Efficacy of aerobic and resistance exercises in improving visceral adipose in patients with non-alcoholic fatty liver: a meta-analysis of randomized controlled trials.

Q3 Mathematics
Arnold Mathematical Journal Pub Date : 2022-11-01 Epub Date: 2022-05-30 DOI:10.1055/a-1742-4257
Lixiang Fu, Wenyue Zhang, Yupei Ao, Zhongling Zheng, Huaidong Hu
{"title":"Efficacy of aerobic and resistance exercises in improving visceral adipose in patients with non-alcoholic fatty liver: a meta-analysis of randomized controlled trials.","authors":"Lixiang Fu, Wenyue Zhang, Yupei Ao, Zhongling Zheng, Huaidong Hu","doi":"10.1055/a-1742-4257","DOIUrl":null,"url":null,"abstract":"<p><strong>Background: </strong>Non-alcoholic fatty liver disease (NAFLD) is a common chronic disease that can cause liver deterioration if insufficiently diagnosed and untreated. The verification of whether exercise interventions improve liver enzymes and lipid and glucose parameters is scant.</p><p><strong>Aim: </strong>We conducted this systematic review and meta-analysis to examine the efficacy of aerobic and resistance exercise interventions in patients with NAFLD.</p><p><strong>Methods: </strong>We searched the related studies in the PubMed, Embase, Cochrane Library, and Web of Science databases. We screened 1129 articles published before September 1, 2021, based on the inclusion and exclusion standards, after which 17 articles with a total of 1168 participants were finally included. The indices of liver enzymes and lipid and glucose metabolism were gathered and examined by Stata SE.</p><p><strong>Results: </strong>The outcomes suggested that aerobic and resistance exercise can markedly improve the parameters of liver enzymes, blood lipids, and glucose, and especially visceral adipose tissue (weighted mean different [WMD] = -8.3 at 95% CI [-11.59 to -5.00], p < 0.0001), in patients with NAFLD.</p><p><strong>Conclusion: </strong>This study demonstrated that aerobic and resistance exercises positively affect NAFLD treatment. To further quantify the effects on patients with NAFLD, a more specific and uniform exercise program should be proposed.</p>","PeriodicalId":37546,"journal":{"name":"Arnold Mathematical Journal","volume":"6 1","pages":"1644-1658"},"PeriodicalIF":0.0000,"publicationDate":"2022-11-01","publicationTypes":"Journal Article","fieldsOfStudy":null,"isOpenAccess":false,"openAccessPdf":"https://www.ncbi.nlm.nih.gov/pmc/articles/PMC9661875/pdf/","citationCount":"0","resultStr":null,"platform":"Semanticscholar","paperid":null,"PeriodicalName":"Arnold Mathematical Journal","FirstCategoryId":"3","ListUrlMain":"https://doi.org/10.1055/a-1742-4257","RegionNum":0,"RegionCategory":null,"ArticlePicture":[],"TitleCN":null,"AbstractTextCN":null,"PMCID":null,"EPubDate":"2022/5/30 0:00:00","PubModel":"Epub","JCR":"Q3","JCRName":"Mathematics","Score":null,"Total":0}
引用次数: 0

Abstract

Background: Non-alcoholic fatty liver disease (NAFLD) is a common chronic disease that can cause liver deterioration if insufficiently diagnosed and untreated. The verification of whether exercise interventions improve liver enzymes and lipid and glucose parameters is scant.

Aim: We conducted this systematic review and meta-analysis to examine the efficacy of aerobic and resistance exercise interventions in patients with NAFLD.

Methods: We searched the related studies in the PubMed, Embase, Cochrane Library, and Web of Science databases. We screened 1129 articles published before September 1, 2021, based on the inclusion and exclusion standards, after which 17 articles with a total of 1168 participants were finally included. The indices of liver enzymes and lipid and glucose metabolism were gathered and examined by Stata SE.

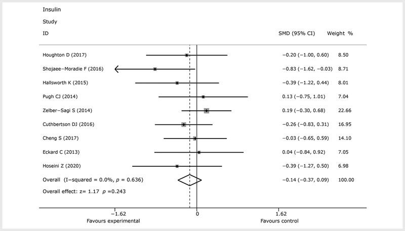
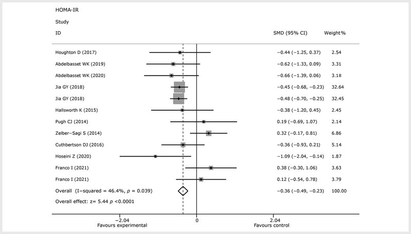
Results: The outcomes suggested that aerobic and resistance exercise can markedly improve the parameters of liver enzymes, blood lipids, and glucose, and especially visceral adipose tissue (weighted mean different [WMD] = -8.3 at 95% CI [-11.59 to -5.00], p < 0.0001), in patients with NAFLD.

