Pharmacokinetics of calycopterin and xanthmicrol, two polymethoxylated hydroxyflavones with anti-angiogenic activities from Dracocephalum kotschyi Bioss.

Seyedeh-Somayeh Zamani, Mohsen Hossieni, Mahmoud Etebari, Pirooz Salehian, Soltan Ahmad Ebrahimi
{"title":"Pharmacokinetics of calycopterin and xanthmicrol, two polymethoxylated hydroxyflavones with anti-angiogenic activities from Dracocephalum kotschyi Bioss.","authors":"Seyedeh-Somayeh Zamani, Mohsen Hossieni, Mahmoud Etebari, Pirooz Salehian, Soltan Ahmad Ebrahimi","doi":"10.1186/s40199-016-0161-x","DOIUrl":null,"url":null,"abstract":"<p><strong>Background: </strong>Recently flavonoids have attracted the attention of researchers in the fight against cancer. Calycopterin and xanthomicrol, are two polymethoxylated flavonoids found in the aerial parts of Dracocephalum kotschyi Bioss.. We have recently shown that these compounds possess antiangiogenic activity and may be of value as potential anticancer agents. In order to demonstrate putative in vivo antitumor effect of these compounds we needed preliminary information on both pharmacokinetics and toxicological properties of these two agents.</p><p><strong>Method: </strong>A new online SPE HPLC method for measurement of calycopterin and xanthomicrol in rat plasma was developed. Pharmacokinetic parameters of calycopterin and xanthomicrol, after i.v. administration in rats, were determined.</p><p><strong>Results: </strong>The plasma half-life for both agents was around 4 h, however, the volume of distribution of calycopterin appeared to be about 8 times greater than xanthomicrol. This was probably due the greater hydrophobicity of the former which had other consequences such as much smaller maximum plasma concentration of calycopterin compared to its less methoxylated congener. Preliminary toxicological study of xanthomicrol failed to show any behavioral, histological and biochemical adverse effects after repeated administrations of high doses. Pharmacokinetics of xanthomicrol in rats.</p>","PeriodicalId":9213,"journal":{"name":"Botanical Gazette","volume":"141 1","pages":"22"},"PeriodicalIF":0.0000,"publicationDate":"2016-10-04","publicationTypes":"Journal Article","fieldsOfStudy":null,"isOpenAccess":false,"openAccessPdf":"https://www.ncbi.nlm.nih.gov/pmc/articles/PMC5051066/pdf/","citationCount":"0","resultStr":null,"platform":"Semanticscholar","paperid":null,"PeriodicalName":"Botanical Gazette","FirstCategoryId":"3","ListUrlMain":"https://doi.org/10.1186/s40199-016-0161-x","RegionNum":0,"RegionCategory":null,"ArticlePicture":[],"TitleCN":null,"AbstractTextCN":null,"PMCID":null,"EPubDate":"","PubModel":"","JCR":"","JCRName":"","Score":null,"Total":0}
引用次数: 0

Abstract

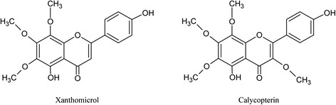
Background: Recently flavonoids have attracted the attention of researchers in the fight against cancer. Calycopterin and xanthomicrol, are two polymethoxylated flavonoids found in the aerial parts of Dracocephalum kotschyi Bioss.. We have recently shown that these compounds possess antiangiogenic activity and may be of value as potential anticancer agents. In order to demonstrate putative in vivo antitumor effect of these compounds we needed preliminary information on both pharmacokinetics and toxicological properties of these two agents.

Method: A new online SPE HPLC method for measurement of calycopterin and xanthomicrol in rat plasma was developed. Pharmacokinetic parameters of calycopterin and xanthomicrol, after i.v. administration in rats, were determined.

Results: The plasma half-life for both agents was around 4 h, however, the volume of distribution of calycopterin appeared to be about 8 times greater than xanthomicrol. This was probably due the greater hydrophobicity of the former which had other consequences such as much smaller maximum plasma concentration of calycopterin compared to its less methoxylated congener. Preliminary toxicological study of xanthomicrol failed to show any behavioral, histological and biochemical adverse effects after repeated administrations of high doses. Pharmacokinetics of xanthomicrol in rats.

Abstract Image

Abstract Image

Abstract Image

具有抗血管生成活性的两种多甲氧基羟基黄酮--钙鞘氨醇和黄曲霉毒素的药代动力学
背景:最近,黄酮类化合物在抗癌方面引起了研究人员的关注。萼片蝶呤(Calycopterin)和黄腐霉醇(xanthomicrol)是在Dracocephalum kotschyi Bioss.的气生部分中发现的两种多甲氧基黄酮类化合物。我们最近研究发现,这两种化合物具有抗血管生成活性,可作为潜在的抗癌药物。为了证明这些化合物的体内抗肿瘤作用,我们需要这两种药物的药代动力学和毒理学特性的初步信息:方法:开发了一种新的在线 SPE HPLC 方法,用于测定大鼠血浆中的钙蝶呤和黄腐霉醇。测定了大鼠静脉注射钙蝶呤和黄腐霉醇后的药代动力学参数:结果:两种药剂的血浆半衰期都在4小时左右,但钙蝶呤的分布容积似乎比黄霉素大8倍。这可能是由于前者的疏水性更强,而疏水性强还会产生其他后果,如与甲氧基化程度较低的同系物相比,钙蝶呤的最大血浆浓度要小得多。对黄腐霉醇的初步毒理学研究显示,在重复施用高剂量后,黄腐霉醇未对行为、组织学和生化产生任何不良影响。黄腐霉醇在大鼠体内的药代动力学。
本文章由计算机程序翻译,如有差异,请以英文原文为准。
求助全文
约1分钟内获得全文 求助全文
来源期刊
自引率
0.00%
发文量
0
×
引用
GB/T 7714-2015
复制
MLA
复制
APA
复制
导出至
BibTeX EndNote RefMan NoteFirst NoteExpress
×
提示
您的信息不完整,为了账户安全,请先补充。
现在去补充
×
提示
您因"违规操作"
具体请查看互助需知
我知道了
×
提示
确定
请完成安全验证×
copy
已复制链接
快去分享给好友吧!
我知道了
右上角分享
点击右上角分享
0
联系我们:info@booksci.cn Book学术提供免费学术资源搜索服务,方便国内外学者检索中英文文献。致力于提供最便捷和优质的服务体验。 Copyright © 2023 布克学术 All rights reserved.
京ICP备2023020795号-1
ghs 京公网安备 11010802042870号
Book学术文献互助
Book学术文献互助群
群 号:604180095
Book学术官方微信