The rs361525 polymorphism does not increase production of tumor necrosis factor alpha by monocytes from alpha-1 antitrypsin deficient subjects with chronic obstructive pulmonary disease - a pilot study.

Jennie M Gane, Robert A Stockley, Elizabeth Sapey
{"title":"The rs361525 polymorphism does not increase production of tumor necrosis factor alpha by monocytes from alpha-1 antitrypsin deficient subjects with chronic obstructive pulmonary disease - a pilot study.","authors":"Jennie M Gane, Robert A Stockley, Elizabeth Sapey","doi":"10.1186/s12952-015-0039-3","DOIUrl":null,"url":null,"abstract":"<p><strong>Background: </strong>Polymorphisms in the TNF-A gene have been associated with chronic obstructive pulmonary disease (COPD) in some case-control studies. Previous work has shown that COPD/chronic bronchitis subjects with alpha-1 antitrypsin deficiency with the rs361525 TNF-α single nucleotide polymorphism have 100 times more TNF-in spontaneous sputum than disease matched controls. Our objective was to determine if the presence of this polymorphism increased TNF-α production by blood monocytes from COPD subjects.</p><p><strong>Findings: </strong>Monocytes from 18 COPD/alpha-1 antitrypsin deficient subjects, with and without the rs361525 polymorphism, were cultured in the presence or absence of lipopolysaccharide. Cell-free supernatants were analyzed by ELISA and real-time PCR performed using cDNA from extracted RNA. Baseline expression of TNF-α messenger RNA was no different between the groups. No difference in messenger RNA or secreted protein was observed over time in un-stimulated cells. TNF-α messenger RNA expression and protein was not higher in lipopolysaccharide-stimulated monocytes from subjects with the polymorphism compared to cells from patients with the wild-type allele.</p><p><strong>Conclusions: </strong>This small pilot study did not provide an explanation for the findings of earlier observations of the association of the rs361525 polymorphism with TNF-α in airways secretions. Possible reasons for the lack of concordance include the study of blood rather than tissue cells, the use of a single stimulant rather than biological secretions and the need for far greater subject numbers to overcome intra-subject variation in monocyte TNF-α production.</p>","PeriodicalId":73849,"journal":{"name":"Journal of negative results in biomedicine","volume":"14 1","pages":"20"},"PeriodicalIF":0.0000,"publicationDate":"2015-12-01","publicationTypes":"Journal Article","fieldsOfStudy":null,"isOpenAccess":false,"openAccessPdf":"https://www.ncbi.nlm.nih.gov/pmc/articles/PMC4665865/pdf/","citationCount":"0","resultStr":null,"platform":"Semanticscholar","paperid":null,"PeriodicalName":"Journal of negative results in biomedicine","FirstCategoryId":"1085","ListUrlMain":"https://doi.org/10.1186/s12952-015-0039-3","RegionNum":0,"RegionCategory":null,"ArticlePicture":[],"TitleCN":null,"AbstractTextCN":null,"PMCID":null,"EPubDate":"","PubModel":"","JCR":"","JCRName":"","Score":null,"Total":0}
引用次数: 0

Abstract

Background: Polymorphisms in the TNF-A gene have been associated with chronic obstructive pulmonary disease (COPD) in some case-control studies. Previous work has shown that COPD/chronic bronchitis subjects with alpha-1 antitrypsin deficiency with the rs361525 TNF-α single nucleotide polymorphism have 100 times more TNF-in spontaneous sputum than disease matched controls. Our objective was to determine if the presence of this polymorphism increased TNF-α production by blood monocytes from COPD subjects.

