Genomic assisted selection for enhancing line breeding: merging genomic and phenotypic selection in winter wheat breeding programs with preliminary yield trials.

Q2 Physics and Astronomy
Letters in High Energy Physics Pub Date : 2017-02-01 Epub Date: 2016-11-08 DOI:10.1007/s00122-016-2818-8
Sebastian Michel, Christian Ametz, Huseyin Gungor, Batuhan Akgöl, Doru Epure, Heinrich Grausgruber, Franziska Löschenberger, Hermann Buerstmayr
{"title":"Genomic assisted selection for enhancing line breeding: merging genomic and phenotypic selection in winter wheat breeding programs with preliminary yield trials.","authors":"Sebastian Michel, Christian Ametz, Huseyin Gungor, Batuhan Akgöl, Doru Epure, Heinrich Grausgruber, Franziska Löschenberger, Hermann Buerstmayr","doi":"10.1007/s00122-016-2818-8","DOIUrl":null,"url":null,"abstract":"<p><strong>Key message: </strong>Early generation genomic selection is superior to conventional phenotypic selection in line breeding and can be strongly improved by including additional information from preliminary yield trials. The selection of lines that enter resource-demanding multi-environment trials is a crucial decision in every line breeding program as a large amount of resources are allocated for thoroughly testing these potential varietal candidates. We compared conventional phenotypic selection with various genomic selection approaches across multiple years as well as the merit of integrating phenotypic information from preliminary yield trials into the genomic selection framework. The prediction accuracy using only phenotypic data was rather low (r = 0.21) for grain yield but could be improved by modeling genetic relationships in unreplicated preliminary yield trials (r = 0.33). Genomic selection models were nevertheless found to be superior to conventional phenotypic selection for predicting grain yield performance of lines across years (r = 0.39). We subsequently simplified the problem of predicting untested lines in untested years to predicting tested lines in untested years by combining breeding values from preliminary yield trials and predictions from genomic selection models by a heritability index. This genomic assisted selection led to a 20% increase in prediction accuracy, which could be further enhanced by an appropriate marker selection for both grain yield (r = 0.48) and protein content (r = 0.63). The easy to implement and robust genomic assisted selection gave thus a higher prediction accuracy than either conventional phenotypic or genomic selection alone. The proposed method took the complex inheritance of both low and high heritable traits into account and appears capable to support breeders in their selection decisions to develop enhanced varieties more efficiently.</p>","PeriodicalId":36085,"journal":{"name":"Letters in High Energy Physics","volume":"1 1","pages":"363-376"},"PeriodicalIF":0.0000,"publicationDate":"2017-02-01","publicationTypes":"Journal Article","fieldsOfStudy":null,"isOpenAccess":false,"openAccessPdf":"https://www.ncbi.nlm.nih.gov/pmc/articles/PMC5263211/pdf/","citationCount":"0","resultStr":null,"platform":"Semanticscholar","paperid":null,"PeriodicalName":"Letters in High Energy Physics","FirstCategoryId":"97","ListUrlMain":"https://doi.org/10.1007/s00122-016-2818-8","RegionNum":0,"RegionCategory":null,"ArticlePicture":[],"TitleCN":null,"AbstractTextCN":null,"PMCID":null,"EPubDate":"2016/11/8 0:00:00","PubModel":"Epub","JCR":"Q2","JCRName":"Physics and Astronomy","Score":null,"Total":0}
引用次数: 0

