PCSK9 Inhibitor Use and Outcomes Using Concomitant Lipid-Lowering Therapies in the Veterans Health Administration.

American journal of medicine open Pub Date : 2023-02-18 eCollection Date: 2023-06-01 DOI:10.1016/j.ajmo.2023.100035
Jessica Eloso, Asma Awad, Xinhua Zhao, Francesca E Cunningham, Rongping Zhang, Diane Dong, Cathy Kelley, Peter A Glassman, Sherrie L Aspinall
{"title":"PCSK9 Inhibitor Use and Outcomes Using Concomitant Lipid-Lowering Therapies in the Veterans Health Administration.","authors":"Jessica Eloso, Asma Awad, Xinhua Zhao, Francesca E Cunningham, Rongping Zhang, Diane Dong, Cathy Kelley, Peter A Glassman, Sherrie L Aspinall","doi":"10.1016/j.ajmo.2023.100035","DOIUrl":null,"url":null,"abstract":"<p><strong>Background: </strong>Real-world data on use of PCSK9 inhibitors (PCSK9-Is), with or without statins and/or ezetimibe, and associated outcomes, can inform more effective prescribing. The objective was to evaluate clinical effectiveness and safety of PCSK9-Is within the Veterans Health Administration (VHA).</p><p><strong>Methods: </strong>In this retrospective cohort study, we included Veterans who had at least one outpatient prescription for alirocumab and/or evolocumab filled within VHA between August 21, 2015, and September 30, 2020. Analyses included 4 mutually exclusive subgroups: PCSK9-I alone, PCSK9-I+statin, PCSK9-I+ezetimibe, and PCSK9-I+statin+ezetimibe subgroups. Primary outcomes included medication possession ratio, persistence, and low-density lipoprotein (LDL).</p><p><strong>Results: </strong>Among Veterans in the analytical cohort (<i>n</i> = 2428), 36.2% were on PCSK9-I monotherapy; 24.0% received a PCSK9-I+statin; 27.4% were on a PCSK9-I+ezetimibe; and 12.4% received triple therapy, that is, PCSK9-I+statin+ezetimibe. The mean medication possession ratio (standard deviation [SD]) for PCSK9-I monotherapy was 83.8% (13.3) compared to 84.3% (11.2) with PCSK9-I+statin therapy, 87.1% (10.1) with PCSK9-I+ezetimibe therapy, and 85.8% (11.7) with triple therapy. The percentage of patients who discontinued PCSK9-I in the monotherapy subgroup was 12.3% vs 9.5%, 6.6%, and 7.4% in the concomitant statin, ezetimibe, and triple-therapy subgroups, respectively (<i>p</i> = .002 among the groups). Mean LDL level was greater in the PCSK9-I monotherapy subgroup (85.6 mg/dL) compared with the concomitant statin (66.5 mg/dL), ezetimibe (65.7 mg/dL), and triple-therapy subgroups (68.1 mg/dL).</p><p><strong>Conclusions: </strong>Veterans showed good adherence and/or persistence with PCSK9-I regimens. On average, those receiving concomitant therapy with a statin and/or ezetimibe achieved significantly lower LDL levels.</p>","PeriodicalId":72168,"journal":{"name":"American journal of medicine open","volume":" ","pages":"100035"},"PeriodicalIF":0.0000,"publicationDate":"2023-02-18","publicationTypes":"Journal Article","fieldsOfStudy":null,"isOpenAccess":false,"openAccessPdf":"https://www.ncbi.nlm.nih.gov/pmc/articles/PMC11256282/pdf/","citationCount":"0","resultStr":null,"platform":"Semanticscholar","paperid":null,"PeriodicalName":"American journal of medicine open","FirstCategoryId":"1085","ListUrlMain":"https://doi.org/10.1016/j.ajmo.2023.100035","RegionNum":0,"RegionCategory":null,"ArticlePicture":[],"TitleCN":null,"AbstractTextCN":null,"PMCID":null,"EPubDate":"2023/6/1 0:00:00","PubModel":"eCollection","JCR":"","JCRName":"","Score":null,"Total":0}
引用次数: 0

Abstract

Background: Real-world data on use of PCSK9 inhibitors (PCSK9-Is), with or without statins and/or ezetimibe, and associated outcomes, can inform more effective prescribing. The objective was to evaluate clinical effectiveness and safety of PCSK9-Is within the Veterans Health Administration (VHA).

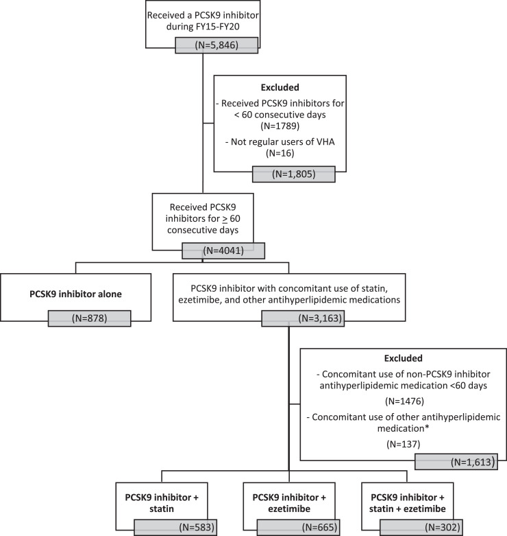
Methods: In this retrospective cohort study, we included Veterans who had at least one outpatient prescription for alirocumab and/or evolocumab filled within VHA between August 21, 2015, and September 30, 2020. Analyses included 4 mutually exclusive subgroups: PCSK9-I alone, PCSK9-I+statin, PCSK9-I+ezetimibe, and PCSK9-I+statin+ezetimibe subgroups. Primary outcomes included medication possession ratio, persistence, and low-density lipoprotein (LDL).

