Association between lithium use and the incidence of dementia and its subtypes: A retrospective cohort study.

IF 9.9 1区 医学 Q1 MEDICINE, GENERAL & INTERNAL
PLoS Medicine Pub Date : 2022-03-17 eCollection Date: 2022-03-01 DOI:10.1371/journal.pmed.1003941
Shanquan Chen, Benjamin R Underwood, Peter B Jones, Jonathan R Lewis, Rudolf N Cardinal
{"title":"Association between lithium use and the incidence of dementia and its subtypes: A retrospective cohort study.","authors":"Shanquan Chen, Benjamin R Underwood, Peter B Jones, Jonathan R Lewis, Rudolf N Cardinal","doi":"10.1371/journal.pmed.1003941","DOIUrl":null,"url":null,"abstract":"<p><strong>Background: </strong>Dementia is the leading cause of death in elderly Western populations. Preventative interventions that could delay dementia onset even modestly would provide a major public health impact. There are no disease-modifying treatments currently available. Lithium has been proposed as a potential treatment. We assessed the association between lithium use and the incidence of dementia and its subtypes.</p><p><strong>Methods and findings: </strong>We conducted a retrospective cohort study comparing patients treated between January 1, 2005 and December 31, 2019, using data from electronic clinical records of secondary care mental health (MH) services in Cambridgeshire and Peterborough NHS Foundation Trust (CPFT), United Kingdom (catchment area population approximately 0.86 million). Eligible patients were those aged 50 years or over at baseline and who had at least 1 year follow-up, excluding patients with a diagnosis of mild cognitive impairment (MCI) or dementia before, or less than 1 year after, their start date. The intervention was the use of lithium. The main outcomes were dementia and its subtypes, diagnosed and classified according to the International Classification of Diseases-10th Revision (ICD-10). In this cohort, 29,618 patients (of whom 548 were exposed to lithium) were included. Their mean age was 73.9 years. A total of 40.2% were male, 33.3% were married or in a civil partnership, and 71.0% were of white ethnicity. Lithium-exposed patients were more likely to be married, cohabiting or in a civil partnership, to be a current/former smoker, to have used antipsychotics, and to have comorbid depression, mania/bipolar affective disorder (BPAD), hypertension, central vascular disease, diabetes mellitus, or hyperlipidemias. No significant difference between the 2 groups was observed for other characteristics, including age, sex, and alcohol-related disorders. In the exposed cohort, 53 (9.7%) patients were diagnosed with dementia, including 36 (6.8%) with Alzheimer disease (AD) and 13 (2.6%) with vascular dementia (VD). In the unexposed cohort, corresponding numbers were the following: dementia 3,244 (11.2%), AD 2,276 (8.1%), and VD 698 (2.6%). After controlling for sociodemographic factors, smoking status, other medications, other mental comorbidities, and physical comorbidities, lithium use was associated with a lower risk of dementia (hazard ratio [HR] 0.56, 95% confidence interval [CI] 0.40 to 0.78), including AD (HR 0.55, 95% CI 0.37 to 0.82) and VD (HR 0.36, 95% CI 0.19 to 0.69). Lithium appeared protective in short-term (≤1-year exposure) and long-term lithium users (>5-year exposure); a lack of difference for intermediate durations was likely due to lack of power, but there was some evidence for additional benefit with longer exposure durations. The main limitation was the handling of BPAD, the most common reason for lithium prescription but also a risk factor for dementia. This potential confounder would most likely cause an increase in dementia in the exposed group, whereas we found the opposite, and the sensitivity analysis confirmed the primary results. However, the specific nature of the group of patients exposed to lithium means that caution is needed in extending these findings to the general population. Another limitation is that our sample size of patients using lithium was small, reflected in the wide CIs for results relating to some durations of lithium exposure, although again sensitivity analyses remained consistent with our primary findings.</p><p><strong>Conclusions: </strong>We observed an association between lithium use and a decreased risk of developing dementia. This lends further support to the idea that lithium may be a disease-modifying treatment for dementia and that this is a promising treatment to take forwards to larger randomised controlled trials (RCTs) for this indication.</p>","PeriodicalId":20368,"journal":{"name":"PLoS Medicine","volume":" ","pages":"e1003941"},"PeriodicalIF":9.9000,"publicationDate":"2022-03-17","publicationTypes":"Journal Article","fieldsOfStudy":null,"isOpenAccess":false,"openAccessPdf":"https://www.ncbi.nlm.nih.gov/pmc/articles/PMC8929585/pdf/","citationCount":"0","resultStr":null,"platform":"Semanticscholar","paperid":null,"PeriodicalName":"PLoS Medicine","FirstCategoryId":"3","ListUrlMain":"https://doi.org/10.1371/journal.pmed.1003941","RegionNum":1,"RegionCategory":"医学","ArticlePicture":[],"TitleCN":null,"AbstractTextCN":null,"PMCID":null,"EPubDate":"2022/3/1 0:00:00","PubModel":"eCollection","JCR":"Q1","JCRName":"MEDICINE, GENERAL & INTERNAL","Score":null,"Total":0}
引用次数: 0

