Patisiran Pharmacokinetics, Pharmacodynamics, and Exposure-Response Analyses in the Phase 3 APOLLO Trial in Patients With Hereditary Transthyretin-Mediated (hATTR) Amyloidosis.

IF 2.3 4区 医学 Q3 PHARMACOLOGY & PHARMACY
Journal of clinical pharmacology Pub Date : 2020-01-01 Epub Date: 2019-07-19 DOI:10.1002/jcph.1480
Xiaoping Zhang, Varun Goel, Husain Attarwala, Marianne T Sweetser, Valerie A Clausen, Gabriel J Robbie
{"title":"Patisiran Pharmacokinetics, Pharmacodynamics, and Exposure-Response Analyses in the Phase 3 APOLLO Trial in Patients With Hereditary Transthyretin-Mediated (hATTR) Amyloidosis.","authors":"Xiaoping Zhang, Varun Goel, Husain Attarwala, Marianne T Sweetser, Valerie A Clausen, Gabriel J Robbie","doi":"10.1002/jcph.1480","DOIUrl":null,"url":null,"abstract":"<p><p>Hereditary transthyretin-mediated (hATTR) amyloidosis is an inherited, rapidly progressive, life-threatening disease caused by deposition of abnormal transthyretin protein. Patisiran is an RNA interference therapeutic comprising a novel, small interfering ribonucleic acid (ALN-18328) formulated in a lipid nanoparticle targeted to inhibit hepatic transthyretin protein synthesis. The lipid nanoparticle also contains 2 novel lipid excipients (DLin-MC3-DMA and PEG<sub>2000</sub> -C-DMG). Here we report patisiran pharmacokinetics (PK), pharmacodynamics (PD), and exposure-response analyses from the phase 3 APOLLO trial, in which patients with hATTR amyloidosis with polyneuropathy were randomized 2:1 to receive patisiran 0.3 mg/kg or placebo intravenously every 3 weeks over 18 months. In patisiran-treated patients, mean maximum reduction in serum transthyretin level from baseline was 87.8%. Patisiran PK exposure was stable following chronic dosing. There were no meaningful differences in PK exposure, serum transthyretin reduction, and efficacy (change from baseline in modified Neuropathy Impairment Score+7) across all subgroups analyzed (age, sex, race, body weight, genotype status of valine-to-methionine mutation at position 30 [V30M] and non-V30M, prior use of tetramer stabilizers, mild/moderate renal impairment, and mild hepatic impairment). transthyretin reduction and efficacy were similar across the interpatient PK exposure range for ALN-18328. There was no trend in the incidence of adverse events or serious adverse events across the interpatient PK exposure range for all 3 analytes. Incidence of antidrug antibodies was low (3.4%) and transient, with no impact on PK, PD, efficacy, or safety. The patisiran dosing regimen of 0.3 mg/kg every 3 weeks is appropriate for all patients with hATTR amyloidosis.</p>","PeriodicalId":15536,"journal":{"name":"Journal of clinical pharmacology","volume":"60 1","pages":"37-49"},"PeriodicalIF":2.3000,"publicationDate":"2020-01-01","publicationTypes":"Journal Article","fieldsOfStudy":null,"isOpenAccess":false,"openAccessPdf":"https://www.ncbi.nlm.nih.gov/pmc/articles/PMC6972979/pdf/","citationCount":"0","resultStr":null,"platform":"Semanticscholar","paperid":null,"PeriodicalName":"Journal of clinical pharmacology","FirstCategoryId":"3","ListUrlMain":"https://doi.org/10.1002/jcph.1480","RegionNum":4,"RegionCategory":"医学","ArticlePicture":[],"TitleCN":null,"AbstractTextCN":null,"PMCID":null,"EPubDate":"2019/7/19 0:00:00","PubModel":"Epub","JCR":"Q3","JCRName":"PHARMACOLOGY & PHARMACY","Score":null,"Total":0}
引用次数: 0

Abstract

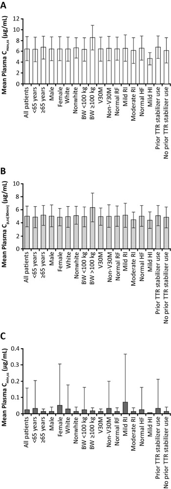
Hereditary transthyretin-mediated (hATTR) amyloidosis is an inherited, rapidly progressive, life-threatening disease caused by deposition of abnormal transthyretin protein. Patisiran is an RNA interference therapeutic comprising a novel, small interfering ribonucleic acid (ALN-18328) formulated in a lipid nanoparticle targeted to inhibit hepatic transthyretin protein synthesis. The lipid nanoparticle also contains 2 novel lipid excipients (DLin-MC3-DMA and PEG2000 -C-DMG). Here we report patisiran pharmacokinetics (PK), pharmacodynamics (PD), and exposure-response analyses from the phase 3 APOLLO trial, in which patients with hATTR amyloidosis with polyneuropathy were randomized 2:1 to receive patisiran 0.3 mg/kg or placebo intravenously every 3 weeks over 18 months. In patisiran-treated patients, mean maximum reduction in serum transthyretin level from baseline was 87.8%. Patisiran PK exposure was stable following chronic dosing. There were no meaningful differences in PK exposure, serum transthyretin reduction, and efficacy (change from baseline in modified Neuropathy Impairment Score+7) across all subgroups analyzed (age, sex, race, body weight, genotype status of valine-to-methionine mutation at position 30 [V30M] and non-V30M, prior use of tetramer stabilizers, mild/moderate renal impairment, and mild hepatic impairment). transthyretin reduction and efficacy were similar across the interpatient PK exposure range for ALN-18328. There was no trend in the incidence of adverse events or serious adverse events across the interpatient PK exposure range for all 3 analytes. Incidence of antidrug antibodies was low (3.4%) and transient, with no impact on PK, PD, efficacy, or safety. The patisiran dosing regimen of 0.3 mg/kg every 3 weeks is appropriate for all patients with hATTR amyloidosis.

