Prospective 12-month functional and vocational outcomes of hip arthroscopy for femoroacetabular impingement as part of an evidence-based hip pain rehabilitation pathway in an active military population.

IF 1.9 4区 经济学 Q4 COMMUNICATION
JOURNAL OF MEDIA ECONOMICS Pub Date : 2016-08-09 eCollection Date: 2016-01-01 DOI:10.1136/bmjsem-2016-000144
A N Bennett, J Nixon, A Roberts, R Barker-Davies, R Villar, J M Houghton
{"title":"Prospective 12-month functional and vocational outcomes of hip arthroscopy for femoroacetabular impingement as part of an evidence-based hip pain rehabilitation pathway in an active military population.","authors":"A N Bennett, J Nixon, A Roberts, R Barker-Davies, R Villar, J M Houghton","doi":"10.1136/bmjsem-2016-000144","DOIUrl":null,"url":null,"abstract":"<p><strong>Background: </strong>Femoroacetabular impingement (FAI) is common with an estimated prevalence of 10-15% among young active individuals. The natural history of the disorder is progression to early osteoarthritis. Hip arthroscopy is recommended if conservative treatments fail; however, outcomes are unclear, particularly in highly active populations.</p><p><strong>Aim: </strong>To evaluate the functional and vocational outcome of hip arthroscopy, as part of an evidence-based rehabilitation hip pain pathway, for the treatment of FAI in an active military population.</p><p><strong>Methods: </strong>All patients in the defence rehabilitation hip pain pathway, with a confirmed diagnosis of FAI who failed conservative treatment, were assessed prior to surgery and at 2, 6 and 12 months postsurgery. Outcome measures included the Visual Analogue Scale (VAS) for hip pain, Non-Arthritic Hip Score (NAHS) for function, and vocational assessments including functional activity assessment (FAA) and Joint Medical Employment Standard for military employability and deployability.</p><p><strong>Results: </strong>101 patients completed the study (mean age=33 years) (male:female:75:26) (Royal Navy/British Army/Royal Air Force: 13%/48%/39%). Outcomes demonstrated significant improvements with large effect size. Preoperative NAHS mean=62.9 (SD 16.4), 12-month postoperative NAHS mean=78.8 (18.3), mean improvement in NAHS=15.9 (95% CI 12.3 to 19.5, p<0.001). Preoperative VAS pain mean=51.3 (20.9), 12-month postoperative VAS pain=25.6 (24.5). Mean improvement 25.7 (95% CI 19.4 to 31.99, p<0.001). 73% of patients had a deployable medical category at 12 months postoperative.</p><p><strong>Conclusions: </strong>These data confirm that hip arthroscopy as part of a structured evidence-based multidisciplinary care pathway produces significant and continued symptomatic, functional and vocational improvements over a 12-month period in a military population exposed to high intensity, weight-bearing exercise in uncontrolled and unforgiving environments.</p>","PeriodicalId":29945,"journal":{"name":"JOURNAL OF MEDIA ECONOMICS","volume":"32 1","pages":"e000144"},"PeriodicalIF":1.9000,"publicationDate":"2016-08-09","publicationTypes":"Journal Article","fieldsOfStudy":null,"isOpenAccess":false,"openAccessPdf":"https://www.ncbi.nlm.nih.gov/pmc/articles/PMC5117082/pdf/","citationCount":"0","resultStr":null,"platform":"Semanticscholar","paperid":null,"PeriodicalName":"JOURNAL OF MEDIA ECONOMICS","FirstCategoryId":"1085","ListUrlMain":"https://doi.org/10.1136/bmjsem-2016-000144","RegionNum":4,"RegionCategory":"经济学","ArticlePicture":[],"TitleCN":null,"AbstractTextCN":null,"PMCID":null,"EPubDate":"2016/1/1 0:00:00","PubModel":"eCollection","JCR":"Q4","JCRName":"COMMUNICATION","Score":null,"Total":0}
引用次数: 0

Abstract

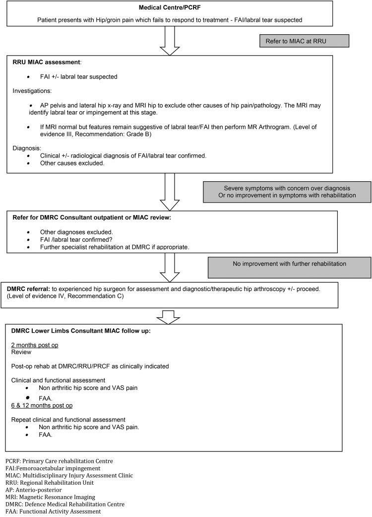
Background: Femoroacetabular impingement (FAI) is common with an estimated prevalence of 10-15% among young active individuals. The natural history of the disorder is progression to early osteoarthritis. Hip arthroscopy is recommended if conservative treatments fail; however, outcomes are unclear, particularly in highly active populations.

