Temporal Trends of Maternal Mortality Due to Obstetric Hemorrhage in Chinese Mainland: Evidence from the Population-Based Surveillance Data Between 2000 and 2019.

IF 1.7
Yi Mu, Jun Zhu, Yanping Wang, Jiani Zhang, Mingrong Li, Peiran Chen, Yanxia Xie, Juan Liang, Xiaodong Wang
{"title":"Temporal Trends of Maternal Mortality Due to Obstetric Hemorrhage in Chinese Mainland: Evidence from the Population-Based Surveillance Data Between 2000 and 2019.","authors":"Yi Mu, Jun Zhu, Yanping Wang, Jiani Zhang, Mingrong Li, Peiran Chen, Yanxia Xie, Juan Liang, Xiaodong Wang","doi":"10.1097/FM9.0000000000000152","DOIUrl":null,"url":null,"abstract":"<p><strong>Objective: </strong>To analyze the temporal trends of maternal mortality ratio (MMR) due to obstetric hemorrhage and its specific causes in Chinese mainland from 2000 to 2019, to identify whether the rate of change has accelerated or slowed down during this period, and to find the prior cause of obstetric hemorrhage that needs to be intervened in the future.</p><p><strong>Methods: </strong>Individual information on maternal deaths and total number of live births from 336 surveillance sites across 31 provinces in Chinese mainland was collected from the National Maternal and Child Health Surveillance System between 2000 and 2019. Maternal death was defined according to the World Health Organization's criterion. The final underlying cause of death was confirmed by the national review and was coded according to International Classification of Diseases -10. Linear trends for changes in characteristics of maternal deaths were assessed using linear or logistic models with the year treated as a continuous variable. The MMR and 95% confidence intervals (<i>CI</i>) for regions or causes were estimated by Poisson's distribution. Joinpoint regression was used to assess the accurate temporal patterns.</p><p><strong>Results: </strong>The national MMR due to obstetric hemorrhage was 18.4 per 100,000 live births (95% <i>CI</i>: 15.0-22.2) in 2000. It peaked in 2001 (22.1 per 100,000 live births, 95% <i>CI</i>: 18.3-26.4) and was lowest in 2019 (1.6 per 100,000 live births, 95% <i>CI</i>: 1.0-2.3). For specific regions, the MMR due to obstetric hemorrhage in rural areas and western regions both experienced a slight rise, followed by a rapid decline, and then a slow decline. For specific causes, no change point was found in joinpoint analysis of the national MMR caused by placenta previa, postpartum uterine atony, and retained placenta (the annual percent change was -12.0%, -10.5%, and -21.0%, respectively). The MMR caused by postpartum hemorrhages (PPH) significantly declined by 8.0% (95% <i>CI</i>: 1.9-13.6) per year from 2000 to 2007. The annual percent change of MMR caused by PPH accelerated further to -25.0% between 2007 and 2011, and then decreased to -7.8% between 2011 and 2019. The proportion of maternal deaths due to antepartum hemorrhages increased from 7.6% (8/105) in 2000 to 14.3% (4/28) in 2019. The changes in the proportion of causes were different for maternal deaths due to PPH. The proportion of postpartum uterine atony increased from 39.0% (41/105) in 2000 to 60.7% (17/28) in 2019, and the proportion of uterine rupture also increased from 12.3% (13/105) in 2000 to 14.3% (4/28) in 2019. However, the proportion of retained placenta decreased from 37.1% (39/105) in 2000 to 7.1% (2/28) in 2019.</p><p><strong>Conclusion: </strong>Over the last 20  years, the intervention practice in China has proved that targeted interventions are beneficial in reducing the MMR due to obstetric hemorrhage. However, the MMR has reached a plateau and is likely to increase for some specific causes such as uterine rupture. China needs to develop more effective interventions to reduce maternal deaths due to obstetric hemorrhage, especially for postpartum uterine atony and uterine rupture.</p>","PeriodicalId":74121,"journal":{"name":"Maternal-fetal medicine (Wolters Kluwer Health, Inc.)","volume":"4 1","pages":"169-178"},"PeriodicalIF":1.7000,"publicationDate":"2022-07-22","publicationTypes":"Journal Article","fieldsOfStudy":null,"isOpenAccess":false,"openAccessPdf":"https://www.ncbi.nlm.nih.gov/pmc/articles/PMC12094400/pdf/","citationCount":"0","resultStr":null,"platform":"Semanticscholar","paperid":null,"PeriodicalName":"Maternal-fetal medicine (Wolters Kluwer Health, Inc.)","FirstCategoryId":"1085","ListUrlMain":"https://doi.org/10.1097/FM9.0000000000000152","RegionNum":0,"RegionCategory":null,"ArticlePicture":[],"TitleCN":null,"AbstractTextCN":null,"PMCID":null,"EPubDate":"2022/7/1 0:00:00","PubModel":"eCollection","JCR":"","JCRName":"","Score":null,"Total":0}
引用次数: 0

