Age and sex-specific stroke epidemiology in COVID-19.

Frontiers in stroke Pub Date : 2023-01-01 Epub Date: 2023-06-07 DOI:10.3389/fstro.2023.1172854
Youngran Kim, Maria A Parekh, Xiaojin Li, Yan Huang, Guo-Qiang Zhang, Bharti Manwani
{"title":"Age and sex-specific stroke epidemiology in COVID-19.","authors":"Youngran Kim, Maria A Parekh, Xiaojin Li, Yan Huang, Guo-Qiang Zhang, Bharti Manwani","doi":"10.3389/fstro.2023.1172854","DOIUrl":null,"url":null,"abstract":"<p><strong>Background: </strong>COVID-19 has emerged as an independent risk factor for stroke. We aimed to determine age and sex-specific stroke incidence and risk factors with COVID-19 in the US using a large electronic health record (EHR) that included both inpatients and outpatients.</p><p><strong>Methods: </strong>A retrospective cohort study was conducted using individual-level data from Optum<sup>®</sup> de-identified COVID-19 EHR. A total of 387,330 individuals aged ≥18 with laboratory-confirmed COVID-19 between March 1, 2020 and December 31, 2020 were included. The primary outcome was cumulative incidence of stroke after COVID-19 confirmation within 180 days of follow-up or until death. Kaplan-Meier cumulative incidence curves for acute ischemic stroke (AIS), intracerebral hemorrhage (ICH), and a composite outcome of all strokes were stratified by sex and age, and the differences in curves were assessed using a log-rank test. The relative risk of stroke by demographics and risk factors was estimated using multivariable Cox-proportional hazards regressions and adjusted hazard ratios (aHRs).</p><p><strong>Results: </strong>Of 387,330 COVID-19 patients, 2,752 patients (0.71%, 95% CI 0.68-0.74) developed stroke during the 180-day follow-up, AIS in 0.65% (95% CI 0.62-0.67), and ICH in 0.11% (95% CI 0.10-0.12). Of strokes among COVID-19 patients, 57% occurred within 3 days. Advanced age was associated with a substantially higher stroke risk, with aHR 6.92 (5.72-8.38) for ages 65-74, 9.42 (7.74-11.47) for ages 75-84, and 11.35 (9.20-14.00) for ages 85 and older compared to ages 18-44 years. Men had a 32% higher risk of stroke compared to women. African-American [aHR 1.78 (1.61-1.97)] and Hispanic patients [aHR 1.48 (1.30-1.69)] with COVID-19 had an increased risk of stroke compared to white patients.</p><p><strong>Conclusion: </strong>This study has several important findings. AIS and ICH risk in patients with COVID-19 is highest in the first 3 days of COVID-19 positivity; this risk decreases with time. The incidence of stroke in patients with COVID-19 (both inpatient and outpatient) is 0.65% for AIS and 0.11% for ICH during the 180-day follow-up. Traditional stroke risk factors increase the risk of stroke in patients with COVID-19. Male sex is an independent risk factor for stroke in COVID-19 patients across all age groups. African-American and Hispanic patients have a higher risk of stroke from COVID-19.</p>","PeriodicalId":73108,"journal":{"name":"Frontiers in stroke","volume":"163 1","pages":""},"PeriodicalIF":0.0000,"publicationDate":"2023-01-01","publicationTypes":"Journal Article","fieldsOfStudy":null,"isOpenAccess":false,"openAccessPdf":"https://www.ncbi.nlm.nih.gov/pmc/articles/PMC11600532/pdf/","citationCount":"0","resultStr":null,"platform":"Semanticscholar","paperid":null,"PeriodicalName":"Frontiers in stroke","FirstCategoryId":"1085","ListUrlMain":"https://doi.org/10.3389/fstro.2023.1172854","RegionNum":0,"RegionCategory":null,"ArticlePicture":[],"TitleCN":null,"AbstractTextCN":null,"PMCID":null,"EPubDate":"2023/6/7 0:00:00","PubModel":"Epub","JCR":"","JCRName":"","Score":null,"Total":0}
引用次数: 0

