Modifiable Risk Factors for Accelerated Decline in Processing Speed: Results from Three Dutch Population Cohorts.

IF 7.8 3区 医学 Q1 CLINICAL NEUROLOGY
E Jaarsma, A Nooyens, A A L Kok, S Köhler, M van Boxtel, W M M Verschuren, M Huisman
{"title":"Modifiable Risk Factors for Accelerated Decline in Processing Speed: Results from Three Dutch Population Cohorts.","authors":"E Jaarsma, A Nooyens, A A L Kok, S Köhler, M van Boxtel, W M M Verschuren, M Huisman","doi":"10.14283/jpad.2023.64","DOIUrl":null,"url":null,"abstract":"<p><strong>Background: </strong>Several lifestyle, cardiovascular and psychosocial factors are associated with risk of cognitive decline and dementia. We studied the independent associations of a broad set of modifiable risk factors with decline in processing speed in three large population-based cohorts with up to 23 years of follow-up.</p><p><strong>Methods: </strong>We used data of 9,666 participants from the Doetinchem Cohort Study, the Longitudinal Aging Study Amsterdam, and the Maastricht Aging Study. Decline in processing speed was measured with the letter digit substitution task or the alphabet coding task and modeled using quadratic latent growth curves. Associations of modifiable risk factors with level and rate of decline in processing speed were investigated by estimating associations with level of processing speed at different centering ages.</p><p><strong>Results: </strong>Latent growth curves showed that decline in processing speed accelerated with age. Smoking, not drinking alcohol and depressive symptoms were associated with a lower level of processing speed in all cohorts. In two of the cohorts, more physical activity, drinking more than two glasses of alcohol per day, higher BMI and diabetes were associated with a lower level of processing speed. Depressive symptoms and diabetes were also associated with faster decline in processing speed.</p><p><strong>Conclusion: </strong>Several modifiable risk factors are associated with the level of processing speed in older age, while few are also related to the rate of decline.</p>","PeriodicalId":48606,"journal":{"name":"Jpad-Journal of Prevention of Alzheimers Disease","volume":"1 1","pages":"108-116"},"PeriodicalIF":7.8000,"publicationDate":"2024-01-01","publicationTypes":"Journal Article","fieldsOfStudy":null,"isOpenAccess":false,"openAccessPdf":"https://www.ncbi.nlm.nih.gov/pmc/articles/PMC10994989/pdf/","citationCount":"0","resultStr":null,"platform":"Semanticscholar","paperid":null,"PeriodicalName":"Jpad-Journal of Prevention of Alzheimers Disease","FirstCategoryId":"3","ListUrlMain":"https://doi.org/10.14283/jpad.2023.64","RegionNum":3,"RegionCategory":"医学","ArticlePicture":[],"TitleCN":null,"AbstractTextCN":null,"PMCID":null,"EPubDate":"","PubModel":"","JCR":"Q1","JCRName":"CLINICAL NEUROLOGY","Score":null,"Total":0}
引用次数: 0

Abstract

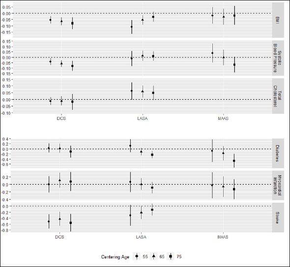
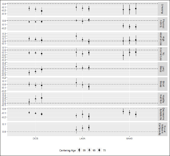
Background: Several lifestyle, cardiovascular and psychosocial factors are associated with risk of cognitive decline and dementia. We studied the independent associations of a broad set of modifiable risk factors with decline in processing speed in three large population-based cohorts with up to 23 years of follow-up.

Methods: We used data of 9,666 participants from the Doetinchem Cohort Study, the Longitudinal Aging Study Amsterdam, and the Maastricht Aging Study. Decline in processing speed was measured with the letter digit substitution task or the alphabet coding task and modeled using quadratic latent growth curves. Associations of modifiable risk factors with level and rate of decline in processing speed were investigated by estimating associations with level of processing speed at different centering ages.

Results: Latent growth curves showed that decline in processing speed accelerated with age. Smoking, not drinking alcohol and depressive symptoms were associated with a lower level of processing speed in all cohorts. In two of the cohorts, more physical activity, drinking more than two glasses of alcohol per day, higher BMI and diabetes were associated with a lower level of processing speed. Depressive symptoms and diabetes were also associated with faster decline in processing speed.

Conclusion: Several modifiable risk factors are associated with the level of processing speed in older age, while few are also related to the rate of decline.

Abstract Image

Abstract Image

Abstract Image

处理速度加速下降的可改变风险因素:三个荷兰人口队列的结果。
背景:一些生活方式、心血管和社会心理因素与认知能力下降和痴呆症的风险有关。我们在三个大型人群队列中研究了一系列可改变的风险因素与处理速度下降之间的独立关联,随访时间长达 23 年:我们使用了 Doetinchem 队列研究、阿姆斯特丹老龄化纵向研究和马斯特里赫特老龄化研究中 9,666 名参与者的数据。我们通过字母数字替换任务或字母编码任务测量了处理速度的下降,并使用二次潜增长曲线建立了模型。通过估计不同中心年龄的处理速度与处理速度水平的关系,研究了可改变的风险因素与处理速度下降水平和速度的关系:结果:潜增长曲线显示,随着年龄的增长,处理速度的下降速度加快。在所有队列中,吸烟、不饮酒和抑郁症状与较低的处理速度水平有关。在两个队列中,运动量越大、每天饮酒两杯以上、体重指数越高和糖尿病与处理速度越低有关。抑郁症状和糖尿病也与处理速度下降较快有关联:结论:一些可改变的风险因素与老年人的处理速度水平有关,但也有少数因素与处理速度的下降速度有关。
本文章由计算机程序翻译,如有差异,请以英文原文为准。
求助全文
约1分钟内获得全文 求助全文
来源期刊
自引率
7.80%
发文量
85
期刊介绍: The JPAD « Journal of Prevention of Alzheimer’Disease » will publish reviews, original research articles and short reports to improve our knowledge in the field of Alzheimer prevention including : neurosciences, biomarkers, imaging, epidemiology, public health, physical cognitive exercise, nutrition, risk and protective factors, drug development, trials design, and heath economic outcomes. JPAD will publish also the meeting abstracts from Clinical Trial on Alzheimer Disease (CTAD) and will be distributed both in paper and online version worldwide.
×
引用
GB/T 7714-2015
复制
MLA
复制
APA
复制
导出至
BibTeX EndNote RefMan NoteFirst NoteExpress
×
提示
您的信息不完整,为了账户安全,请先补充。
现在去补充
×
提示
您因"违规操作"
具体请查看互助需知
我知道了
×
提示
确定
请完成安全验证×
copy
已复制链接
快去分享给好友吧!
我知道了
右上角分享
点击右上角分享
0
联系我们:info@booksci.cn Book学术提供免费学术资源搜索服务,方便国内外学者检索中英文文献。致力于提供最便捷和优质的服务体验。 Copyright © 2023 布克学术 All rights reserved.
京ICP备2023020795号-1
ghs 京公网安备 11010802042870号
Book学术文献互助
Book学术文献互助群
群 号:604180095
Book学术官方微信