Accuracy of combined multi-parametric MRI and PSMA PET-CT in diagnosing localized prostate cancer: newer horizons for a biopsy-free pathway.

IF 1.2 Q3 RADIOLOGY, NUCLEAR MEDICINE & MEDICAL IMAGING
Aditya Prakash Sharma, Rajender Kumar, Rohit Chauhan, Shiraz Akif Ziauddin, Shanky Singh, Harmandeep Singh, Sudheer Kumar Devana, Ujjwal Gorsi, Girdhar Singh Bora, Ravimohan S Mavuduru, Santosh Kumar, Uttam K Mete, Bhagwant Rai Mittal
{"title":"Accuracy of combined multi-parametric MRI and PSMA PET-CT in diagnosing localized prostate cancer: newer horizons for a biopsy-free pathway.","authors":"Aditya Prakash Sharma, Rajender Kumar, Rohit Chauhan, Shiraz Akif Ziauddin, Shanky Singh, Harmandeep Singh, Sudheer Kumar Devana, Ujjwal Gorsi, Girdhar Singh Bora, Ravimohan S Mavuduru, Santosh Kumar, Uttam K Mete, Bhagwant Rai Mittal","doi":"10.1186/s41824-023-00182-5","DOIUrl":null,"url":null,"abstract":"<p><strong>Introduction: </strong>Prostate-specific antigen (PSA) is a reliable biomarker for identification of prostate cancer, although a biopsy is still the gold standard for detecting prostate cancer. Similar to higher PIRADS lesions on MRI, the maximal standard uptake value (SUV max) on PSMA PET is linked to a higher likelihood of prostate cancer. Can an mpMRI in conjunction with PSMA PET Scan accurately predict prostate cancer and further trigger omission of biopsy similar to other solid organ urological malignancies?</p><p><strong>Methods: </strong>Ga-68 PSMA PET and mpMRI were performed for each patient who was a part of this retrospective study. The PET-positive lesion's maximum standardized uptake value (SUVmax) was recorded. Prostate biopsies were performed on patients who had PSMA PET avid lesions and a PIRADS score of 4 or 5. Robot-assisted radical prostatectomy (RARP) was afterward performed on patients who had cancer on their prostate biopsy. The prostatectomy specimen's histopathological information was recorded. Cutoff values and correlations between the variables were determined using the ROC curves and Pearson's correlation test.</p><p><strong>Result: </strong>On the basis of suspicious DRE findings or elevated PSA, 70 men underwent mpMRI and PET scans. PIRADS 4 patients had a median (IQR) SUVmax of 8.75 (11.95); whereas, PIRADS 5 patients had an SUVmax of 24.5 (22). The mean SUVmax for patients whose biopsies revealed no cancer was 6.25 ± 1.41. With an AUC of 0.876 on the ROC curve, it was found that there was a significant positive correlation between the results of the mpMRI and PET scans and those of the histopathological investigation. A SUVmax ≥ 8.25 on PSMA PET for a PIRADS 4/5 lesion on mpMRI will aid in correctly predicting malignancy, with a sensitivity of 82.8% and specificity of 100%.</p><p><strong>Conclusion: </strong>The findings of this study were positive and indicated that patients with a high suspicion of prostate cancer on mpMRI and PSMA PET (PIRADS ≥ 4 and SUVmax ≥ 8.25). This study substantiates the fact that a combination of mpMRI and PSMA PET can accurately predict localized prostate cancer.</p>","PeriodicalId":36160,"journal":{"name":"European Journal of Hybrid Imaging","volume":"7 1","pages":"24"},"PeriodicalIF":1.2000,"publicationDate":"2023-11-10","publicationTypes":"Journal Article","fieldsOfStudy":null,"isOpenAccess":false,"openAccessPdf":"https://www.ncbi.nlm.nih.gov/pmc/articles/PMC10635997/pdf/","citationCount":"0","resultStr":null,"platform":"Semanticscholar","paperid":null,"PeriodicalName":"European Journal of Hybrid Imaging","FirstCategoryId":"1085","ListUrlMain":"https://doi.org/10.1186/s41824-023-00182-5","RegionNum":0,"RegionCategory":null,"ArticlePicture":[],"TitleCN":null,"AbstractTextCN":null,"PMCID":null,"EPubDate":"","PubModel":"","JCR":"Q3","JCRName":"RADIOLOGY, NUCLEAR MEDICINE & MEDICAL IMAGING","Score":null,"Total":0}
引用次数: 0

Abstract

Introduction: Prostate-specific antigen (PSA) is a reliable biomarker for identification of prostate cancer, although a biopsy is still the gold standard for detecting prostate cancer. Similar to higher PIRADS lesions on MRI, the maximal standard uptake value (SUV max) on PSMA PET is linked to a higher likelihood of prostate cancer. Can an mpMRI in conjunction with PSMA PET Scan accurately predict prostate cancer and further trigger omission of biopsy similar to other solid organ urological malignancies?

