Analysis of vasoactive and oxidative stress indicators for evaluating the efficacy of continuous positive airway pressure, and relation of vasoactive and oxidative stress indicators and cardiac function in obstructive sleep Apnea Syndrome patients.

IF 1.8 3区 农林科学 Q1 ENTOMOLOGY
Xiaohong Ni, Jinhua Wang, Yu Tian, Hongyan Ke, Yuangao Liao, Yanwen Lv
{"title":"Analysis of vasoactive and oxidative stress indicators for evaluating the efficacy of continuous positive airway pressure, and relation of vasoactive and oxidative stress indicators and cardiac function in obstructive sleep Apnea Syndrome patients.","authors":"Xiaohong Ni, Jinhua Wang, Yu Tian, Hongyan Ke, Yuangao Liao, Yanwen Lv","doi":"10.5937/jomb0-42944","DOIUrl":null,"url":null,"abstract":"<p><strong>Background: </strong>Obstructive Sleep Apnea Syndrome (OSAS) is a breathing disorder during sleep. The work was to evaluate the relationship between vasoactive and oxidative stress indicators and cardiac function in Obstructive Sleep Apnea Syndrome (OSAS) patients.</p><p><strong>Methods: </strong>OSAS patients (n=120) were treated with CPAP from May 2021 to June 2022. According to the clinical efficacy, the patients were divided into effective and ineffective groups. Vasoactive factors and oxidative stress indices were compared between the two groups to evaluate their clinical efficacy. The changes in cardiac function indices in the two groups were tested, and the correlation between vasoactive factors and oxidative stress indices and cardiac function was analysed.</p><p><strong>Results: </strong>The effective rate of CPAP was 63.33% (76/120). Ang II, ET-1, and MDA levels were lower, and the SOD level was higher in the effective group than in the ineffective group after treatment. The AUC of the four indicators was all greater than 0.75. LPWT and IVST values of the effective group were lower than the ineffective group. A positive correlation was identified between the levels of Ang II, ET-1, and MDA with LPWT, between levels of ET-1 and MDA with IVST, and a negative correlation between SOD with LPWT and IVST.</p><p><strong>Conclusions: </strong>CPAP treatment can effectively improve vascular activity and reduce the oxidative stress response in OSAS patients, and the combined detection of vasoactive factors and oxidative stress indicators is valuable for evaluating the efficacy of CPAP and is related to the cardiac function of patients.</p>","PeriodicalId":8076,"journal":{"name":"Annals of The Entomological Society of America","volume":"71 1","pages":"200-208"},"PeriodicalIF":1.8000,"publicationDate":"2024-04-23","publicationTypes":"Journal Article","fieldsOfStudy":null,"isOpenAccess":false,"openAccessPdf":"https://www.ncbi.nlm.nih.gov/pmc/articles/PMC11062342/pdf/","citationCount":"0","resultStr":null,"platform":"Semanticscholar","paperid":null,"PeriodicalName":"Annals of The Entomological Society of America","FirstCategoryId":"3","ListUrlMain":"https://doi.org/10.5937/jomb0-42944","RegionNum":3,"RegionCategory":"农林科学","ArticlePicture":[],"TitleCN":null,"AbstractTextCN":null,"PMCID":null,"EPubDate":"","PubModel":"","JCR":"Q1","JCRName":"ENTOMOLOGY","Score":null,"Total":0}
引用次数: 0

Abstract

Background: Obstructive Sleep Apnea Syndrome (OSAS) is a breathing disorder during sleep. The work was to evaluate the relationship between vasoactive and oxidative stress indicators and cardiac function in Obstructive Sleep Apnea Syndrome (OSAS) patients.

Methods: OSAS patients (n=120) were treated with CPAP from May 2021 to June 2022. According to the clinical efficacy, the patients were divided into effective and ineffective groups. Vasoactive factors and oxidative stress indices were compared between the two groups to evaluate their clinical efficacy. The changes in cardiac function indices in the two groups were tested, and the correlation between vasoactive factors and oxidative stress indices and cardiac function was analysed.