Abstract Image

Abstract Image

Abstract Image

帕替西兰药代动力学、药效学和暴露-反应分析在遗传性转甲状腺素介导的 (hATTR) 淀粉样变性患者中的 3 期 APOLLO 试验中的应用。
遗传性转甲状腺素介导的(hATTR)淀粉样变性病是一种由异常转甲状腺素蛋白沉积引起的遗传性、快速进展性、危及生命的疾病。Patisiran 是一种 RNA 干扰疗法,由一种新型小干扰核糖核酸(ALN-18328)组成,配制在脂质纳米粒子中,靶向抑制肝脏转hyretin 蛋白的合成。该脂质纳米粒还含有两种新型脂质辅料(DLin-MC3-DMA 和 PEG2000 -C-DMG)。我们在此报告了帕替西兰的药代动力学(PK)、药效学(PD)和暴露-反应分析,这些分析来自 3 期 APOLLO 试验,其中 hATTR 淀粉样变性伴多发性神经病患者按 2:1 随机分配,在 18 个月内每 3 周静脉注射一次帕替西兰 0.3 mg/kg 或安慰剂。在帕替西兰治疗的患者中,血清转甲状腺素水平与基线相比的平均最大降幅为87.8%。长期用药后,帕替西兰的 PK 暴露稳定。在分析的所有亚组(年龄、性别、种族、体重、第 30 位缬氨酸-蛋氨酸突变 [V30M] 和非 V30M 的基因型状态、曾使用四聚体稳定剂、轻度/中度肾功能损害和轻度肝功能损害)中,PK 暴露、血清转甲状腺素降低率和疗效(改良神经病变损害评分+7 与基线相比的变化)均无明显差异。在患者间的 PK 暴露范围内,ALN-18328 的转甲状腺素降低率和疗效相似。在所有 3 种分析物的患者间 PK 暴露范围内,不良事件或严重不良事件的发生率没有变化趋势。抗药抗体的发生率较低(3.4%),而且是一过性的,对 PK、PD、疗效或安全性没有影响。帕替西兰的给药方案为每3周0.3毫克/千克,适合所有hATTR淀粉样变性患者。
本文章由计算机程序翻译,如有差异,请以英文原文为准。
求助全文
约1分钟内获得全文 求助全文
来源期刊
CiteScore
5.10
自引率
3.40%
发文量
176
审稿时长
2 months
期刊介绍: The Journal of Clinical Pharmacology (JCP) is a Human Pharmacology journal designed to provide physicians, pharmacists, research scientists, regulatory scientists, drug developers and academic colleagues a forum to present research in all aspects of Clinical Pharmacology. This includes original research in pharmacokinetics, pharmacogenetics/pharmacogenomics, pharmacometrics, physiologic based pharmacokinetic modeling, drug interactions, therapeutic drug monitoring, regulatory sciences (including unique methods of data analysis), special population studies, drug development, pharmacovigilance, womens’ health, pediatric pharmacology, and pharmacodynamics. Additionally, JCP publishes review articles, commentaries and educational manuscripts. The Journal also serves as an instrument to disseminate Public Policy statements from the American College of Clinical Pharmacology.
×
引用
GB/T 7714-2015
复制
MLA
复制
APA
复制
导出至
BibTeX EndNote RefMan NoteFirst NoteExpress
×
提示
您的信息不完整,为了账户安全,请先补充。
现在去补充
×
提示
您因"违规操作"
具体请查看互助需知
我知道了
×
提示
确定
请完成安全验证×
copy
已复制链接
快去分享给好友吧!
我知道了
右上角分享
点击右上角分享
0
联系我们:info@booksci.cn Book学术提供免费学术资源搜索服务,方便国内外学者检索中英文文献。致力于提供最便捷和优质的服务体验。 Copyright © 2023 布克学术 All rights reserved.
京ICP备2023020795号-1
ghs 京公网安备 11010802042870号
Book学术文献互助
Book学术文献互助群
群 号:604180095
Book学术官方微信