A comparison in knee flexor and extensor strength following ACL reconstruction in international, male soccer players receiving patellar tendon or hamstrings grafts.

IF 1.6 Q2 Health Professions
Andreja Milutinović, Vladimir Jakovljević, Milinko Dabović, Aaron T Scanlan, Dragan Radovanović, Aleksandra Orlova, Emilija Stojanović
{"title":"A comparison in knee flexor and extensor strength following ACL reconstruction in international, male soccer players receiving patellar tendon or hamstrings grafts.","authors":"Andreja Milutinović, Vladimir Jakovljević, Milinko Dabović, Aaron T Scanlan, Dragan Radovanović, Aleksandra Orlova, Emilija Stojanović","doi":"10.5114/biolsport.2024.129471","DOIUrl":null,"url":null,"abstract":"<p><p>The aim of this study was to compare knee extensor and flexor strength recovery following anterior cruciate ligament (ACL) reconstruction between bone-patellar tendon-bone (BPTB) and hamstring tendon (HT) grafts in international male soccer players undergoing comparable 6-month rehabilitation programmes. Seventeen players underwent ACL reconstruction with either an autogenous BPTB graft or HT graft. Knee extensor and flexor peak torques were measured at 3 months and 6 months in the injured and contralateral legs following surgery using isokinetic dynamometry. The <i>moderate-large</i> asymmetries in knee extensor peak torque between legs at 3 months across graft types (BPTB: p = 0.002, g = -0.94; HT: p = 0.02, g = -0.55) were reduced to <i>trivial</i> asymmetries at 6 months (BPTB: p = 0.30, g = -0.19; HT: p = 0.40, g = -0.16), with a non-significant difference in limb symmetry index (LSI) between grafts at 6 months (p = 0.62, g = -0.24). Similarly, <i>moderate-large</i> asymmetries in knee flexor peak torque between legs at 3 months across graft types (BPTB: p = 0.13, g = -0.50; HT: p = 0.01, g = -0.97) were reduced to <i>trivial-small</i> asymmetries at 6 months (BPTB: p = 0.25, g = 0.18; HT: p = 0.01, g = -0.47); however, a superior LSI was evident with BPTB compared to HT grafts at 6 months (p = 0.007, g = 1.43, <i>large</i>). Strength and conditioning professionals working with soccer players who are rehabilitating from ACL reconstruction after receiving a HT graft should give adequate attention to delivering suitable hamstring exercises that ensure optimal strength restoration.</p>","PeriodicalId":53208,"journal":{"name":"World Federation of Occupational Therapists Bulletin","volume":"78 1","pages":"107-117"},"PeriodicalIF":1.6000,"publicationDate":"2024-01-01","publicationTypes":"Journal Article","fieldsOfStudy":null,"isOpenAccess":false,"openAccessPdf":"https://www.ncbi.nlm.nih.gov/pmc/articles/PMC10765446/pdf/","citationCount":"0","resultStr":null,"platform":"Semanticscholar","paperid":null,"PeriodicalName":"World Federation of Occupational Therapists Bulletin","FirstCategoryId":"3","ListUrlMain":"https://doi.org/10.5114/biolsport.2024.129471","RegionNum":0,"RegionCategory":null,"ArticlePicture":[],"TitleCN":null,"AbstractTextCN":null,"PMCID":null,"EPubDate":"2023/7/19 0:00:00","PubModel":"Epub","JCR":"Q2","JCRName":"Health Professions","Score":null,"Total":0}
引用次数: 0