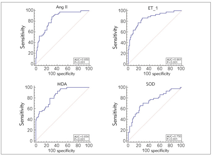
Results: The effective rate of CPAP was 63.33% (76/120). Ang II, ET-1, and MDA levels were lower, and the SOD level was higher in the effective group than in the ineffective group after treatment. The AUC of the four indicators was all greater than 0.75. LPWT and IVST values of the effective group were lower than the ineffective group. A positive correlation was identified between the levels of Ang II, ET-1, and MDA with LPWT, between levels of ET-1 and MDA with IVST, and a negative correlation between SOD with LPWT and IVST.

Conclusions: CPAP treatment can effectively improve vascular activity and reduce the oxidative stress response in OSAS patients, and the combined detection of vasoactive factors and oxidative stress indicators is valuable for evaluating the efficacy of CPAP and is related to the cardiac function of patients.

Abstract Image

Abstract Image

Abstract Image

评估持续气道正压疗效的血管活性和氧化应激指标分析,以及阻塞性睡眠呼吸暂停综合征患者的血管活性和氧化应激指标与心脏功能的关系。
背景:阻塞性睡眠呼吸暂停综合征(OSAS阻塞性睡眠呼吸暂停综合征(OSAS)是一种睡眠呼吸障碍。本研究旨在评估阻塞性睡眠呼吸暂停综合征(OSAS)患者血管活性和氧化应激指标与心脏功能之间的关系:方法:2021年5月至2022年6月,对OSAS患者(n=120)进行CPAP治疗。根据临床疗效将患者分为有效组和无效组。比较两组患者的血管活性因子和氧化应激指数,以评价其临床疗效。检测两组患者心功能指标的变化,分析血管活性因子和氧化应激指标与心功能的相关性:结果:CPAP的有效率为63.33%(76/120)。治疗后,有效组的 Ang II、ET-1 和 MDA 水平低于无效组,SOD 水平高于无效组。四项指标的 AUC 均大于 0.75。有效组的 LPWT 和 IVST 值低于无效组。AngⅡ、ET-1和MDA水平与LPWT呈正相关,ET-1和MDA水平与IVST呈正相关,SOD与LPWT和IVST呈负相关:CPAP治疗能有效改善OSAS患者的血管活性,降低氧化应激反应,而血管活性因子和氧化应激指标的联合检测对评价CPAP的疗效很有价值,并与患者的心脏功能有关。
本文章由计算机程序翻译,如有差异,请以英文原文为准。
求助全文
约1分钟内获得全文 求助全文
来源期刊
CiteScore
4.90
自引率
0.00%
发文量
25
审稿时长
6-12 weeks
期刊介绍: The Annals of the Entomological Society of America exists to stimulate interdisciplinary dialogue across the entomological disciplines and to advance cooperative interaction among diverse groups of entomologists. It seeks to attract and publish cutting-edge research, reviews, collections of articles on a common topic of broad interest, and discussion of topics with national or international importance. We especially welcome articles covering developing areas of research, controversial issues or debate, and topics of importance to society. Manuscripts that are primarily reports of new species, methodology, pest management, or the biology of single species generally will be referred to other journals of the ESA. The most important criteria for acceptance are quality of work and breadth of interest to the readership.
×
引用
GB/T 7714-2015
复制
MLA
复制
APA
复制
导出至
BibTeX EndNote RefMan NoteFirst NoteExpress
×
提示
您的信息不完整,为了账户安全,请先补充。
现在去补充
×
提示
您因"违规操作"
具体请查看互助需知
我知道了
×
提示
确定
请完成安全验证×
copy
已复制链接
快去分享给好友吧!
我知道了
右上角分享
点击右上角分享
0
联系我们:info@booksci.cn Book学术提供免费学术资源搜索服务,方便国内外学者检索中英文文献。致力于提供最便捷和优质的服务体验。 Copyright © 2023 布克学术 All rights reserved.
京ICP备2023020795号-1
ghs 京公网安备 11010802042870号
Book学术文献互助
Book学术文献互助群
群 号:604180095
Book学术官方微信