miR-92b-3p Exerts Neuroprotective Effects on Ischemia/Reperfusion-Induced Cerebral Injury via Targeting NOX4 in a Rat Model.

IF 0.6 1区 历史学 0 CLASSICS
AMERICAN JOURNAL OF PHILOLOGY Pub Date : 2022-03-30 eCollection Date: 2022-01-01 DOI:10.1155/2022/3494262
Yongpan Huang, Jiayu Tang, Xiaojuan Li, Xian Long, Yansong Huang, Xi Zhang
{"title":"miR-92b-3p Exerts Neuroprotective Effects on Ischemia/Reperfusion-Induced Cerebral Injury via Targeting NOX4 in a Rat Model.","authors":"Yongpan Huang, Jiayu Tang, Xiaojuan Li, Xian Long, Yansong Huang, Xi Zhang","doi":"10.1155/2022/3494262","DOIUrl":null,"url":null,"abstract":"<p><p>The necessity to increase the efficiency of organ preservation has pushed researchers to consider the mechanisms to minimize cerebral ischemia/reperfusion (I/R) injury. Hence, we evaluated the role of the miR-92b-3p/NOX4 pathway in cerebral I/R injury. A cerebral I/R injury model was established by blocking the left middle cerebral artery for 2 h and reperfusion for 24 h, and a hypoxia/reoxygenation (H/R) model was established. Thereafter, cerebral I/R increased obvious neurobiological function and brain injury (such as cerebral infarction, apoptosis, and cell morphology changes). In addition, we noted a significant decrease in the expression of miR-92b-3p, as well as increases in apoptosis and oxidative stress and an increase in NOX4. Furthermore, overexpression of miR-92b-3p blocked the inhibitory effect of miR-92b-3p on the expression of NOX4 and the accumulation of oxygen-free radicals. Bioinformatics analysis found that NOX4 may be the target gene regulated by miR-92b-3p. In conclusion, the involvement of the miR-92b-3p/NOX4 pathway ameliorated cerebral I/R injury through the prevention of apoptosis and oxidative stress. The miR-92b-3p/NOX4 pathway could be considered a potential therapeutic target to alleviate cerebral I/R injury.</p>","PeriodicalId":46128,"journal":{"name":"AMERICAN JOURNAL OF PHILOLOGY","volume":"58 1","pages":"3494262"},"PeriodicalIF":0.6000,"publicationDate":"2022-03-30","publicationTypes":"Journal Article","fieldsOfStudy":null,"isOpenAccess":false,"openAccessPdf":"https://www.ncbi.nlm.nih.gov/pmc/articles/PMC8986437/pdf/","citationCount":"5","resultStr":null,"platform":"Semanticscholar","paperid":null,"PeriodicalName":"AMERICAN JOURNAL OF PHILOLOGY","FirstCategoryId":"99","ListUrlMain":"https://doi.org/10.1155/2022/3494262","RegionNum":1,"RegionCategory":"历史学","ArticlePicture":[],"TitleCN":null,"AbstractTextCN":null,"PMCID":null,"EPubDate":"2022/1/1 0:00:00","PubModel":"eCollection","JCR":"0","JCRName":"CLASSICS","Score":null,"Total":0}
引用次数: 5

