Interplay of Objective Sleep Duration and Cardiovascular and Cerebrovascular Diseases on Cause-Specific Mortality.

Procedia, social and behavioral sciences Pub Date : 2019-10-15 Epub Date: 2019-10-02 DOI:10.1161/JAHA.119.013043
Julio Fernandez-Mendoza, Fan He, Alexandros N Vgontzas, Duanping Liao, Edward O Bixler
{"title":"Interplay of Objective Sleep Duration and Cardiovascular and Cerebrovascular Diseases on Cause-Specific Mortality.","authors":"Julio Fernandez-Mendoza, Fan He, Alexandros N Vgontzas, Duanping Liao, Edward O Bixler","doi":"10.1161/JAHA.119.013043","DOIUrl":null,"url":null,"abstract":"<p><p>Background Cardiovascular and cerebrovascular diseases (CBVDs) and cancer are leading causes of death. Short sleep is a potential contributor to health; however, its role in predicting mortality associated with cardiometabolic risk factors (CMRs) and CBVD remains poorly understood. We tested whether objective short sleep duration increases the risk of mortality associated with CMRs and CBVD. Methods and Results A total of 1654 adults (aged 20-74 years) from the Penn State Adult Cohort (47.5 years, 52.5% women, and 89.8% white) whose cause of death was determined after 19.2 years (5.2 years). CMR was defined as stage 2 hypertension and/or type 2 diabetes mellitus on the basis of blood pressure and glucose levels or a report of diagnosis or treatment for these conditions. CBVD was defined as a report of diagnosis or treatment for heart disease and/or stroke. Objective short sleep duration was defined as polysomnographic total sleep time <6 hours. Cox proportional hazard models estimated multivariable-adjusted hazard ratios (HRs) and 95% CIs. Risk of all-cause mortality associated with CMR or CBVD was significantly modified by objective sleep duration (<i>P</i><0.05), and it was significantly higher in subjects who slept <6 hours (HR, 2.14 [95% CI, 1.52-3.02] and HR, 3.17 [95% CI=2.16-4.65], respectively). In subjects who slept <6 hours, CMR was associated with a 1.83 higher (95% CI, 1.07-3.13) risk of CBVD mortality and CBVD with a 2.92 higher (95% CI, 1.28-6.65) risk of cancer mortality. In subjects who slept ≥6 hours, CMR was not significantly associated with CBVD mortality (HR, 1.35; 95% CI, 0.70-2.63) nor was CBVD significantly associated with cancer mortality (HR, 0.55; 95% CI, 0.18-1.64). Conclusions Objective short sleep duration predicts the all-cause mortality prognosis of middle-aged adults with CMR and the cancer-specific mortality prognosis of those with CBVD.</p>","PeriodicalId":89222,"journal":{"name":"Procedia, social and behavioral sciences","volume":"176 1","pages":"e013043"},"PeriodicalIF":0.0000,"publicationDate":"2019-10-15","publicationTypes":"Journal Article","fieldsOfStudy":null,"isOpenAccess":false,"openAccessPdf":"https://www.ncbi.nlm.nih.gov/pmc/articles/PMC6818044/pdf/","citationCount":"0","resultStr":null,"platform":"Semanticscholar","paperid":null,"PeriodicalName":"Procedia, social and behavioral sciences","FirstCategoryId":"1085","ListUrlMain":"https://doi.org/10.1161/JAHA.119.013043","RegionNum":0,"RegionCategory":null,"ArticlePicture":[],"TitleCN":null,"AbstractTextCN":null,"PMCID":null,"EPubDate":"2019/10/2 0:00:00","PubModel":"Epub","JCR":"","JCRName":"","Score":null,"Total":0}
引用次数: 0

