Effects of Upadacitinib Coadministration on the Pharmacokinetics of Sensitive Cytochrome P450 Probe Substrates: A Study With the Modified Cooperstown 5+1 Cocktail.

IF 2.3 4区 医学 Q3 PHARMACOLOGY & PHARMACY
Journal of clinical pharmacology Pub Date : 2020-01-01 Epub Date: 2019-08-05 DOI:10.1002/jcph.1496
Mohamed-Eslam F Mohamed, Tian Feng, Jeffrey V Enejosa, Ogert Fisniku, Ahmed A Othman
{"title":"Effects of Upadacitinib Coadministration on the Pharmacokinetics of Sensitive Cytochrome P450 Probe Substrates: A Study With the Modified Cooperstown 5+1 Cocktail.","authors":"Mohamed-Eslam F Mohamed, Tian Feng, Jeffrey V Enejosa, Ogert Fisniku, Ahmed A Othman","doi":"10.1002/jcph.1496","DOIUrl":null,"url":null,"abstract":"<p><p>The aim of this study was to characterize the effects of upadacitinib, a Janus kinase 1 inhibitor, on in vivo activity of different cytochrome P450 (CYP) enzymes using a cocktail approach. Healthy subjects (n = 20) received single oral doses of the modified Cooperstown 5+1 cocktail drugs (midazolam [CYP3A], caffeine [CYP1A2], warfarin + vitamin K [CYP2C9], omeprazole [CYP2C19], and dextromethorphan [CYP2D6]) without upadacitinib and on day 11 (midazolam) or 12 (all other probes) of a 15-day regimen of upadacitinib 30 mg once daily (extended-release formulation). Serial blood samples and 12-hour urine samples were collected for assays of the probe substrates and select metabolites. The ratio (90%CI) of area under the plasma concentration-time curve from time 0 to infinity (AUC<sub>inf</sub> ) central values when the cocktail drugs were administered with upadacitinib relative to when administered alone were 0.74 (0.68-0.80) for midazolam, 1.22 (1.15-1.29) for caffeine, 1.11 (1.07-1.15) for S-warfarin, 1.07 (0.95-1.22) for dextromethorphan, and 0.82 (0.72-0.94) for omeprazole. The ratio (90%CI) was 1.09 (1.00-1.19) for 5-hydroxy-omeprazole to omeprazole AUC<sub>inf</sub> ratio and 1.17 (0.97-1.41) for dextromethorphan to dextrorphan 12-hour molar urinary ratio. Upadacitinib 30 mg once daily (a dose that is twice the optimal dose in rheumatoid arthritis based on phase 3 results) has a limited effect on CYP3A activity (26% decrease in exposure of midazolam, a sensitive CYP3A substrate) and no relevant effects on CYP1A2, CYP2C9, CYP2C19, or CYP2D6 activity in vivo. No clinically relevant changes in plasma exposures are expected for drugs that are substrates for the evaluated CYP enzymes when coadministered with upadacitinib.</p>","PeriodicalId":15536,"journal":{"name":"Journal of clinical pharmacology","volume":"60 1","pages":"86-95"},"PeriodicalIF":2.3000,"publicationDate":"2020-01-01","publicationTypes":"Journal Article","fieldsOfStudy":null,"isOpenAccess":false,"openAccessPdf":"https://www.ncbi.nlm.nih.gov/pmc/articles/PMC6972567/pdf/","citationCount":"0","resultStr":null,"platform":"Semanticscholar","paperid":null,"PeriodicalName":"Journal of clinical pharmacology","FirstCategoryId":"3","ListUrlMain":"https://doi.org/10.1002/jcph.1496","RegionNum":4,"RegionCategory":"医学","ArticlePicture":[],"TitleCN":null,"AbstractTextCN":null,"PMCID":null,"EPubDate":"2019/8/5 0:00:00","PubModel":"Epub","JCR":"Q3","JCRName":"PHARMACOLOGY & PHARMACY","Score":null,"Total":0}
引用次数: 0