Abstract

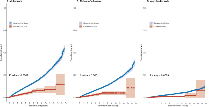
Background: Dementia is the leading cause of death in elderly Western populations. Preventative interventions that could delay dementia onset even modestly would provide a major public health impact. There are no disease-modifying treatments currently available. Lithium has been proposed as a potential treatment. We assessed the association between lithium use and the incidence of dementia and its subtypes.

Methods and findings: We conducted a retrospective cohort study comparing patients treated between January 1, 2005 and December 31, 2019, using data from electronic clinical records of secondary care mental health (MH) services in Cambridgeshire and Peterborough NHS Foundation Trust (CPFT), United Kingdom (catchment area population approximately 0.86 million). Eligible patients were those aged 50 years or over at baseline and who had at least 1 year follow-up, excluding patients with a diagnosis of mild cognitive impairment (MCI) or dementia before, or less than 1 year after, their start date. The intervention was the use of lithium. The main outcomes were dementia and its subtypes, diagnosed and classified according to the International Classification of Diseases-10th Revision (ICD-10). In this cohort, 29,618 patients (of whom 548 were exposed to lithium) were included. Their mean age was 73.9 years. A total of 40.2% were male, 33.3% were married or in a civil partnership, and 71.0% were of white ethnicity. Lithium-exposed patients were more likely to be married, cohabiting or in a civil partnership, to be a current/former smoker, to have used antipsychotics, and to have comorbid depression, mania/bipolar affective disorder (BPAD), hypertension, central vascular disease, diabetes mellitus, or hyperlipidemias. No significant difference between the 2 groups was observed for other characteristics, including age, sex, and alcohol-related disorders. In the exposed cohort, 53 (9.7%) patients were diagnosed with dementia, including 36 (6.8%) with Alzheimer disease (AD) and 13 (2.6%) with vascular dementia (VD). In the unexposed cohort, corresponding numbers were the following: dementia 3,244 (11.2%), AD 2,276 (8.1%), and VD 698 (2.6%). After controlling for sociodemographic factors, smoking status, other medications, other mental comorbidities, and physical comorbidities, lithium use was associated with a lower risk of dementia (hazard ratio [HR] 0.56, 95% confidence interval [CI] 0.40 to 0.78), including AD (HR 0.55, 95% CI 0.37 to 0.82) and VD (HR 0.36, 95% CI 0.19 to 0.69). Lithium appeared protective in short-term (≤1-year exposure) and long-term lithium users (>5-year exposure); a lack of difference for intermediate durations was likely due to lack of power, but there was some evidence for additional benefit with longer exposure durations. The main limitation was the handling of BPAD, the most common reason for lithium prescription but also a risk factor for dementia. This potential confounder would most likely cause an increase in dementia in the exposed group, whereas we found the opposite, and the sensitivity analysis confirmed the primary results. However, the specific nature of the group of patients exposed to lithium means that caution is needed in extending these findings to the general population. Another limitation is that our sample size of patients using lithium was small, reflected in the wide CIs for results relating to some durations of lithium exposure, although again sensitivity analyses remained consistent with our primary findings.

Conclusions: We observed an association between lithium use and a decreased risk of developing dementia. This lends further support to the idea that lithium may be a disease-modifying treatment for dementia and that this is a promising treatment to take forwards to larger randomised controlled trials (RCTs) for this indication.