Abstract

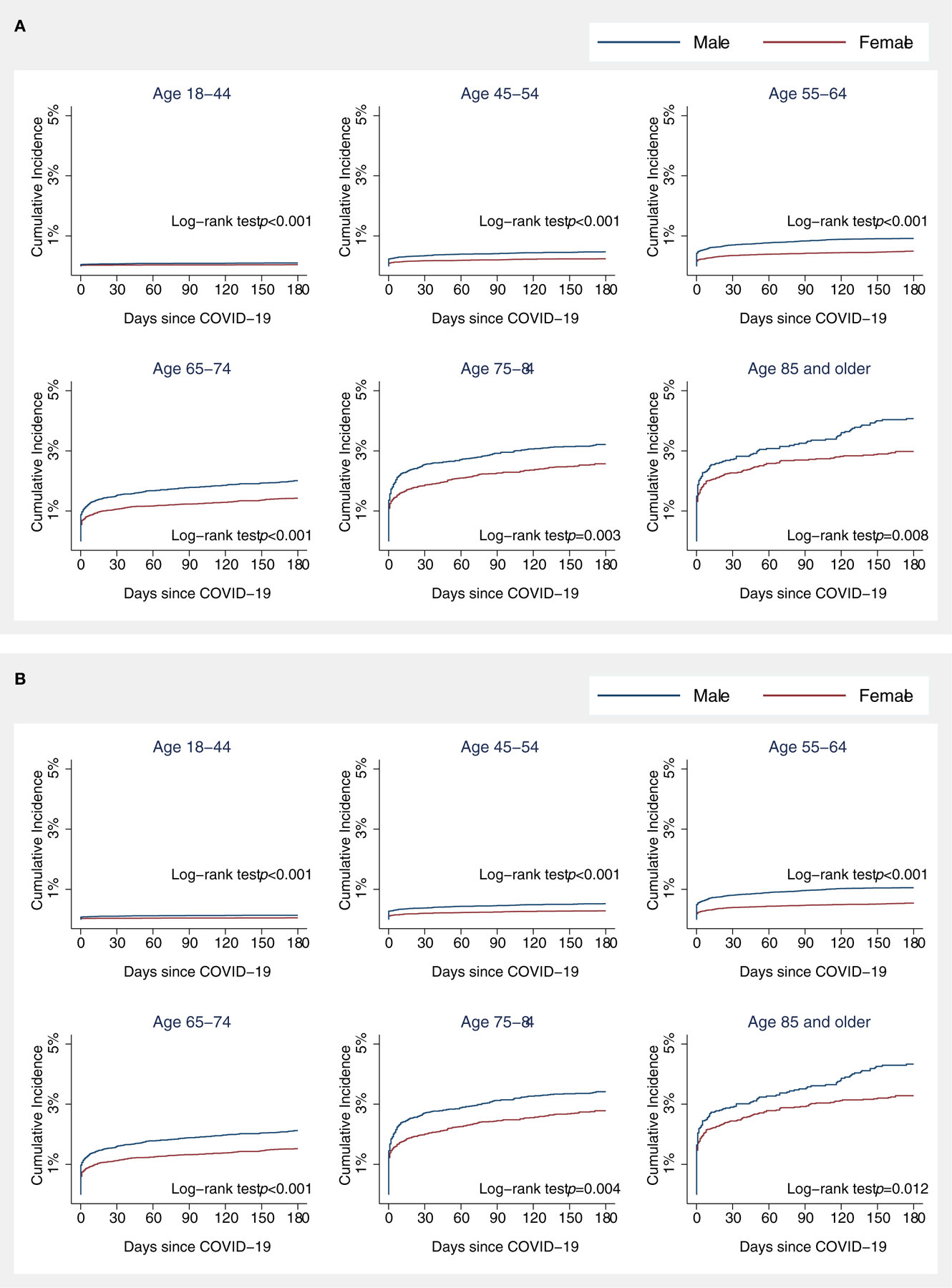
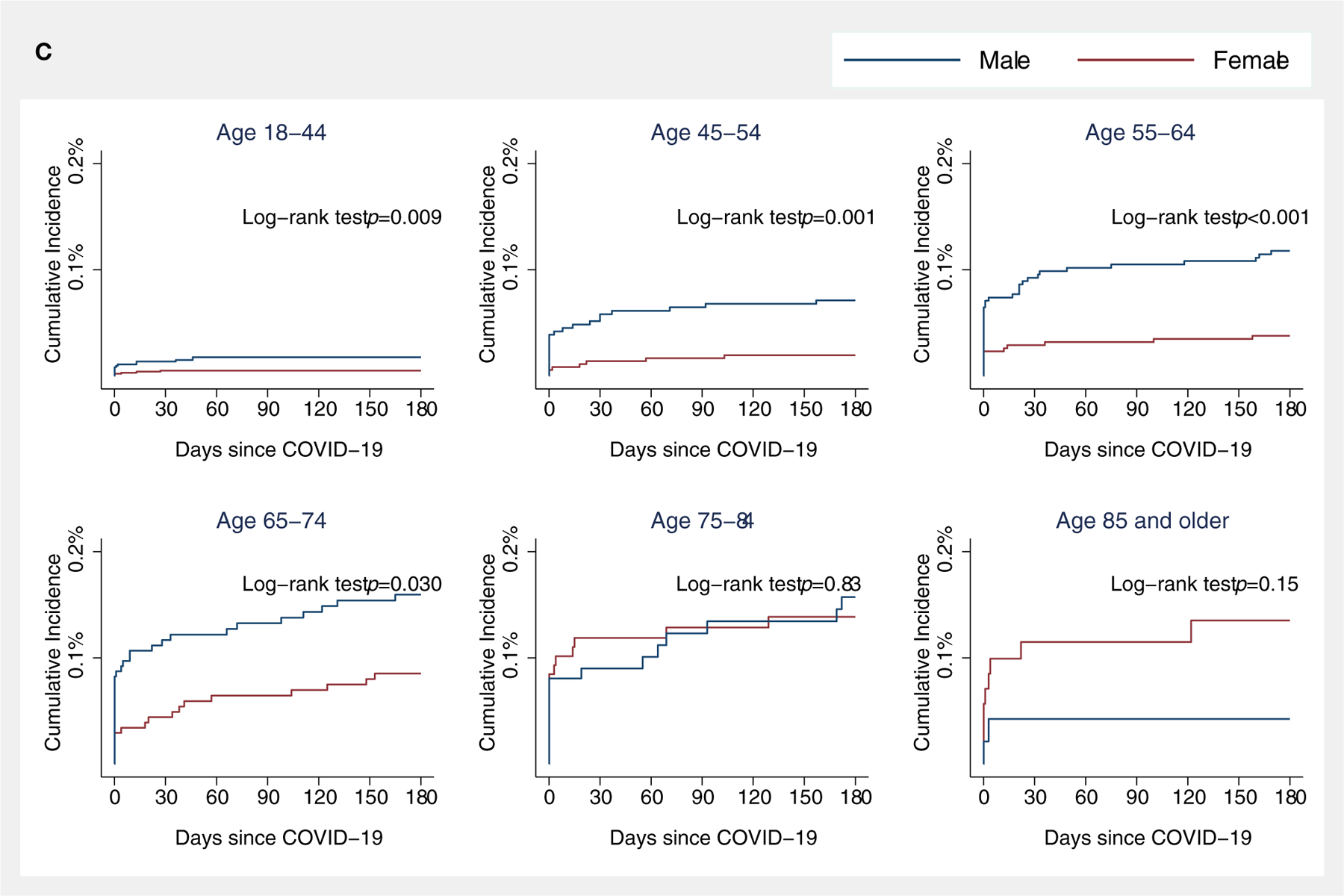
Background: COVID-19 has emerged as an independent risk factor for stroke. We aimed to determine age and sex-specific stroke incidence and risk factors with COVID-19 in the US using a large electronic health record (EHR) that included both inpatients and outpatients.

