A genome-wide association study for the fatty acid composition of breast meat in an F2 crossbred chicken population.

IF 0.5 4区 数学 Q3 MATHEMATICS
Quarterly Journal of Mathematics Pub Date : 2023-07-01 Epub Date: 2023-07-30 DOI:10.5187/jast.2023.e1
Eunjin Cho, Minjun Kim, Sunghyun Cho, Hee-Jin So, Ki-Teak Lee, Jihye Cha, Daehyeok Jin, Jun Heon Lee
{"title":"A genome-wide association study for the fatty acid composition of breast meat in an F2 crossbred chicken population.","authors":"Eunjin Cho, Minjun Kim, Sunghyun Cho, Hee-Jin So, Ki-Teak Lee, Jihye Cha, Daehyeok Jin, Jun Heon Lee","doi":"10.5187/jast.2023.e1","DOIUrl":null,"url":null,"abstract":"<p><p>The composition of fatty acids determines the flavor and quality of meat. Flavor compounds are generated during the cooking process by the decomposition of volatile fatty acids via lipid oxidation. A number of research on candidate genes related to fatty acid content in livestock species have been published. The majority of these studies focused on pigs and cattle; the association between fatty acid composition and meat quality in chickens has rarely been reported. Therefore, this study investigated candidate genes associated with fatty acid composition in chickens. A genome-wide association study (GWAS) was performed on 767 individuals from an F2 crossbred population of Yeonsan Ogye and White Leghorn chickens. The Illumina chicken 60K significant single-nucleotide polymorphism (SNP) genotype data and 30 fatty acids (%) in the breast meat of animals slaughtered at 10 weeks of age were analyzed. SNPs were shown to be significant in 15 traits: C10:0, C14:0, C18:0, C18:1n-7, C18:1n-9, C18:2n-6, C20:0, C20:2, C20:3n-6, C20:4n-6, C20:5n-3, C24:0, C24:1n-9, monounsaturated fatty acids (MUFA) and polyunsaturated fatty acids (PUFA). These SNPs were mostly located on chromosome 10 and around the following genes: <i>ACSS3</i>, <i>BTG1</i>, <i>MCEE</i>, <i>PPARGC1A</i>, <i>ACSL4</i>, <i>ELOVL4</i>, <i>CYB5R4</i>, <i>ME1</i>, and <i>TRPM1</i>. Both oleic acid and arachidonic acid contained the candidate genes: <i>MCEE</i> and <i>TRPM1</i>. These two fatty acids are antagonistic to each other and have been identified as traits that contribute to the production of volatile fatty acids. The results of this study improve our understanding of the genetic mechanisms through which fatty acids in chicken affect the meat flavor.</p>","PeriodicalId":54522,"journal":{"name":"Quarterly Journal of Mathematics","volume":"26 1","pages":"735-747"},"PeriodicalIF":0.5000,"publicationDate":"2023-07-01","publicationTypes":"Journal Article","fieldsOfStudy":null,"isOpenAccess":false,"openAccessPdf":"https://www.ncbi.nlm.nih.gov/pmc/articles/PMC10640945/pdf/","citationCount":"0","resultStr":null,"platform":"Semanticscholar","paperid":null,"PeriodicalName":"Quarterly Journal of Mathematics","FirstCategoryId":"97","ListUrlMain":"https://doi.org/10.5187/jast.2023.e1","RegionNum":4,"RegionCategory":"数学","ArticlePicture":[],"TitleCN":null,"AbstractTextCN":null,"PMCID":null,"EPubDate":"2023/7/30 0:00:00","PubModel":"Epub","JCR":"Q3","JCRName":"MATHEMATICS","Score":null,"Total":0}
引用次数: 0