Abstract

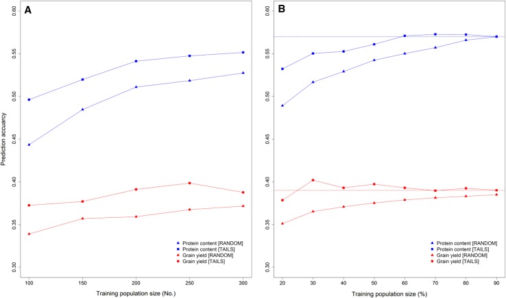
Key message: Early generation genomic selection is superior to conventional phenotypic selection in line breeding and can be strongly improved by including additional information from preliminary yield trials. The selection of lines that enter resource-demanding multi-environment trials is a crucial decision in every line breeding program as a large amount of resources are allocated for thoroughly testing these potential varietal candidates. We compared conventional phenotypic selection with various genomic selection approaches across multiple years as well as the merit of integrating phenotypic information from preliminary yield trials into the genomic selection framework. The prediction accuracy using only phenotypic data was rather low (r = 0.21) for grain yield but could be improved by modeling genetic relationships in unreplicated preliminary yield trials (r = 0.33). Genomic selection models were nevertheless found to be superior to conventional phenotypic selection for predicting grain yield performance of lines across years (r = 0.39). We subsequently simplified the problem of predicting untested lines in untested years to predicting tested lines in untested years by combining breeding values from preliminary yield trials and predictions from genomic selection models by a heritability index. This genomic assisted selection led to a 20% increase in prediction accuracy, which could be further enhanced by an appropriate marker selection for both grain yield (r = 0.48) and protein content (r = 0.63). The easy to implement and robust genomic assisted selection gave thus a higher prediction accuracy than either conventional phenotypic or genomic selection alone. The proposed method took the complex inheritance of both low and high heritable traits into account and appears capable to support breeders in their selection decisions to develop enhanced varieties more efficiently.

Abstract Image

Abstract Image

Abstract Image

基因组辅助选择促进品系培育:在冬小麦育种计划中将基因组和表型选择与初步产量试验相结合。
关键信息:在品系选育中,早期基因组选育优于传统的表型选育,并且可以通过纳入来自初步产量试验的额外信息得到有力改进。在每个品系育种项目中,选择进入资源需求量大的多环境试验的品系都是一个关键决策,因为要分配大量资源来彻底测试这些潜在的候选品种。我们比较了传统的表型选择和多年的各种基因组选择方法,以及将初步产量试验的表型信息整合到基因组选择框架中的优点。仅使用表型数据对谷物产量的预测准确率相当低(r = 0.21),但通过对未重复的初步产量试验中的遗传关系建模(r = 0.33),预测准确率有所提高。不过,在预测不同年份品系的谷物产量表现方面,基因组选择模型优于传统的表型选择模型(r = 0.39)。随后,我们通过遗传率指数将初步产量试验的育种值与基因组选择模型的预测值相结合,将预测未试验年份未试验品系的问题简化为预测未试验年份已试验品系的问题。这种基因组辅助选择使预测准确率提高了 20%,如果对谷物产量(r = 0.48)和蛋白质含量(r = 0.63)进行适当的标记选择,预测准确率还能进一步提高。因此,与传统的表型选择或基因组选择相比,易于实施且稳健的基因组辅助选择具有更高的预测准确性。所提出的方法考虑到了低遗传性状和高遗传性状的复杂遗传,似乎能够支持育种者的选择决策,从而更有效地培育出优良品种。
本文章由计算机程序翻译,如有差异,请以英文原文为准。
求助全文
约1分钟内获得全文 求助全文
来源期刊
Letters in High Energy Physics
Letters in High Energy Physics Physics and Astronomy-Nuclear and High Energy Physics
CiteScore
1.20
自引率
0.00%
发文量
4
审稿时长
12 weeks
×
引用
GB/T 7714-2015
复制
MLA
复制
APA
复制
导出至
BibTeX EndNote RefMan NoteFirst NoteExpress
×
提示
您的信息不完整,为了账户安全,请先补充。
现在去补充
×
提示
您因"违规操作"
具体请查看互助需知
我知道了
×
提示
确定
请完成安全验证×
copy
已复制链接
快去分享给好友吧!
我知道了
右上角分享
点击右上角分享
0
联系我们:info@booksci.cn Book学术提供免费学术资源搜索服务,方便国内外学者检索中英文文献。致力于提供最便捷和优质的服务体验。 Copyright © 2023 布克学术 All rights reserved.
京ICP备2023020795号-1
ghs 京公网安备 11010802042870号
Book学术文献互助
Book学术文献互助群
群 号:604180095
Book学术官方微信
小红书