Methods: A retrospective cohort study was conducted using individual-level data from Optum® de-identified COVID-19 EHR. A total of 387,330 individuals aged ≥18 with laboratory-confirmed COVID-19 between March 1, 2020 and December 31, 2020 were included. The primary outcome was cumulative incidence of stroke after COVID-19 confirmation within 180 days of follow-up or until death. Kaplan-Meier cumulative incidence curves for acute ischemic stroke (AIS), intracerebral hemorrhage (ICH), and a composite outcome of all strokes were stratified by sex and age, and the differences in curves were assessed using a log-rank test. The relative risk of stroke by demographics and risk factors was estimated using multivariable Cox-proportional hazards regressions and adjusted hazard ratios (aHRs).

Results: Of 387,330 COVID-19 patients, 2,752 patients (0.71%, 95% CI 0.68-0.74) developed stroke during the 180-day follow-up, AIS in 0.65% (95% CI 0.62-0.67), and ICH in 0.11% (95% CI 0.10-0.12). Of strokes among COVID-19 patients, 57% occurred within 3 days. Advanced age was associated with a substantially higher stroke risk, with aHR 6.92 (5.72-8.38) for ages 65-74, 9.42 (7.74-11.47) for ages 75-84, and 11.35 (9.20-14.00) for ages 85 and older compared to ages 18-44 years. Men had a 32% higher risk of stroke compared to women. African-American [aHR 1.78 (1.61-1.97)] and Hispanic patients [aHR 1.48 (1.30-1.69)] with COVID-19 had an increased risk of stroke compared to white patients.

Conclusion: This study has several important findings. AIS and ICH risk in patients with COVID-19 is highest in the first 3 days of COVID-19 positivity; this risk decreases with time. The incidence of stroke in patients with COVID-19 (both inpatient and outpatient) is 0.65% for AIS and 0.11% for ICH during the 180-day follow-up. Traditional stroke risk factors increase the risk of stroke in patients with COVID-19. Male sex is an independent risk factor for stroke in COVID-19 patients across all age groups. African-American and Hispanic patients have a higher risk of stroke from COVID-19.

Abstract Image

Abstract Image

Abstract Image

COVID-19 中年龄和性别特异性中风流行病学。
背景:COVID-19 已成为中风的独立风险因素。我们的目的是利用包括住院病人和门诊病人在内的大型电子健康记录(EHR),确定美国特定年龄和性别的中风发病率以及 COVID-19 的风险因素:使用 Optum® 去标识化 COVID-19 电子病历中的个人级别数据进行了一项回顾性队列研究。共纳入了 387,330 名 2020 年 3 月 1 日至 2020 年 12 月 31 日期间年龄≥18 岁且实验室确诊 COVID-19 的患者。主要结局是随访 180 天内或死亡前 COVID-19 证实后的累积中风发病率。急性缺血性卒中(AIS)、脑内出血(ICH)和所有卒中的复合结局的 Kaplan-Meier 累计发病率曲线按性别和年龄进行分层,并使用对数秩检验评估曲线的差异。使用多变量 Cox 比例危险回归和调整后危险比(aHRs)估算了人口统计学和危险因素导致中风的相对风险:在387,330名COVID-19患者中,有2,752名患者(0.71%,95% CI 0.68-0.74)在180天的随访期间发生了中风,0.65%的患者发生了AIS(95% CI 0.62-0.67),0.11%的患者发生了ICH(95% CI 0.10-0.12)。在 COVID-19 患者中,57%的中风发生在 3 天内。与 18-44 岁的患者相比,65-74 岁的患者发生脑卒中的风险为 6.92(5.72-8.38),75-84 岁的患者为 9.42(7.74-11.47),85 岁及以上的患者为 11.35(9.20-14.00)。男性中风风险比女性高 32%。与白人患者相比,患有 COVID-19 的非裔美国人[aHR 1.78 (1.61-1.97)]和西班牙裔患者[aHR 1.48 (1.30-1.69)]的中风风险更高:本研究有几项重要发现。COVID-19患者的AIS和ICH风险在COVID-19阳性的头3天内最高;随着时间的推移,风险会降低。在 180 天的随访中,COVID-19 患者(包括住院患者和门诊患者)的中风发生率为:AIS 0.65%,ICH 0.11%。传统的中风风险因素会增加 COVID-19 患者的中风风险。男性是所有年龄组 COVID-19 患者中风的独立危险因素。非裔美国人和西班牙裔患者因 COVID-19 中风的风险更高。
本文章由计算机程序翻译,如有差异,请以英文原文为准。
求助全文
约1分钟内获得全文 求助全文
来源期刊
自引率
0.00%
发文量
0
×
引用
GB/T 7714-2015
复制
MLA
复制
APA
复制
导出至
BibTeX EndNote RefMan NoteFirst NoteExpress
×
提示
您的信息不完整,为了账户安全,请先补充。
现在去补充
×
提示
您因"违规操作"
具体请查看互助需知
我知道了
×
提示
确定
请完成安全验证×
copy
已复制链接
快去分享给好友吧!
我知道了
右上角分享
点击右上角分享
0
联系我们:info@booksci.cn Book学术提供免费学术资源搜索服务,方便国内外学者检索中英文文献。致力于提供最便捷和优质的服务体验。 Copyright © 2023 布克学术 All rights reserved.
京ICP备2023020795号-1
ghs 京公网安备 11010802042870号
Book学术文献互助
Book学术文献互助群
群 号:604180095
Book学术官方微信