Results: Among Veterans in the analytical cohort (n = 2428), 36.2% were on PCSK9-I monotherapy; 24.0% received a PCSK9-I+statin; 27.4% were on a PCSK9-I+ezetimibe; and 12.4% received triple therapy, that is, PCSK9-I+statin+ezetimibe. The mean medication possession ratio (standard deviation [SD]) for PCSK9-I monotherapy was 83.8% (13.3) compared to 84.3% (11.2) with PCSK9-I+statin therapy, 87.1% (10.1) with PCSK9-I+ezetimibe therapy, and 85.8% (11.7) with triple therapy. The percentage of patients who discontinued PCSK9-I in the monotherapy subgroup was 12.3% vs 9.5%, 6.6%, and 7.4% in the concomitant statin, ezetimibe, and triple-therapy subgroups, respectively (p = .002 among the groups). Mean LDL level was greater in the PCSK9-I monotherapy subgroup (85.6 mg/dL) compared with the concomitant statin (66.5 mg/dL), ezetimibe (65.7 mg/dL), and triple-therapy subgroups (68.1 mg/dL).

Conclusions: Veterans showed good adherence and/or persistence with PCSK9-I regimens. On average, those receiving concomitant therapy with a statin and/or ezetimibe achieved significantly lower LDL levels.

Abstract Image

Abstract Image

退伍军人健康管理局PCSK9抑制剂的使用和伴随降脂治疗的结果
背景:有关 PCSK9 抑制剂(PCSK9-Is)与他汀类药物和/或依折麦布的使用情况及相关结果的真实世界数据可为更有效地开具处方提供依据。目的是评估退伍军人健康管理局(VHA)中 PCSK9-Is 的临床有效性和安全性:在这项回顾性队列研究中,我们纳入了在 2015 年 8 月 21 日至 2020 年 9 月 30 日期间在退伍军人健康管理局(VHA)内至少开具过一次阿利珠单抗和/或 evolocumab 门诊处方的退伍军人。分析包括 4 个相互排斥的亚组:单用 PCSK9-I、PCSK9-I+司他汀、PCSK9-I+依泽替米贝和 PCSK9-I+ 司他汀+依泽替米贝亚组。主要结果包括药物占有率、持续率和低密度脂蛋白(LDL):在分析队列中的退伍军人(n = 2428)中,36.2%接受PCSK9-I单药治疗;24.0%接受PCSK9-I+司他汀;27.4%接受PCSK9-I+依泽替米布;12.4%接受三联疗法,即PCSK9-I+司他汀+依泽替米布。PCSK9-I单一疗法的平均药物持有率(标准差[SD])为83.8%(13.3),而PCSK9-I+他汀疗法为84.3%(11.2),PCSK9-I+依泽替米贝疗法为87.1%(10.1),三联疗法为85.8%(11.7)。单药治疗亚组中停用 PCSK9-I 的患者比例为 12.3%,而他汀类药物、依泽替米贝和三联疗法同时使用亚组中停用 PCSK9-I 的患者比例分别为 9.5%、6.6% 和 7.4%(各组间 p = 0.002)。PCSK9-I单药治疗亚组的平均低密度脂蛋白水平(85.6 mg/dL)高于同时服用他汀类药物亚组(66.5 mg/dL)、依折麦布亚组(65.7 mg/dL)和三联疗法亚组(68.1 mg/dL):退伍军人对 PCSK9-I 治疗方案的依从性和/或持久性良好。平均而言,同时接受他汀类药物和/或依折麦布治疗的退伍军人的低密度脂蛋白水平明显降低。
本文章由计算机程序翻译,如有差异,请以英文原文为准。
求助全文
约1分钟内获得全文 求助全文
来源期刊
American journal of medicine open
American journal of medicine open Medicine and Dentistry (General)
自引率
0.00%
发文量
0
审稿时长
47 days
×
引用
GB/T 7714-2015
复制
MLA
复制
APA
复制
导出至
BibTeX EndNote RefMan NoteFirst NoteExpress
×
提示
您的信息不完整,为了账户安全,请先补充。
现在去补充
×
提示
您因"违规操作"
具体请查看互助需知
我知道了
×
提示
确定
请完成安全验证×
copy
已复制链接
快去分享给好友吧!
我知道了
右上角分享
点击右上角分享
0
联系我们:info@booksci.cn Book学术提供免费学术资源搜索服务,方便国内外学者检索中英文文献。致力于提供最便捷和优质的服务体验。 Copyright © 2023 布克学术 All rights reserved.
京ICP备2023020795号-1
ghs 京公网安备 11010802042870号
Book学术文献互助
Book学术文献互助群
群 号:604180095
Book学术官方微信