Conclusion: This study demonstrated that aerobic and resistance exercises positively affect NAFLD treatment. To further quantify the effects on patients with NAFLD, a more specific and uniform exercise program should be proposed.

Abstract Image

Abstract Image

Abstract Image

有氧运动和阻力运动对改善非酒精性脂肪肝患者内脏脂肪的功效:随机对照试验荟萃分析。
背景:非酒精性脂肪肝(NAFLD)是一种常见的慢性疾病,如果诊断不充分、治疗不及时,可导致肝脏恶化。关于运动干预是否能改善肝酶、血脂和血糖指标的验证还很少。目的:我们进行了这项系统性回顾和荟萃分析,研究有氧运动和阻力运动干预对非酒精性脂肪肝患者的疗效:我们在 PubMed、Embase、Cochrane Library 和 Web of Science 数据库中检索了相关研究。我们根据纳入和排除标准对 2021 年 9 月 1 日之前发表的 1129 篇文章进行了筛选,最终纳入了 17 篇文章,共计 1168 名参与者。收集肝酶、脂代谢和糖代谢指标,并用Stata SE进行检验:结果表明,有氧运动和阻力运动能明显改善非酒精性脂肪肝患者的肝酶、血脂和血糖指标,尤其是内脏脂肪组织(加权平均差异[WMD] = -8.3,95% CI [-11.59 to -5.00],P < 0.0001):本研究表明,有氧运动和阻力运动对非酒精性脂肪肝的治疗有积极影响。结论:本研究表明,有氧运动和阻力运动对非酒精性脂肪肝的治疗有积极影响。为进一步量化对非酒精性脂肪肝患者的影响,应提出更具体、更统一的运动计划。
本文章由计算机程序翻译,如有差异,请以英文原文为准。
求助全文
约1分钟内获得全文 求助全文
来源期刊
Arnold Mathematical Journal
Arnold Mathematical Journal Mathematics-Mathematics (all)
CiteScore
1.50
自引率
0.00%
发文量
28
期刊介绍: The Arnold Mathematical Journal publishes interesting and understandable results in all areas of mathematics. The name of the journal is not only a dedication to the memory of Vladimir Arnold (1937 – 2010), one of the most influential mathematicians of the 20th century, but also a declaration that the journal should serve to maintain and promote the scientific style characteristic for Arnold''s best mathematical works. Features of AMJ publications include: Popularity. The journal articles should be accessible to a very wide community of mathematicians. Not only formal definitions necessary for the understanding must be provided but also informal motivations even if the latter are well-known to the experts in the field. Interdisciplinary and multidisciplinary mathematics. AMJ publishes research expositions that connect different mathematical subjects. Connections that are useful in both ways are of particular importance. Multidisciplinary research (even if the disciplines all belong to pure mathematics) is generally hard to evaluate, for this reason, this kind of research is often under-represented in specialized mathematical journals. AMJ will try to compensate for this.Problems, objectives, work in progress. Most scholarly publications present results of a research project in their “final'' form, in which all posed questions are answered. Some open questions and conjectures may be even mentioned, but the very process of mathematical discovery remains hidden. Following Arnold, publications in AMJ will try to unhide this process and made it public by encouraging the authors to include informal discussion of their motivation, possibly unsuccessful lines of attack, experimental data and close by research directions. AMJ publishes well-motivated research problems on a regular basis.  Problems do not need to be original; an old problem with a new and exciting motivation is worth re-stating. Following Arnold''s principle, a general formulation is less desirable than the simplest partial case that is still unknown.Being interesting. The most important requirement is that the article be interesting. It does not have to be limited by original research contributions of the author; however, the author''s responsibility is to carefully acknowledge the authorship of all results. Neither does the article need to consist entirely of formal and rigorous arguments. It can contain parts, in which an informal author''s understanding of the overall picture is presented; however, these parts must be clearly indicated.
×
引用
GB/T 7714-2015
复制
MLA
复制
APA
复制
导出至
BibTeX EndNote RefMan NoteFirst NoteExpress
×
提示
您的信息不完整,为了账户安全,请先补充。
现在去补充
×
提示
您因"违规操作"
具体请查看互助需知
我知道了
×
提示
确定
请完成安全验证×
copy
已复制链接
快去分享给好友吧!
我知道了
右上角分享
点击右上角分享
0
联系我们:info@booksci.cn Book学术提供免费学术资源搜索服务,方便国内外学者检索中英文文献。致力于提供最便捷和优质的服务体验。 Copyright © 2023 布克学术 All rights reserved.
京ICP备2023020795号-1
ghs 京公网安备 11010802042870号
Book学术文献互助
Book学术文献互助群
群 号:604180095
Book学术官方微信