Abstract

Objective: To analyze the temporal trends of maternal mortality ratio (MMR) due to obstetric hemorrhage and its specific causes in Chinese mainland from 2000 to 2019, to identify whether the rate of change has accelerated or slowed down during this period, and to find the prior cause of obstetric hemorrhage that needs to be intervened in the future.

Methods: Individual information on maternal deaths and total number of live births from 336 surveillance sites across 31 provinces in Chinese mainland was collected from the National Maternal and Child Health Surveillance System between 2000 and 2019. Maternal death was defined according to the World Health Organization's criterion. The final underlying cause of death was confirmed by the national review and was coded according to International Classification of Diseases -10. Linear trends for changes in characteristics of maternal deaths were assessed using linear or logistic models with the year treated as a continuous variable. The MMR and 95% confidence intervals (CI) for regions or causes were estimated by Poisson's distribution. Joinpoint regression was used to assess the accurate temporal patterns.

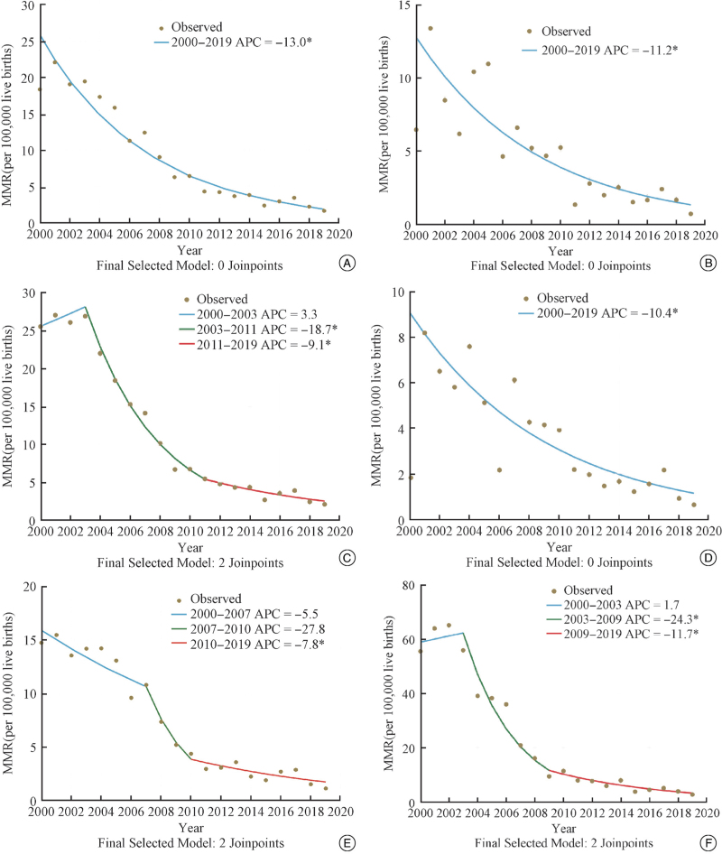
Results: The national MMR due to obstetric hemorrhage was 18.4 per 100,000 live births (95% CI: 15.0-22.2) in 2000. It peaked in 2001 (22.1 per 100,000 live births, 95% CI: 18.3-26.4) and was lowest in 2019 (1.6 per 100,000 live births, 95% CI: 1.0-2.3). For specific regions, the MMR due to obstetric hemorrhage in rural areas and western regions both experienced a slight rise, followed by a rapid decline, and then a slow decline. For specific causes, no change point was found in joinpoint analysis of the national MMR caused by placenta previa, postpartum uterine atony, and retained placenta (the annual percent change was -12.0%, -10.5%, and -21.0%, respectively). The MMR caused by postpartum hemorrhages (PPH) significantly declined by 8.0% (95% CI: 1.9-13.6) per year from 2000 to 2007. The annual percent change of MMR caused by PPH accelerated further to -25.0% between 2007 and 2011, and then decreased to -7.8% between 2011 and 2019. The proportion of maternal deaths due to antepartum hemorrhages increased from 7.6% (8/105) in 2000 to 14.3% (4/28) in 2019. The changes in the proportion of causes were different for maternal deaths due to PPH. The proportion of postpartum uterine atony increased from 39.0% (41/105) in 2000 to 60.7% (17/28) in 2019, and the proportion of uterine rupture also increased from 12.3% (13/105) in 2000 to 14.3% (4/28) in 2019. However, the proportion of retained placenta decreased from 37.1% (39/105) in 2000 to 7.1% (2/28) in 2019.