Abstract

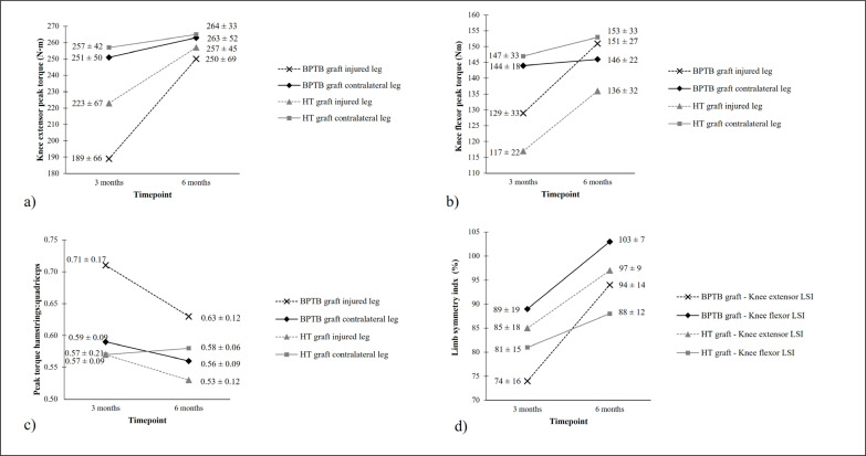
The aim of this study was to compare knee extensor and flexor strength recovery following anterior cruciate ligament (ACL) reconstruction between bone-patellar tendon-bone (BPTB) and hamstring tendon (HT) grafts in international male soccer players undergoing comparable 6-month rehabilitation programmes. Seventeen players underwent ACL reconstruction with either an autogenous BPTB graft or HT graft. Knee extensor and flexor peak torques were measured at 3 months and 6 months in the injured and contralateral legs following surgery using isokinetic dynamometry. The moderate-large asymmetries in knee extensor peak torque between legs at 3 months across graft types (BPTB: p = 0.002, g = -0.94; HT: p = 0.02, g = -0.55) were reduced to trivial asymmetries at 6 months (BPTB: p = 0.30, g = -0.19; HT: p = 0.40, g = -0.16), with a non-significant difference in limb symmetry index (LSI) between grafts at 6 months (p = 0.62, g = -0.24). Similarly, moderate-large asymmetries in knee flexor peak torque between legs at 3 months across graft types (BPTB: p = 0.13, g = -0.50; HT: p = 0.01, g = -0.97) were reduced to trivial-small asymmetries at 6 months (BPTB: p = 0.25, g = 0.18; HT: p = 0.01, g = -0.47); however, a superior LSI was evident with BPTB compared to HT grafts at 6 months (p = 0.007, g = 1.43, large). Strength and conditioning professionals working with soccer players who are rehabilitating from ACL reconstruction after receiving a HT graft should give adequate attention to delivering suitable hamstring exercises that ensure optimal strength restoration.

Abstract Image

Abstract Image

Abstract Image

接受髌腱或腘绳肌移植的国际男子足球运动员在前交叉韧带重建后膝关节屈伸力量的比较。
本研究的目的是比较国际男子足球运动员在前十字韧带(ACL)重建术后膝关节伸屈力量的恢复情况,比较采用骨-髌腱-骨(BPTB)和腘绳肌腱(HT)两种移植方式的恢复情况,并进行为期 6 个月的康复训练。17 名球员接受了自体 BPTB 或 HT 前交叉韧带重建术。在手术后 3 个月和 6 个月,使用等动测力计测量了受伤腿和对侧腿的膝关节伸屈峰值扭矩。3个月时,不同移植物类型的双腿之间的膝关节伸肌峰值扭矩存在中度-高度不对称(BPTB:p = 0.002,g = -0.94;HT:p = 0.02,g = -0.55),而6个月时,这种不对称已减少到微不足道的程度。在 6 个月时,不同移植物之间的肢体对称性指数(LSI)差异不显著(p = 0.62,g = -0.24),而在 3 个月时,不同移植物之间的肢体不对称程度降至微不足道(BPTB:p = 0.30,g = -0.19;HT:p = 0.40,g = -0.16)。同样,在 3 个月时,不同移植物类型之间的膝关节屈肌峰值扭矩存在中度-高度不对称(BPTB:p = 0.13,g = -0.50;HT:p = 0.01,g = -0.97),但在 6 个月时,这种不对称已减少到微不足道的程度。然而,与 HT 移植物相比,BPTB 移植物在 6 个月时的 LSI 明显优于 HT 移植物(p = 0.007,g = 1.43,大)。前交叉韧带重建后接受 HT 移植的足球运动员在进行康复训练时,力量和调理专业人员应充分重视提供合适的腘绳肌练习,以确保最佳的力量恢复。
本文章由计算机程序翻译,如有差异,请以英文原文为准。
求助全文
约1分钟内获得全文 求助全文
来源期刊
CiteScore
1.80
自引率
12.50%
发文量
20
×
引用
GB/T 7714-2015
复制
MLA
复制
APA
复制
导出至
BibTeX EndNote RefMan NoteFirst NoteExpress
×
提示
您的信息不完整,为了账户安全,请先补充。
现在去补充
×
提示
您因"违规操作"
具体请查看互助需知
我知道了
×
提示
确定
请完成安全验证×
copy
已复制链接
快去分享给好友吧!
我知道了
右上角分享
点击右上角分享
0
联系我们:info@booksci.cn Book学术提供免费学术资源搜索服务,方便国内外学者检索中英文文献。致力于提供最便捷和优质的服务体验。 Copyright © 2023 布克学术 All rights reserved.
京ICP备2023020795号-1
ghs 京公网安备 11010802042870号
Book学术文献互助
Book学术文献互助群
群 号:604180095
Book学术官方微信
小红书