A noninteger order SEITR dynamical model for TB.

IF 1.8 Q1 MATHEMATICS
Jitendra Panchal, Falguni Acharya, Kanan Joshi
{"title":"A noninteger order SEITR dynamical model for TB.","authors":"Jitendra Panchal, Falguni Acharya, Kanan Joshi","doi":"10.1186/s13662-022-03700-0","DOIUrl":null,"url":null,"abstract":"<p><p>This research paper designs the noninteger order SEITR dynamical model in the Caputo sense for tuberculosis. The authors of the article have classified the infection compartment into four different compartments such as newly infected unrecognized individuals, diagnosed patients, highly infected patients, and patients with delays in treatment which provide better detail of the TB infection dynamic. We estimate the model parameters using the least square curve fitting and demonstrate that the proposed model provides a good fit to tuberculosis confirmed cases of India from the year 2000 to 2020. Further, we compute the basic reproduction number as <math><msub><mi>ℜ</mi> <mn>0</mn></msub> <mo>≈</mo> <mn>1.73</mn></math> of the model using the next-generation matrix method and the model equilibria. The existence and uniqueness of the approximate solution for the SEITR model is validated using the generalized Adams-Bashforth-Moulton method. The graphical representation of the fractional order model is given to validate the result using the numerical simulation. We conclude that the fractional order model is more realistic than the classical integer order model and provide more detailed information about the real data of the TB disease dynamics.</p>","PeriodicalId":72091,"journal":{"name":"Advances in continuous and discrete models","volume":"2022 1","pages":"27"},"PeriodicalIF":1.8000,"publicationDate":"2022-01-01","publicationTypes":"Journal Article","fieldsOfStudy":null,"isOpenAccess":false,"openAccessPdf":"https://www.ncbi.nlm.nih.gov/pmc/articles/PMC8959566/pdf/","citationCount":"0","resultStr":null,"platform":"Semanticscholar","paperid":null,"PeriodicalName":"Advances in continuous and discrete models","FirstCategoryId":"1085","ListUrlMain":"https://doi.org/10.1186/s13662-022-03700-0","RegionNum":0,"RegionCategory":null,"ArticlePicture":[],"TitleCN":null,"AbstractTextCN":null,"PMCID":null,"EPubDate":"2022/3/26 0:00:00","PubModel":"Epub","JCR":"Q1","JCRName":"MATHEMATICS","Score":null,"Total":0}
引用次数: 0

Abstract

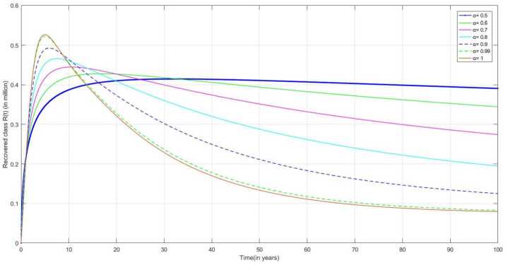
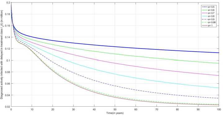
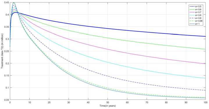
This research paper designs the noninteger order SEITR dynamical model in the Caputo sense for tuberculosis. The authors of the article have classified the infection compartment into four different compartments such as newly infected unrecognized individuals, diagnosed patients, highly infected patients, and patients with delays in treatment which provide better detail of the TB infection dynamic. We estimate the model parameters using the least square curve fitting and demonstrate that the proposed model provides a good fit to tuberculosis confirmed cases of India from the year 2000 to 2020. Further, we compute the basic reproduction number as 0 1.73 of the model using the next-generation matrix method and the model equilibria. The existence and uniqueness of the approximate solution for the SEITR model is validated using the generalized Adams-Bashforth-Moulton method. The graphical representation of the fractional order model is given to validate the result using the numerical simulation. We conclude that the fractional order model is more realistic than the classical integer order model and provide more detailed information about the real data of the TB disease dynamics.

Abstract Image

Abstract Image

Abstract Image

TB的非整数阶SEITR动态模型。
本文设计了结核病的Caputo意义下的非整数阶SEITR动态模型。这篇文章的作者将感染区分为四个不同的区,如新感染的未被识别的个体、确诊的患者、高度感染的患者和治疗延误的患者,这提供了结核病感染动态的更好细节。我们使用最小二乘曲线拟合估计模型参数,并证明所提出的模型可以很好地拟合2000年至2020年印度结核病确诊病例。在此基础上,利用新一代矩阵法和模型平衡点计算出模型的基本复制数为:≤1.73。利用广义Adams-Bashforth-Moulton方法验证了SEITR模型近似解的存在唯一性。给出了分数阶模型的图形表示,并用数值模拟验证了结果。我们得出结论,分数阶模型比经典的整数阶模型更真实,并提供了关于结核病动态的真实数据的更详细的信息。
本文章由计算机程序翻译,如有差异,请以英文原文为准。
求助全文
约1分钟内获得全文 求助全文
来源期刊
CiteScore
2.30
自引率
0.00%
发文量
0
×
引用
GB/T 7714-2015
复制
MLA
复制
APA
复制
导出至
BibTeX EndNote RefMan NoteFirst NoteExpress
×
提示
您的信息不完整,为了账户安全,请先补充。
现在去补充
×
提示
您因"违规操作"
具体请查看互助需知
我知道了
×
提示
确定
请完成安全验证×
copy
已复制链接
快去分享给好友吧!
我知道了
右上角分享
点击右上角分享
0
联系我们:info@booksci.cn Book学术提供免费学术资源搜索服务,方便国内外学者检索中英文文献。致力于提供最便捷和优质的服务体验。 Copyright © 2023 布克学术 All rights reserved.
京ICP备2023020795号-1
ghs 京公网安备 11010802042870号
Book学术文献互助
Book学术文献互助群
群 号:604180095
Book学术官方微信