Abstract

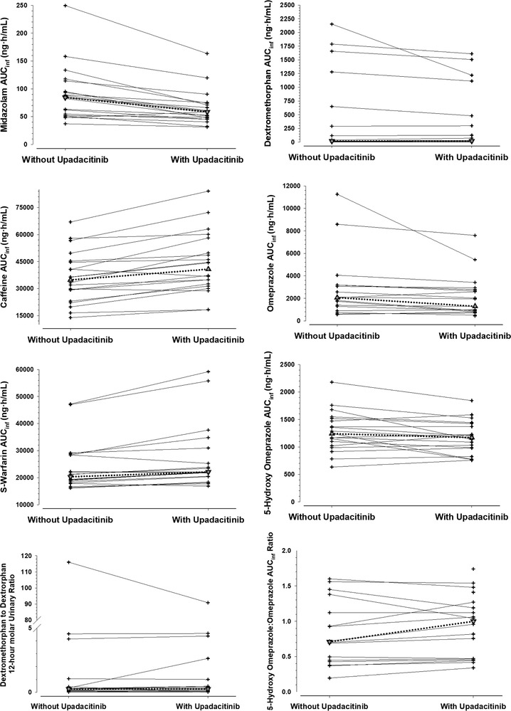
The aim of this study was to characterize the effects of upadacitinib, a Janus kinase 1 inhibitor, on in vivo activity of different cytochrome P450 (CYP) enzymes using a cocktail approach. Healthy subjects (n = 20) received single oral doses of the modified Cooperstown 5+1 cocktail drugs (midazolam [CYP3A], caffeine [CYP1A2], warfarin + vitamin K [CYP2C9], omeprazole [CYP2C19], and dextromethorphan [CYP2D6]) without upadacitinib and on day 11 (midazolam) or 12 (all other probes) of a 15-day regimen of upadacitinib 30 mg once daily (extended-release formulation). Serial blood samples and 12-hour urine samples were collected for assays of the probe substrates and select metabolites. The ratio (90%CI) of area under the plasma concentration-time curve from time 0 to infinity (AUCinf ) central values when the cocktail drugs were administered with upadacitinib relative to when administered alone were 0.74 (0.68-0.80) for midazolam, 1.22 (1.15-1.29) for caffeine, 1.11 (1.07-1.15) for S-warfarin, 1.07 (0.95-1.22) for dextromethorphan, and 0.82 (0.72-0.94) for omeprazole. The ratio (90%CI) was 1.09 (1.00-1.19) for 5-hydroxy-omeprazole to omeprazole AUCinf ratio and 1.17 (0.97-1.41) for dextromethorphan to dextrorphan 12-hour molar urinary ratio. Upadacitinib 30 mg once daily (a dose that is twice the optimal dose in rheumatoid arthritis based on phase 3 results) has a limited effect on CYP3A activity (26% decrease in exposure of midazolam, a sensitive CYP3A substrate) and no relevant effects on CYP1A2, CYP2C9, CYP2C19, or CYP2D6 activity in vivo. No clinically relevant changes in plasma exposures are expected for drugs that are substrates for the evaluated CYP enzymes when coadministered with upadacitinib.

Abstract Image

Abstract Image

Upadacitinib共给药对敏感细胞色素P450探针底物药代动力学的影响:改良的Cooperstown 5+1鸡尾酒的研究
本研究的目的是利用鸡尾酒法表征Janus激酶1抑制剂upadacitinib对不同细胞色素P450 (CYP)酶的体内活性的影响。健康受试者(n = 20)接受单次口服改良的Cooperstown 5+1鸡尾酒药物(咪达唑仑[CYP3A]、咖啡因[CYP1A2]、华法林+维生素K [CYP2C9]、奥美拉唑[CYP2C19]和右美沙芬[CYP2D6]),不含upadacitinib,在为期15天的upadacitinib 30 mg每日一次(缓释制剂)方案的第11天(咪达唑仑)或第12天(所有其他注射剂)。收集系列血液样本和12小时尿液样本,用于检测探针底物和选定的代谢物。与upadacitinib联合给药时,相对于单独给药时,从时间0到无穷远的血浆浓度-时间曲线下面积(AUCinf)中心值的比值(90%CI)为:咪达唑仑0.74(0.68 ~ 0.80),咖啡因1.22 (1.15 ~ 1.29),S -华法林1.11(1.07 ~ 1.15),右美沙芬1.07(0.95 ~ 1.22),奥美拉唑0.82(0.72 ~ 0.94)。5 -羟基奥美拉唑与奥美拉唑AUCinf比值(90%CI)为1.09(1.00 ~ 1.19),右美沙芬与右美沙芬12小时摩尔尿比值为1.17(0.97 ~ 1.41)。Upadacitinib 30mg,每日1次(基于3期结果,该剂量是类风湿关节炎最佳剂量的两倍)对CYP3A活性的影响有限(咪达唑仑(一种敏感的CYP3A底物)暴露降低26%),对体内CYP1A2、CYP2C9、CYP2C19或CYP2D6活性无相关影响。当与upadacitinib共给药时,作为评价的CYP酶底物的药物在血浆暴露中没有临床相关的变化。
本文章由计算机程序翻译,如有差异,请以英文原文为准。
求助全文
约1分钟内获得全文 求助全文
来源期刊
CiteScore
5.10
自引率
3.40%
发文量
176
审稿时长
2 months
期刊介绍: The Journal of Clinical Pharmacology (JCP) is a Human Pharmacology journal designed to provide physicians, pharmacists, research scientists, regulatory scientists, drug developers and academic colleagues a forum to present research in all aspects of Clinical Pharmacology. This includes original research in pharmacokinetics, pharmacogenetics/pharmacogenomics, pharmacometrics, physiologic based pharmacokinetic modeling, drug interactions, therapeutic drug monitoring, regulatory sciences (including unique methods of data analysis), special population studies, drug development, pharmacovigilance, womens’ health, pediatric pharmacology, and pharmacodynamics. Additionally, JCP publishes review articles, commentaries and educational manuscripts. The Journal also serves as an instrument to disseminate Public Policy statements from the American College of Clinical Pharmacology.
×
引用
GB/T 7714-2015
复制
MLA
复制
APA
复制
导出至
BibTeX EndNote RefMan NoteFirst NoteExpress
×
提示
您的信息不完整,为了账户安全,请先补充。
现在去补充
×
提示
您因"违规操作"
具体请查看互助需知
我知道了
×
提示
确定
请完成安全验证×
copy
已复制链接
快去分享给好友吧!
我知道了
右上角分享
点击右上角分享
0
联系我们:info@booksci.cn Book学术提供免费学术资源搜索服务,方便国内外学者检索中英文文献。致力于提供最便捷和优质的服务体验。 Copyright © 2023 布克学术 All rights reserved.
京ICP备2023020795号-1
ghs 京公网安备 11010802042870号
Book学术文献互助
Book学术文献互助群
群 号:604180095
Book学术官方微信