Implications of drug-induced phenotypical resistance: Is isoniazid radicalizing M. tuberculosis?

Frontiers in antibiotics Pub Date : 2022-09-09 eCollection Date: 2022-01-01 DOI:10.3389/frabi.2022.928365
Rjh Hammond, Frank Kloprogge, O Della Pasqua, Stephen H Gillespie
{"title":"Implications of drug-induced phenotypical resistance: Is isoniazid radicalizing <i>M. tuberculosis</i>?","authors":"Rjh Hammond, Frank Kloprogge, O Della Pasqua, Stephen H Gillespie","doi":"10.3389/frabi.2022.928365","DOIUrl":null,"url":null,"abstract":"<p><strong>Background: </strong>Tuberculosis treatment duration is long and does not guarantee eradication of infection. Shorter treatment regimens are a critical research objective to improve uptake and reduce the risk of relapse and bacterial resistance. The explanation for the need to continue treatment after patients are culture negative remains elusive. We have previously shown that the presence of lipid inclusions in mycobacterial cells is associated with an increase in antibiotic resistance.</p><p><strong>Aim: </strong>We investigate the bactericidal effect of isoniazid and rifampicin on the expression of lipid inclusions and characterize the degree of the associated phenotypic antibiotic resistance to a range of anti-tuberculosis agents in current use.</p><p><strong>Methods: </strong>Antibiotic killing effect for both <i>M. tuberculosis</i> and <i>M. komossense</i> were investigated by both hollow fiber bioreactor (HFS) studies and static time kill curve (STKC) experiments. Following STKC cultures were stained with resazurin, Sytox green and Nile red to establish their live/dead (resazurin positive/Sytox positive) and lipid inclusion status, respectively. In addition, <i>M. komossense</i> was studied in the hollow fiber bioreactor model (HFS) and exposed to isoniazid (H) and rifampicin (R). The MIC of current antituberculosis agents for cells from the treated hollow fiber experiments were tested.</p><p><strong>Results: </strong>Antibiotic killing was similar for both species. For <i>M. komossense</i>; isoniazid was ineffective at the established MIC (1 mg/L) in the hollow fiber bioreactor but rifampicin reduced the viable count rapidly at MIC (0.4 mg/L). When the two drugs were combined at their respective MICs the killing effect was significant and greater than separately. Cells exposed to isoniazid (1x and 9x MIC) for 168 h showed considerable numbers of recoverable viable cells when compared with a combination of 1x MIC R & H where there were no viable cells detectable. For both drugs the number of lipid body positive cells increased over time and this effect was most pronounced for isoniazid and was associated with phenotypic resistance to multiple anti-tuberculosis drugs.</p><p><strong>Conclusion: </strong>Our results showed that isoniazid is a potent stimulator of lipid body accumulation, culture persistence, and phenotypic resistance to multiple anti-tuberculosis drugs. These findings emphasize the importance of understanding mechanisms of drug-drug interactions and phenotypic resistance in regimen building.</p>","PeriodicalId":73065,"journal":{"name":"Frontiers in antibiotics","volume":" ","pages":"928365"},"PeriodicalIF":0.0000,"publicationDate":"2022-09-09","publicationTypes":"Journal Article","fieldsOfStudy":null,"isOpenAccess":false,"openAccessPdf":"https://www.ncbi.nlm.nih.gov/pmc/articles/PMC11732046/pdf/","citationCount":"0","resultStr":null,"platform":"Semanticscholar","paperid":null,"PeriodicalName":"Frontiers in antibiotics","FirstCategoryId":"1085","ListUrlMain":"https://doi.org/10.3389/frabi.2022.928365","RegionNum":0,"RegionCategory":null,"ArticlePicture":[],"TitleCN":null,"AbstractTextCN":null,"PMCID":null,"EPubDate":"2022/1/1 0:00:00","PubModel":"eCollection","JCR":"","JCRName":"","Score":null,"Total":0}
引用次数: 0

Abstract

Background: Tuberculosis treatment duration is long and does not guarantee eradication of infection. Shorter treatment regimens are a critical research objective to improve uptake and reduce the risk of relapse and bacterial resistance. The explanation for the need to continue treatment after patients are culture negative remains elusive. We have previously shown that the presence of lipid inclusions in mycobacterial cells is associated with an increase in antibiotic resistance.

Aim: We investigate the bactericidal effect of isoniazid and rifampicin on the expression of lipid inclusions and characterize the degree of the associated phenotypic antibiotic resistance to a range of anti-tuberculosis agents in current use.