Abstract

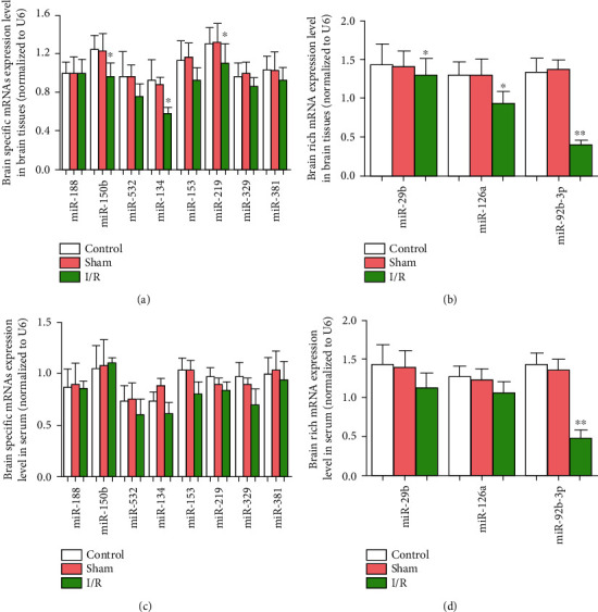
The necessity to increase the efficiency of organ preservation has pushed researchers to consider the mechanisms to minimize cerebral ischemia/reperfusion (I/R) injury. Hence, we evaluated the role of the miR-92b-3p/NOX4 pathway in cerebral I/R injury. A cerebral I/R injury model was established by blocking the left middle cerebral artery for 2 h and reperfusion for 24 h, and a hypoxia/reoxygenation (H/R) model was established. Thereafter, cerebral I/R increased obvious neurobiological function and brain injury (such as cerebral infarction, apoptosis, and cell morphology changes). In addition, we noted a significant decrease in the expression of miR-92b-3p, as well as increases in apoptosis and oxidative stress and an increase in NOX4. Furthermore, overexpression of miR-92b-3p blocked the inhibitory effect of miR-92b-3p on the expression of NOX4 and the accumulation of oxygen-free radicals. Bioinformatics analysis found that NOX4 may be the target gene regulated by miR-92b-3p. In conclusion, the involvement of the miR-92b-3p/NOX4 pathway ameliorated cerebral I/R injury through the prevention of apoptosis and oxidative stress. The miR-92b-3p/NOX4 pathway could be considered a potential therapeutic target to alleviate cerebral I/R injury.

Abstract Image

Abstract Image

Abstract Image

miR-92b-3p 通过靶向 NOX4 在大鼠模型中对缺血/再灌注诱导的脑损伤发挥神经保护作用
提高器官保存效率的必要性促使研究人员考虑最大限度减少脑缺血/再灌注(I/R)损伤的机制。因此,我们评估了 miR-92b-3p/NOX4 通路在脑 I/R 损伤中的作用。通过阻断左侧大脑中动脉2小时和再灌注24小时建立了大脑I/R损伤模型,并建立了缺氧/再氧合(H/R)模型。此后,大脑 I/R 增加了明显的神经生物学功能和脑损伤(如脑梗死、细胞凋亡和细胞形态变化)。此外,我们还注意到 miR-92b-3p 的表达明显减少,细胞凋亡和氧化应激增加,NOX4 增加。此外,过表达 miR-92b-3p 阻断了 miR-92b-3p 对 NOX4 表达和无氧自由基积累的抑制作用。生物信息学分析发现,NOX4 可能是受 miR-92b-3p 调控的靶基因。总之,miR-92b-3p/NOX4通路的参与通过防止细胞凋亡和氧化应激改善了脑I/R损伤。miR-92b-3p/NOX4通路可被视为缓解脑I/R损伤的潜在治疗靶点。
本文章由计算机程序翻译,如有差异,请以英文原文为准。
求助全文
约1分钟内获得全文 求助全文
来源期刊
CiteScore
1.00
自引率
20.00%
发文量
15
期刊介绍: Founded in 1880, American Journal of Philology (AJP) has helped to shape American classical scholarship. Today, the Journal has achieved worldwide recognition as a forum for international exchange among classicists and philologists by publishing original research in classical literature, philology, linguistics, history, society, religion, philosophy, and cultural and material studies. Book review sections are featured in every issue. AJP is open to a wide variety of contemporary and interdisciplinary approaches, including literary interpretation and theory, historical investigation, and textual criticism.
×
引用
GB/T 7714-2015
复制
MLA
复制
APA
复制
导出至
BibTeX EndNote RefMan NoteFirst NoteExpress
×
提示
您的信息不完整,为了账户安全,请先补充。
现在去补充
×
提示
您因"违规操作"
具体请查看互助需知
我知道了
×
提示
确定
请完成安全验证×
copy
已复制链接
快去分享给好友吧!
我知道了
右上角分享
点击右上角分享
0
联系我们:info@booksci.cn Book学术提供免费学术资源搜索服务,方便国内外学者检索中英文文献。致力于提供最便捷和优质的服务体验。 Copyright © 2023 布克学术 All rights reserved.
京ICP备2023020795号-1
ghs 京公网安备 11010802042870号
Book学术文献互助
Book学术文献互助群
群 号:604180095
Book学术官方微信