showed more abundant in the phylum Actinobacteria, in particular in the genus Bifidobacterium, than other nations. Regarding the microbial functions, those of carbohydrate metabolism were overrepresented with a concurrent decrease in those for replication and repair, and cell motility. The remarkable low prevalence of genes for methanogenesis with a significant depletion of the archaeon Methanobrevibacter smithii and enrichment of acetogenesis genes in the Japanese gut microbiome compared with others suggested a difference in the hydrogen metabolism pathway in the gut between them. It thus seems that the gut microbiome of the Japanese is considerably different from those of other populations, which cannot be simply explained by diet alone. We postulate possible existence of hitherto unknown factors contributing to the population-level diversity in human gut microbiomes.</p>","PeriodicalId":7590,"journal":{"name":"American Journal of Physiology","volume":"88 1","pages":"125-33"},"PeriodicalIF":0.0000,"publicationDate":"2016-04-01","publicationTypes":"Journal Article","fieldsOfStudy":null,"isOpenAccess":false,"openAccessPdf":"https://www.ncbi.nlm.nih.gov/pmc/articles/PMC4833420/pdf/","citationCount":"0","resultStr":null,"platform":"Semanticscholar","paperid":null,"PeriodicalName":"American Journal of Physiology","FirstCategoryId":"1085","ListUrlMain":"https://doi.org/10.1093/dnares/dsw002","RegionNum":0,"RegionCategory":null,"ArticlePicture":[],"TitleCN":null,"AbstractTextCN":null,"PMCID":null,"EPubDate":"2016/3/6 0:00:00","PubModel":"Epub","JCR":"","JCRName":"","Score":null,"Total":0}
引用次数: 0

Abstract

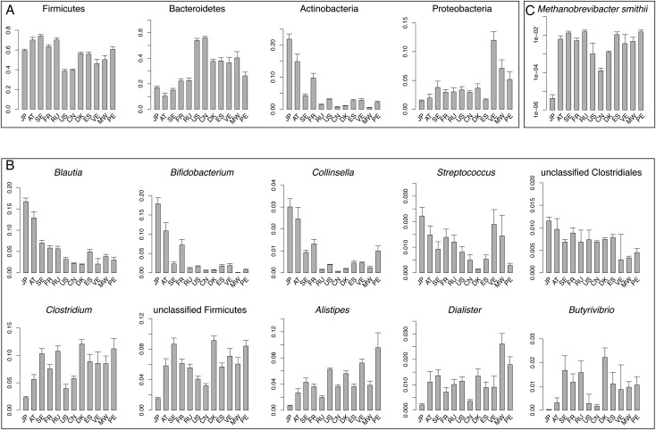
The human gut microbiome has profound influences on the host's health largely through its interference with various intestinal functions. As recent studies have suggested diversity in the human gut microbiome among human populations, it will be interesting to analyse how gut microbiome is correlated with geographical, cultural, and traditional differences. The Japanese people are known to have several characteristic features such as eating a variety of traditional foods and exhibiting a low BMI and long life span. In this study, we analysed gut microbiomes of the Japanese by comparing the metagenomic data obtained from 106 Japanese individuals with those from 11 other nations. We found that the composition of the Japanese gut microbiome showed more abundant in the phylum Actinobacteria, in particular in the genus Bifidobacterium, than other nations. Regarding the microbial functions, those of carbohydrate metabolism were overrepresented with a concurrent decrease in those for replication and repair, and cell motility. The remarkable low prevalence of genes for methanogenesis with a significant depletion of the archaeon Methanobrevibacter smithii and enrichment of acetogenesis genes in the Japanese gut microbiome compared with others suggested a difference in the hydrogen metabolism pathway in the gut between them. It thus seems that the gut microbiome of the Japanese is considerably different from those of other populations, which cannot be simply explained by diet alone. We postulate possible existence of hitherto unknown factors contributing to the population-level diversity in human gut microbiomes.

Abstract Image

Abstract Image

Abstract Image

健康日本人的肠道微生物群及其微生物和功能的独特性。
人类肠道微生物组主要通过干扰各种肠道功能对宿主的健康产生深远影响。最近的研究表明,人类肠道微生物组在不同人群中存在多样性,因此,分析肠道微生物组与地理、文化和传统差异之间的相关性将很有意义。众所周知,日本人有几个特点,如食用各种传统食物、体重指数低和寿命长。在这项研究中,我们通过比较从 106 个日本人和来自其他 11 个国家的人身上获得的元基因组数据,分析了日本人的肠道微生物组。我们发现,与其他国家相比,日本人肠道微生物组的组成显示出更丰富的放线菌门,尤其是双歧杆菌属。在微生物功能方面,碳水化合物代谢功能的基因比例较高,而复制和修复功能以及细胞运动功能的基因比例则同时下降。与其他国家相比,日本肠道微生物群中甲烷生成基因的比例明显偏低,古细菌 Methanobrevibacter smithii 的比例明显偏低,而乙酰生成基因的比例则较高,这表明日本与其他国家的肠道氢代谢途径存在差异。由此看来,日本人的肠道微生物组与其他人群有很大不同,这不能简单地用饮食来解释。我们推测,人类肠道微生物群的多样性可能存在迄今未知的因素。
本文章由计算机程序翻译,如有差异,请以英文原文为准。
求助全文
约1分钟内获得全文 求助全文
来源期刊
自引率
0.00%
发文量
1
×
引用
GB/T 7714-2015
复制
MLA
复制
APA
复制
导出至
BibTeX EndNote RefMan NoteFirst NoteExpress
×
提示
您的信息不完整,为了账户安全,请先补充。
现在去补充
×
提示
您因"违规操作"
具体请查看互助需知
我知道了
×
提示
确定
请完成安全验证×
copy
已复制链接
快去分享给好友吧!
我知道了
右上角分享
点击右上角分享
0
联系我们:info@booksci.cn Book学术提供免费学术资源搜索服务,方便国内外学者检索中英文文献。致力于提供最便捷和优质的服务体验。 Copyright © 2023 布克学术 All rights reserved.
京ICP备2023020795号-1
ghs 京公网安备 11010802042870号
Book学术文献互助
Book学术文献互助群
群 号:604180095
Book学术官方微信