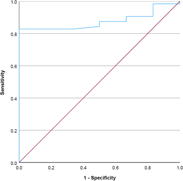
Methods: Ga-68 PSMA PET and mpMRI were performed for each patient who was a part of this retrospective study. The PET-positive lesion's maximum standardized uptake value (SUVmax) was recorded. Prostate biopsies were performed on patients who had PSMA PET avid lesions and a PIRADS score of 4 or 5. Robot-assisted radical prostatectomy (RARP) was afterward performed on patients who had cancer on their prostate biopsy. The prostatectomy specimen's histopathological information was recorded. Cutoff values and correlations between the variables were determined using the ROC curves and Pearson's correlation test.

Result: On the basis of suspicious DRE findings or elevated PSA, 70 men underwent mpMRI and PET scans. PIRADS 4 patients had a median (IQR) SUVmax of 8.75 (11.95); whereas, PIRADS 5 patients had an SUVmax of 24.5 (22). The mean SUVmax for patients whose biopsies revealed no cancer was 6.25 ± 1.41. With an AUC of 0.876 on the ROC curve, it was found that there was a significant positive correlation between the results of the mpMRI and PET scans and those of the histopathological investigation. A SUVmax ≥ 8.25 on PSMA PET for a PIRADS 4/5 lesion on mpMRI will aid in correctly predicting malignancy, with a sensitivity of 82.8% and specificity of 100%.

Conclusion: The findings of this study were positive and indicated that patients with a high suspicion of prostate cancer on mpMRI and PSMA PET (PIRADS ≥ 4 and SUVmax ≥ 8.25). This study substantiates the fact that a combination of mpMRI and PSMA PET can accurately predict localized prostate cancer.

Abstract Image

Abstract Image

Abstract Image

联合多参数MRI和PSMA PET-CT诊断局限性前列腺癌症的准确性:无生物途径的新视野。
简介:前列腺特异性抗原(PSA)是识别癌症的可靠生物标志物,尽管活检仍然是检测癌症前列腺的金标准。与MRI上较高的PIRADS病变类似,PSMA PET上的最大标准摄取值(SUV max)与较高的前列腺癌症可能性有关。mpMRI结合PSMA PET扫描是否可以准确预测前列腺癌症,并进一步触发类似于其他实体器官泌尿系统恶性肿瘤的活检遗漏?方法:对参与本回顾性研究的每位患者进行Ga-68 PSMA PET和mpMRI检查。记录PET阳性病变的最大标准化摄取值(SUVmax)。对患有PSMA PET狂热病变且PIRADS评分为4或5的患者进行前列腺活检。机器人辅助前列腺根治术(RARP)随后对癌症患者进行前列腺活检。记录前列腺切除标本的组织病理学信息。使用ROC曲线和Pearson相关检验来确定变量之间的截止值和相关性。结果:基于可疑的DRE表现或PSA升高,70名男性接受了mpMRI和PET扫描。PIRADS 4例患者的中位(IQR)SUVmax为8.75(11.95);而PIRADS 5患者的SUVmax为24.5(22)。活组织检查未发现癌症的患者的平均SUVmax为6.25 ± 1.41.ROC曲线上的AUC为0.876,发现mpMRI和PET扫描的结果与组织病理学研究的结果之间存在显著的正相关。SUVmax ≥ 结论:本研究结果为阳性,表明mpMRI和PSMA PET(PIRADS ≥ 4和SUVmax ≥ 8.25)。这项研究证实了mpMRI和PSMA PET的结合可以准确预测局部前列腺癌症的事实。
本文章由计算机程序翻译,如有差异,请以英文原文为准。
求助全文
约1分钟内获得全文 求助全文
来源期刊
European Journal of Hybrid Imaging
European Journal of Hybrid Imaging Computer Science-Computer Science (miscellaneous)
CiteScore
3.40
自引率
0.00%
发文量
29
审稿时长
17 weeks
×
引用
GB/T 7714-2015
复制
MLA
复制
APA
复制
导出至
BibTeX EndNote RefMan NoteFirst NoteExpress
×
提示
您的信息不完整,为了账户安全,请先补充。
现在去补充
×
提示
您因"违规操作"
具体请查看互助需知
我知道了
×
提示
确定
请完成安全验证×
copy
已复制链接
快去分享给好友吧!
我知道了
右上角分享
点击右上角分享
0
联系我们:info@booksci.cn Book学术提供免费学术资源搜索服务,方便国内外学者检索中英文文献。致力于提供最便捷和优质的服务体验。 Copyright © 2023 布克学术 All rights reserved.
京ICP备2023020795号-1
ghs 京公网安备 11010802042870号
Book学术文献互助
Book学术文献互助群
群 号:604180095
Book学术官方微信