Abstract Image

Abstract Image

Abstract Image

锂的使用与痴呆症及其亚型发病率的相关性:一项回顾性队列研究
背景痴呆症是西方老年人死亡的主要原因。即使适度延迟痴呆症发作的预防性干预措施也会对公共健康产生重大影响。目前还没有改变疾病的治疗方法。锂已被提议作为一种潜在的治疗方法。我们评估了锂的使用与痴呆症及其亚型的发病率之间的关系。方法和发现我们进行了一项回顾性队列研究,比较了2005年1月1日至2019年12月31日期间接受治疗的患者,使用了剑桥郡和英国彼得伯勒NHS基金会信托基金会(CPFT)二级护理心理健康(MH)服务的电子临床记录数据(集水区人口约86万)。符合条件的患者是基线时年龄在50岁或50岁以上且至少随访1年的患者,不包括在开始日期之前或之后不到1年被诊断为轻度认知障碍(MCI)或痴呆的患者。干预措施是使用锂。主要结果是痴呆症及其亚型,根据国际疾病分类第10次修订版(ICD-10)进行诊断和分类。在这一队列中,包括29618名患者(其中548人接触过锂)。平均年龄73.9岁。共有40.2%为男性,33.3%为已婚或民事伴侣关系,71.0%为白人。接触锂的患者更有可能是已婚、同居或民事伴侣关系,现在/以前吸烟,使用过抗精神病药物,并患有抑郁症、躁狂/双相情感障碍(BPAD)、高血压、中枢血管疾病、糖尿病或高脂血症。在其他特征方面,包括年龄、性别和酒精相关疾病,两组之间没有观察到显著差异。在暴露队列中,53名(9.7%)患者被诊断为痴呆症,其中36名(6.8%)患有阿尔茨海默病(AD),13名(2.6%)患有血管性痴呆(VD)。在未暴露的队列中,相应的数字如下:痴呆3244(11.2%)、AD 2276(8.1%)和VD 698(2.6%)。在控制了社会人口因素、吸烟状况、其他药物、其他精神合并症和身体合并症后,锂的使用与较低的痴呆风险相关(危险比[HR]0.56,95%置信区间[CI]0.40-0.78),包括AD(HR0.55,95%CI0.37-0.82)和VD(HR0.36,95%CI0.19-0.69)。锂在短期(≤1年暴露)和长期锂使用者(>5年暴露)中具有保护作用;中间持续时间没有差异可能是由于缺乏动力,但有一些证据表明,更长的暴露时间会带来额外的好处。主要限制是对BPAD的处理,这是锂处方最常见的原因,也是痴呆症的风险因素。这种潜在的混杂因素很可能会导致暴露组痴呆症的增加,而我们发现恰恰相反,敏感性分析证实了主要结果。然而,暴露于锂的患者群体的特殊性质意味着,在将这些发现推广到普通人群时需要谨慎。另一个限制是,我们对使用锂的患者的样本量很小,这反映在与锂暴露的某些持续时间相关的结果的宽CI中,尽管敏感性分析再次与我们的主要发现保持一致。结论我们观察到锂的使用与患痴呆症的风险降低之间存在关联。这进一步支持了这样一种观点,即锂可能是痴呆症的一种疾病改良治疗方法,并且这是一种很有前途的治疗方法,可以推进针对该适应症的更大规模随机对照试验(RCT)。
本文章由计算机程序翻译,如有差异,请以英文原文为准。
求助全文
约1分钟内获得全文 求助全文
来源期刊
PLoS Medicine
PLoS Medicine 医学-医学:内科
CiteScore
21.60
自引率
0.60%
发文量
227
审稿时长
3 months
期刊介绍: PLOS Medicine aims to be a leading platform for research and analysis on the global health challenges faced by humanity. The journal covers a wide range of topics, including biomedicine, the environment, society, and politics, that affect the well-being of individuals worldwide. It particularly highlights studies that contribute to clinical practice, health policy, or our understanding of disease mechanisms, with the ultimate goal of improving health outcomes in diverse settings. Unwavering in its commitment to ethical standards, PLOS Medicine ensures integrity in medical publishing. This includes actively managing and transparently disclosing any conflicts of interest during the reporting, peer review, and publication processes. The journal promotes transparency by providing visibility into the review and publication procedures. It also encourages data sharing and the reuse of published work. Author rights are upheld, allowing them to retain copyright. Furthermore, PLOS Medicine strongly supports Open Access publishing, making research articles freely available to all without restrictions, facilitating widespread dissemination of knowledge. The journal does not endorse drug or medical device advertising and refrains from exclusive sales of reprints to avoid conflicts of interest.
×
引用
GB/T 7714-2015
复制
MLA
复制
APA
复制
导出至
BibTeX EndNote RefMan NoteFirst NoteExpress
×
提示
您的信息不完整,为了账户安全,请先补充。
现在去补充
×
提示
您因"违规操作"
具体请查看互助需知
我知道了
×
提示
确定
请完成安全验证×
copy
已复制链接
快去分享给好友吧!
我知道了
右上角分享
点击右上角分享
0
联系我们:info@booksci.cn Book学术提供免费学术资源搜索服务,方便国内外学者检索中英文文献。致力于提供最便捷和优质的服务体验。 Copyright © 2023 布克学术 All rights reserved.
京ICP备2023020795号-1
ghs 京公网安备 11010802042870号
Book学术文献互助
Book学术文献互助群
群 号:604180095
Book学术官方微信