Reducing Crowding in Emergency Departments With Early Prediction of Hospital Admission of Adult Patients Using Biomarkers Collected at Triage: Retrospective Cohort Study.

Ann Corneille Monahan, Sue S Feldman, Tony P Fitzgerald
{"title":"Reducing Crowding in Emergency Departments With Early Prediction of Hospital Admission of Adult Patients Using Biomarkers Collected at Triage: Retrospective Cohort Study.","authors":"Ann Corneille Monahan, Sue S Feldman, Tony P Fitzgerald","doi":"10.2196/38845","DOIUrl":null,"url":null,"abstract":"<p><strong>Background: </strong>Emergency department crowding continues to threaten patient safety and cause poor patient outcomes. Prior models designed to predict hospital admission have had biases. Predictive models that successfully estimate the probability of patient hospital admission would be useful in reducing or preventing emergency department \"boarding\" and hospital \"exit block\" and would reduce emergency department crowding by initiating earlier hospital admission and avoiding protracted bed procurement processes.</p><p><strong>Objective: </strong>To develop a model to predict imminent adult patient hospital admission from the emergency department early in the patient visit by utilizing existing clinical descriptors (ie, patient biomarkers) that are routinely collected at triage and captured in the hospital's electronic medical records. Biomarkers are advantageous for modeling due to their early and routine collection at triage; instantaneous availability; standardized definition, measurement, and interpretation; and their freedom from the confines of patient histories (ie, they are not affected by inaccurate patient reports on medical history, unavailable reports, or delayed report retrieval).</p><p><strong>Methods: </strong>This retrospective cohort study evaluated 1 year of consecutive data events among adult patients admitted to the emergency department and developed an algorithm that predicted which patients would require imminent hospital admission. Eight predictor variables were evaluated for their roles in the outcome of the patient emergency department visit. Logistic regression was used to model the study data.</p><p><strong>Results: </strong>The 8-predictor model included the following biomarkers: age, systolic blood pressure, diastolic blood pressure, heart rate, respiration rate, temperature, gender, and acuity level. The model used these biomarkers to identify emergency department patients who required hospital admission. Our model performed well, with good agreement between observed and predicted admissions, indicating a well-fitting and well-calibrated model that showed good ability to discriminate between patients who would and would not be admitted.</p><p><strong>Conclusions: </strong>This prediction model based on primary data identified emergency department patients with an increased risk of hospital admission. This actionable information can be used to improve patient care and hospital operations, especially by reducing emergency department crowding by looking ahead to predict which patients are likely to be admitted following triage, thereby providing needed information to initiate the complex admission and bed assignment processes much earlier in the care continuum.</p>","PeriodicalId":73552,"journal":{"name":"JMIR bioinformatics and biotechnology","volume":" ","pages":"e38845"},"PeriodicalIF":0.0000,"publicationDate":"2022-09-13","publicationTypes":"Journal Article","fieldsOfStudy":null,"isOpenAccess":false,"openAccessPdf":"https://www.ncbi.nlm.nih.gov/pmc/articles/PMC11135233/pdf/","citationCount":"0","resultStr":null,"platform":"Semanticscholar","paperid":null,"PeriodicalName":"JMIR bioinformatics and biotechnology","FirstCategoryId":"1085","ListUrlMain":"https://doi.org/10.2196/38845","RegionNum":0,"RegionCategory":null,"ArticlePicture":[],"TitleCN":null,"AbstractTextCN":null,"PMCID":null,"EPubDate":"","PubModel":"","JCR":"","JCRName":"","Score":null,"Total":0}
引用次数: 0

Abstract

Background: Emergency department crowding continues to threaten patient safety and cause poor patient outcomes. Prior models designed to predict hospital admission have had biases. Predictive models that successfully estimate the probability of patient hospital admission would be useful in reducing or preventing emergency department "boarding" and hospital "exit block" and would reduce emergency department crowding by initiating earlier hospital admission and avoiding protracted bed procurement processes.

Objective: To develop a model to predict imminent adult patient hospital admission from the emergency department early in the patient visit by utilizing existing clinical descriptors (ie, patient biomarkers) that are routinely collected at triage and captured in the hospital's electronic medical records. Biomarkers are advantageous for modeling due to their early and routine collection at triage; instantaneous availability; standardized definition, measurement, and interpretation; and their freedom from the confines of patient histories (ie, they are not affected by inaccurate patient reports on medical history, unavailable reports, or delayed report retrieval).