Abstract

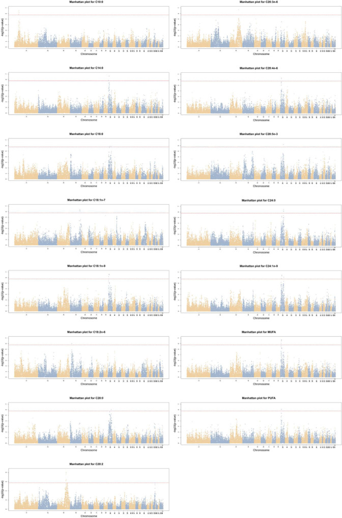
The composition of fatty acids determines the flavor and quality of meat. Flavor compounds are generated during the cooking process by the decomposition of volatile fatty acids via lipid oxidation. A number of research on candidate genes related to fatty acid content in livestock species have been published. The majority of these studies focused on pigs and cattle; the association between fatty acid composition and meat quality in chickens has rarely been reported. Therefore, this study investigated candidate genes associated with fatty acid composition in chickens. A genome-wide association study (GWAS) was performed on 767 individuals from an F2 crossbred population of Yeonsan Ogye and White Leghorn chickens. The Illumina chicken 60K significant single-nucleotide polymorphism (SNP) genotype data and 30 fatty acids (%) in the breast meat of animals slaughtered at 10 weeks of age were analyzed. SNPs were shown to be significant in 15 traits: C10:0, C14:0, C18:0, C18:1n-7, C18:1n-9, C18:2n-6, C20:0, C20:2, C20:3n-6, C20:4n-6, C20:5n-3, C24:0, C24:1n-9, monounsaturated fatty acids (MUFA) and polyunsaturated fatty acids (PUFA). These SNPs were mostly located on chromosome 10 and around the following genes: ACSS3, BTG1, MCEE, PPARGC1A, ACSL4, ELOVL4, CYB5R4, ME1, and TRPM1. Both oleic acid and arachidonic acid contained the candidate genes: MCEE and TRPM1. These two fatty acids are antagonistic to each other and have been identified as traits that contribute to the production of volatile fatty acids. The results of this study improve our understanding of the genetic mechanisms through which fatty acids in chicken affect the meat flavor.

Abstract Image

F2杂交鸡胸肉脂肪酸组成的全基因组关联研究。
脂肪酸的组成决定了肉的风味和品质。风味化合物是在烹饪过程中通过脂质氧化分解挥发性脂肪酸而产生的。一些与家畜脂肪酸含量相关的候选基因的研究已经发表。这些研究大多集中在猪和牛身上;鸡的脂肪酸组成与肉质之间的关系很少有报道。因此,本研究研究了与鸡脂肪酸组成相关的候选基因。对燕山乌溪鸡和白来角鸡F2杂交群体的767只个体进行了全基因组关联研究(GWAS)。分析了Illumina鸡60K显著单核苷酸多态性(SNP)基因型数据和10周龄屠宰动物胸肉中的30种脂肪酸(%)。在C10:0、C14:0、C18:0、C18:1n-7、C18:1n-9、C18:2n-6、C20:0、C20:2、C20:3n-6、C20:4n-6、C20:5n-3、C24:0、C24:1n-9、单不饱和脂肪酸(MUFA)和多不饱和脂肪酸(PUFA)等15个性状中均存在显著的snp。这些snp主要位于10号染色体上,位于以下基因周围:ACSS3、BTG1、MCEE、PPARGC1A、ACSL4、ELOVL4、CYB5R4、ME1和TRPM1。油酸和花生四烯酸均含有候选基因MCEE和TRPM1。这两种脂肪酸是相互拮抗的,并已被确定为有助于产生挥发性脂肪酸的性状。本研究结果提高了我们对鸡肉中脂肪酸影响肉味的遗传机制的认识。
本文章由计算机程序翻译,如有差异,请以英文原文为准。
求助全文
约1分钟内获得全文 求助全文
来源期刊
CiteScore
1.30
自引率
0.00%
发文量
36
审稿时长
6-12 weeks
期刊介绍: The Quarterly Journal of Mathematics publishes original contributions to pure mathematics. All major areas of pure mathematics are represented on the editorial board.
×
引用
GB/T 7714-2015
复制
MLA
复制
APA
复制
导出至
BibTeX EndNote RefMan NoteFirst NoteExpress
×
提示
您的信息不完整,为了账户安全,请先补充。
现在去补充
×
提示
您因"违规操作"
具体请查看互助需知
我知道了
×
提示
确定
请完成安全验证×
copy
已复制链接
快去分享给好友吧!
我知道了
右上角分享
点击右上角分享
0
联系我们:info@booksci.cn Book学术提供免费学术资源搜索服务,方便国内外学者检索中英文文献。致力于提供最便捷和优质的服务体验。 Copyright © 2023 布克学术 All rights reserved.
京ICP备2023020795号-1
ghs 京公网安备 11010802042870号
Book学术文献互助
Book学术文献互助群
群 号:604180095
Book学术官方微信