Aim: To evaluate the functional and vocational outcome of hip arthroscopy, as part of an evidence-based rehabilitation hip pain pathway, for the treatment of FAI in an active military population.

Methods: All patients in the defence rehabilitation hip pain pathway, with a confirmed diagnosis of FAI who failed conservative treatment, were assessed prior to surgery and at 2, 6 and 12 months postsurgery. Outcome measures included the Visual Analogue Scale (VAS) for hip pain, Non-Arthritic Hip Score (NAHS) for function, and vocational assessments including functional activity assessment (FAA) and Joint Medical Employment Standard for military employability and deployability.

Results: 101 patients completed the study (mean age=33 years) (male:female:75:26) (Royal Navy/British Army/Royal Air Force: 13%/48%/39%). Outcomes demonstrated significant improvements with large effect size. Preoperative NAHS mean=62.9 (SD 16.4), 12-month postoperative NAHS mean=78.8 (18.3), mean improvement in NAHS=15.9 (95% CI 12.3 to 19.5, p<0.001). Preoperative VAS pain mean=51.3 (20.9), 12-month postoperative VAS pain=25.6 (24.5). Mean improvement 25.7 (95% CI 19.4 to 31.99, p<0.001). 73% of patients had a deployable medical category at 12 months postoperative.

Conclusions: These data confirm that hip arthroscopy as part of a structured evidence-based multidisciplinary care pathway produces significant and continued symptomatic, functional and vocational improvements over a 12-month period in a military population exposed to high intensity, weight-bearing exercise in uncontrolled and unforgiving environments.

Abstract Image

作为以证据为基础的髋关节疼痛康复途径的一部分,在现役军人中开展为期 12 个月的股骨髋臼撞击症髋关节镜手术的前瞻性功能和职业疗效。
背景:股骨髋臼撞击症(FAI)是一种常见疾病,估计在年轻的活动人群中发病率为 10-15%。这种疾病的自然病史是逐渐发展为早期骨关节炎。目的:评估髋关节镜作为循证康复髋痛路径的一部分,在现役军人中治疗 FAI 的功能和职业结果:方法:对国防康复髋关节疼痛路径中所有确诊为FAI且保守治疗失败的患者进行术前、术后2个月、6个月和12个月的评估。结果测量包括针对髋关节疼痛的视觉模拟量表(VAS)、针对功能的非关节炎髋关节评分(NAHS),以及包括功能活动评估(FAA)和联合医疗就业标准在内的针对军事就业能力和部署能力的职业评估:101名患者完成了研究(平均年龄=33岁)(男女比例为75:26)(英国皇家海军/英国陆军/英国皇家空军:13%/48%/39%)。结果表明,治疗效果明显改善,且影响范围较大。术前 NAHS 平均值=62.9 (SD 16.4),术后 12 个月 NAHS 平均值=78.8 (18.3),NAHS 平均改善值=15.9 (95% CI 12.3 至 19.5, p结论:这些数据证实,髋关节镜手术作为结构化循证多学科护理路径的一部分,可在 12 个月的时间内对在不可控、不宽松环境中进行高强度负重运动的军事人员的症状、功能和职业状况产生显著且持续的改善。
本文章由计算机程序翻译,如有差异,请以英文原文为准。
求助全文
约1分钟内获得全文 求助全文
来源期刊
CiteScore
0.40
自引率
0.00%
发文量
9
期刊介绍: The Journal of Media Economics publishes original research on the economics and policy of mediated communication, focusing on firms, markets, and institutions. Reflecting the increasing diversity of analytical approaches employed in economics and recognizing that policies promoting social and political objectives may have significant economic impacts on media, the Journal encourages submissions reflecting the insights of diverse disciplinary perspectives and research methodologies, both empirical and theoretical.
×
引用
GB/T 7714-2015
复制
MLA
复制
APA
复制
导出至
BibTeX EndNote RefMan NoteFirst NoteExpress
×
提示
您的信息不完整,为了账户安全,请先补充。
现在去补充
×
提示
您因"违规操作"
具体请查看互助需知
我知道了
×
提示
确定
请完成安全验证×
copy
已复制链接
快去分享给好友吧!
我知道了
右上角分享
点击右上角分享
0
联系我们:info@booksci.cn Book学术提供免费学术资源搜索服务,方便国内外学者检索中英文文献。致力于提供最便捷和优质的服务体验。 Copyright © 2023 布克学术 All rights reserved.
京ICP备2023020795号-1
ghs 京公网安备 11010802042870号
Book学术文献互助
Book学术文献互助群
群 号:604180095
Book学术官方微信