Methods: This retrospective cohort study evaluated 1 year of consecutive data events among adult patients admitted to the emergency department and developed an algorithm that predicted which patients would require imminent hospital admission. Eight predictor variables were evaluated for their roles in the outcome of the patient emergency department visit. Logistic regression was used to model the study data.

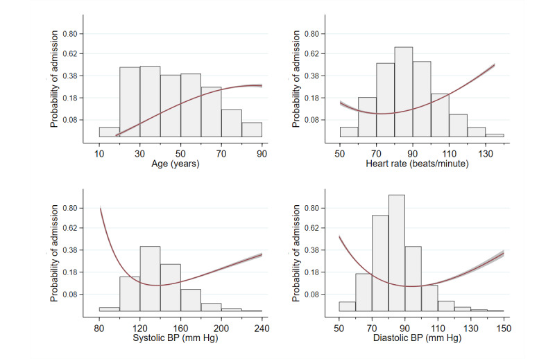
Results: The 8-predictor model included the following biomarkers: age, systolic blood pressure, diastolic blood pressure, heart rate, respiration rate, temperature, gender, and acuity level. The model used these biomarkers to identify emergency department patients who required hospital admission. Our model performed well, with good agreement between observed and predicted admissions, indicating a well-fitting and well-calibrated model that showed good ability to discriminate between patients who would and would not be admitted.

Conclusions: This prediction model based on primary data identified emergency department patients with an increased risk of hospital admission. This actionable information can be used to improve patient care and hospital operations, especially by reducing emergency department crowding by looking ahead to predict which patients are likely to be admitted following triage, thereby providing needed information to initiate the complex admission and bed assignment processes much earlier in the care continuum.

Abstract Image

Abstract Image

Abstract Image

利用分诊时收集的生物标志物早期预测成年急诊科患者入院:减少美国急诊科拥挤的模型开发(预印本)
背景:急诊科的拥挤状况继续威胁着患者的安全,并导致不良的患者预后。先前设计的入院预测模型存在偏差。成功估算出患者入院概率的预测模型将有助于减少或防止急诊科 "住院 "和医院 "出院阻塞",并通过提前入院和避免漫长的床位采购过程来减少急诊科拥挤现象:目的:利用现有的临床描述指标(即患者生物标志物),开发一种模型,预测急诊科成人患者在就诊初期即将入院的情况,这些临床描述指标在分诊时已常规收集并记录在医院的电子病历中。生物标志物在建模方面具有以下优势:分诊时的早期常规收集;即时可用性;标准化定义、测量和解释;不受患者病史的限制(即不受患者病史报告不准确、报告不可用或报告检索延迟的影响):这项回顾性队列研究评估了急诊科收治的成年患者一年来的连续数据事件,并开发了一种算法来预测哪些患者需要立即入院治疗。研究评估了八个预测变量在急诊科患者就诊结果中的作用。研究数据采用了逻辑回归模型:8 个预测模型包括以下生物标志物:年龄、收缩压、舒张压、心率、呼吸频率、体温、性别和严重程度。该模型利用这些生物标志物来识别需要入院的急诊科患者。我们的模型表现良好,观察到的入院人数与预测的入院人数之间有很好的一致性,这表明我们的模型拟合良好、校准准确,能够很好地区分需要入院和不需要入院的患者:结论:这一基于原始数据的预测模型可识别出入院风险较高的急诊科患者。这种可操作的信息可用于改善患者护理和医院运营,尤其是通过提前预测哪些患者可能在分诊后入院,从而减少急诊科的拥挤情况,从而为在护理过程中更早地启动复杂的入院和床位分配流程提供所需的信息。
本文章由计算机程序翻译,如有差异,请以英文原文为准。
求助全文
约1分钟内获得全文 求助全文
来源期刊
CiteScore
2.90
自引率
0.00%
发文量
0
×
引用
GB/T 7714-2015
复制
MLA
复制
APA
复制
导出至
BibTeX EndNote RefMan NoteFirst NoteExpress
×
提示
您的信息不完整,为了账户安全,请先补充。
现在去补充
×
提示
您因"违规操作"
具体请查看互助需知
我知道了
×
提示
确定
请完成安全验证×
copy
已复制链接
快去分享给好友吧!
我知道了
右上角分享
点击右上角分享
0
联系我们:info@booksci.cn Book学术提供免费学术资源搜索服务,方便国内外学者检索中英文文献。致力于提供最便捷和优质的服务体验。 Copyright © 2023 布克学术 All rights reserved.
京ICP备2023020795号-1
ghs 京公网安备 11010802042870号
Book学术文献互助
Book学术文献互助群
群 号:604180095
Book学术官方微信