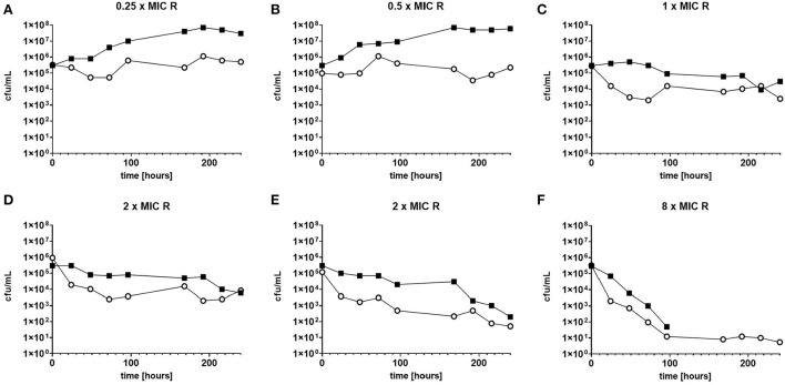
Methods: Antibiotic killing effect for both M. tuberculosis and M. komossense were investigated by both hollow fiber bioreactor (HFS) studies and static time kill curve (STKC) experiments. Following STKC cultures were stained with resazurin, Sytox green and Nile red to establish their live/dead (resazurin positive/Sytox positive) and lipid inclusion status, respectively. In addition, M. komossense was studied in the hollow fiber bioreactor model (HFS) and exposed to isoniazid (H) and rifampicin (R). The MIC of current antituberculosis agents for cells from the treated hollow fiber experiments were tested.

Results: Antibiotic killing was similar for both species. For M. komossense; isoniazid was ineffective at the established MIC (1 mg/L) in the hollow fiber bioreactor but rifampicin reduced the viable count rapidly at MIC (0.4 mg/L). When the two drugs were combined at their respective MICs the killing effect was significant and greater than separately. Cells exposed to isoniazid (1x and 9x MIC) for 168 h showed considerable numbers of recoverable viable cells when compared with a combination of 1x MIC R & H where there were no viable cells detectable. For both drugs the number of lipid body positive cells increased over time and this effect was most pronounced for isoniazid and was associated with phenotypic resistance to multiple anti-tuberculosis drugs.

Conclusion: Our results showed that isoniazid is a potent stimulator of lipid body accumulation, culture persistence, and phenotypic resistance to multiple anti-tuberculosis drugs. These findings emphasize the importance of understanding mechanisms of drug-drug interactions and phenotypic resistance in regimen building.

Abstract Image

Abstract Image

Abstract Image

药物诱导表型耐药性的意义:异烟肼是否会激进化结核分枝杆菌?
结核病治疗持续时间长,并不能保证根除感染。较短的治疗方案是一个关键的研究目标,以提高吸收和减少复发和细菌耐药的风险。在患者培养阴性后需要继续治疗的原因仍然难以解释。我们之前已经表明,分枝杆菌细胞中脂质包裹体的存在与抗生素耐药性的增加有关。目的研究异烟肼和利福平对脂质包裹体表达的抑菌作用,并描述其对当前使用的一系列抗结核药物的相关表型耐药程度。方法采用中空纤维生物反应器(HFS)和静态时间杀伤曲线(STKC)试验研究抗生素对结核分枝杆菌和黑菌的杀伤效果。STKC培养物分别用resazurin、Sytox绿色和Nile红色染色,以确定其活/死(resazurin阳性/Sytox阳性)和脂质包涵状态。此外,在中空纤维生物反应器模型(HFS)中研究了M. komossense,并暴露于异烟肼(H)和利福平(R)中,检测了处理过的中空纤维细胞对当前抗结核药物的MIC。结果两种细菌的抗生素杀伤作用相似。对于M. komossense;异烟肼在中空纤维生物反应器中设定的MIC (1 mg/L)下无效,而利福平在MIC (0.4 mg/L)下迅速降低了活菌数。当两种药物在各自的mic合用时,杀伤效果显著且大于单独使用。暴露于异烟肼(1倍和9倍MIC) 168小时的细胞显示出相当数量的可恢复活细胞,与1倍MIC和9倍MIC的组合相比,没有检测到活细胞。对于这两种药物,脂质体阳性细胞的数量随着时间的推移而增加,这种影响在异烟肼中最为明显,并与对多种抗结核药物的表型耐药有关。结论异烟肼是一种有效的脂体积累、培养持久性和对多种抗结核药物表型耐药的刺激物。这些发现强调了了解药物-药物相互作用机制和表型耐药在方案构建中的重要性。
本文章由计算机程序翻译,如有差异,请以英文原文为准。
求助全文
约1分钟内获得全文 求助全文
来源期刊
自引率
0.00%
发文量
0
×
引用
GB/T 7714-2015
复制
MLA
复制
APA
复制
导出至
BibTeX EndNote RefMan NoteFirst NoteExpress
×
提示
您的信息不完整,为了账户安全,请先补充。
现在去补充
×
提示
您因"违规操作"
具体请查看互助需知
我知道了
×
提示
确定
请完成安全验证×
copy
已复制链接
快去分享给好友吧!
我知道了
右上角分享
点击右上角分享
0
联系我们:info@booksci.cn Book学术提供免费学术资源搜索服务,方便国内外学者检索中英文文献。致力于提供最便捷和优质的服务体验。 Copyright © 2023 布克学术 All rights reserved.
京ICP备2023020795号-1
ghs 京公网安备 11010802042870号
Book学术文献互助
Book学术文献互助群
群 号:604180095
Book学术官方微信