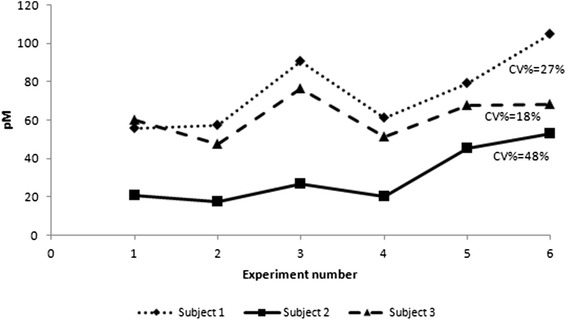
Findings: Monocytes from 18 COPD/alpha-1 antitrypsin deficient subjects, with and without the rs361525 polymorphism, were cultured in the presence or absence of lipopolysaccharide. Cell-free supernatants were analyzed by ELISA and real-time PCR performed using cDNA from extracted RNA. Baseline expression of TNF-α messenger RNA was no different between the groups. No difference in messenger RNA or secreted protein was observed over time in un-stimulated cells. TNF-α messenger RNA expression and protein was not higher in lipopolysaccharide-stimulated monocytes from subjects with the polymorphism compared to cells from patients with the wild-type allele.

Conclusions: This small pilot study did not provide an explanation for the findings of earlier observations of the association of the rs361525 polymorphism with TNF-α in airways secretions. Possible reasons for the lack of concordance include the study of blood rather than tissue cells, the use of a single stimulant rather than biological secretions and the need for far greater subject numbers to overcome intra-subject variation in monocyte TNF-α production.

Abstract Image

Abstract Image

Abstract Image

一项初步研究表明,rs361525多态性不会增加慢性阻塞性肺疾病患者α -1抗胰蛋白酶缺乏患者单核细胞肿瘤坏死因子α的产生。
背景:在一些病例对照研究中,TNF-A基因多态性与慢性阻塞性肺疾病(COPD)有关。先前的研究表明,具有rs361525 TNF-α单核苷酸多态性的α -1抗胰蛋白酶缺乏的COPD/慢性支气管炎患者的自发性痰中TNF-比疾病匹配的对照组高100倍。我们的目的是确定这种多态性的存在是否会增加COPD患者血液单核细胞TNF-α的产生。研究结果:来自18名COPD/ α -1抗胰蛋白酶缺乏受试者的单核细胞,不论有无rs361525多态性,均在存在或不存在脂多糖的情况下进行培养。用酶联免疫吸附法分析无细胞上清液,用提取RNA的cDNA进行实时荧光定量PCR。各组间TNF-α信使RNA的基线表达无差异。在未受刺激的细胞中,随着时间的推移,信使RNA或分泌蛋白没有观察到差异。与野生型等位基因患者的细胞相比,来自多态性受试者的脂多糖刺激单核细胞的TNF-α信使RNA表达和蛋白质并不更高。结论:这项小规模的初步研究并不能解释早期观察到的rs361525多态性与气道分泌物中TNF-α的关联。缺乏一致性的可能原因包括血液而不是组织细胞的研究,使用单一刺激物而不是生物分泌物,以及需要更多的受试者数量来克服单核细胞TNF-α产生的受试者内部差异。
本文章由计算机程序翻译,如有差异,请以英文原文为准。
求助全文
约1分钟内获得全文 求助全文
来源期刊
自引率
0.00%
发文量
0
×
引用
GB/T 7714-2015
复制
MLA
复制
APA
复制
导出至
BibTeX EndNote RefMan NoteFirst NoteExpress
×
提示
您的信息不完整,为了账户安全,请先补充。
现在去补充
×
提示
您因"违规操作"
具体请查看互助需知
我知道了
×
提示
确定
请完成安全验证×
copy
已复制链接
快去分享给好友吧!
我知道了
右上角分享
点击右上角分享
0
联系我们:info@booksci.cn Book学术提供免费学术资源搜索服务,方便国内外学者检索中英文文献。致力于提供最便捷和优质的服务体验。 Copyright © 2023 布克学术 All rights reserved.
京ICP备2023020795号-1
ghs 京公网安备 11010802042870号
Book学术文献互助
Book学术文献互助群
群 号:604180095
Book学术官方微信