Abstract

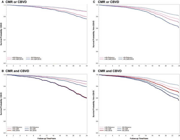
Background Cardiovascular and cerebrovascular diseases (CBVDs) and cancer are leading causes of death. Short sleep is a potential contributor to health; however, its role in predicting mortality associated with cardiometabolic risk factors (CMRs) and CBVD remains poorly understood. We tested whether objective short sleep duration increases the risk of mortality associated with CMRs and CBVD. Methods and Results A total of 1654 adults (aged 20-74 years) from the Penn State Adult Cohort (47.5 years, 52.5% women, and 89.8% white) whose cause of death was determined after 19.2 years (5.2 years). CMR was defined as stage 2 hypertension and/or type 2 diabetes mellitus on the basis of blood pressure and glucose levels or a report of diagnosis or treatment for these conditions. CBVD was defined as a report of diagnosis or treatment for heart disease and/or stroke. Objective short sleep duration was defined as polysomnographic total sleep time <6 hours. Cox proportional hazard models estimated multivariable-adjusted hazard ratios (HRs) and 95% CIs. Risk of all-cause mortality associated with CMR or CBVD was significantly modified by objective sleep duration (P<0.05), and it was significantly higher in subjects who slept <6 hours (HR, 2.14 [95% CI, 1.52-3.02] and HR, 3.17 [95% CI=2.16-4.65], respectively). In subjects who slept <6 hours, CMR was associated with a 1.83 higher (95% CI, 1.07-3.13) risk of CBVD mortality and CBVD with a 2.92 higher (95% CI, 1.28-6.65) risk of cancer mortality. In subjects who slept ≥6 hours, CMR was not significantly associated with CBVD mortality (HR, 1.35; 95% CI, 0.70-2.63) nor was CBVD significantly associated with cancer mortality (HR, 0.55; 95% CI, 0.18-1.64). Conclusions Objective short sleep duration predicts the all-cause mortality prognosis of middle-aged adults with CMR and the cancer-specific mortality prognosis of those with CBVD.

Abstract Image

Abstract Image

客观睡眠时间与心脑血管疾病对特定病因死亡率的相互影响。
背景心脑血管疾病(CBVDs)和癌症是导致死亡的主要原因。睡眠时间短是影响健康的一个潜在因素;然而,人们对睡眠时间短在预测与心脏代谢风险因素(CMRs)和 CBVD 相关的死亡率方面的作用仍然知之甚少。我们测试了客观的睡眠时间短是否会增加与 CMR 和 CBVD 相关的死亡风险。方法和结果 共有来自宾夕法尼亚州立大学成人队列的 1654 名成人(20-74 岁)(47.5 岁,52.5% 为女性,89.8% 为白人)在 19.2 年(5.2 年)后被确定死因。根据血压和血糖水平或诊断或治疗这些疾病的报告,CMR 被定义为 2 期高血压和/或 2 型糖尿病。CBVD是指心脏病和/或中风的诊断或治疗报告。客观睡眠时间短定义为多导睡眠图总睡眠时间 P
本文章由计算机程序翻译,如有差异,请以英文原文为准。
求助全文
约1分钟内获得全文 求助全文
来源期刊
自引率
0.00%
发文量
0
×
引用
GB/T 7714-2015
复制
MLA
复制
APA
复制
导出至
BibTeX EndNote RefMan NoteFirst NoteExpress
×
提示
您的信息不完整,为了账户安全,请先补充。
现在去补充
×
提示
您因"违规操作"
具体请查看互助需知
我知道了
×
提示
确定
请完成安全验证×
copy
已复制链接
快去分享给好友吧!
我知道了
右上角分享
点击右上角分享
0
联系我们:info@booksci.cn Book学术提供免费学术资源搜索服务,方便国内外学者检索中英文文献。致力于提供最便捷和优质的服务体验。 Copyright © 2023 布克学术 All rights reserved.
京ICP备2023020795号-1
ghs 京公网安备 11010802042870号
Book学术文献互助
Book学术文献互助群
群 号:604180095
Book学术官方微信