Conclusion: Over the last 20  years, the intervention practice in China has proved that targeted interventions are beneficial in reducing the MMR due to obstetric hemorrhage. However, the MMR has reached a plateau and is likely to increase for some specific causes such as uterine rupture. China needs to develop more effective interventions to reduce maternal deaths due to obstetric hemorrhage, especially for postpartum uterine atony and uterine rupture.

Abstract Image

Abstract Image

Abstract Image

中国大陆产科出血孕产妇死亡率的时间趋势:来自2000年至2019年人口监测数据的证据
摘要目的:分析2000-2009年中国大陆产科出血孕产妇死亡率的时间趋势及其具体原因,以确定这一时期的变化速度是加快还是减缓,并找出未来需要干预的产科出血的既往原因。方法:2000年至2019年,从国家妇幼保健监测系统收集中国大陆31个省份336个监测点的孕产妇死亡和活产总数的个人信息。孕产妇死亡是根据世界卫生组织的标准定义的。国家审查确认了最终的根本死因,并根据国际疾病分类-10进行了编码。使用线性或逻辑模型评估产妇死亡特征变化的线性趋势,将年份作为连续变量。区域或原因的MMR和95%置信区间(CI)由泊松分布估计。联合点回归用于评估准确的时间模式。结果:2000年,全国产科出血引起的MMR为18.4/10万活产(95%CI:15.0-22.2)。它在2001年达到峰值(22.1/10万活产,95%CI:18.3-26.4),在2019年最低(1.6/10万活生,95%CI:1.0-2.3)。就特定地区而言,农村和西部地区因产科出血引起的MMR都略有上升,随后迅速下降,然后缓慢下降。对于具体原因,在前置胎盘、产后子宫收缩乏力和胎盘滞留引起的全国MMR的联合点分析中没有发现变化点(年变化百分比分别为−12.0%、−10.5%和−21.0%)。从2000年到2007年,产后出血(PPH)引起的MMR每年显著下降8.0%(95%CI:1.9-13.6)。PPH引起的MMR年百分比变化在2007年至2011年间进一步加速至−25.0%,然后在2011年至2019年间降至−7.8%。产妇因产前出血死亡的比例从2000年的7.6%(8/105)增加到2019年的14.3%(4/28)。PPH导致产妇死亡的原因比例变化不同。产后子宫收缩乏力的比例从2000年的39.0%(41/105)增加到2019年的60.7%(17/28),子宫破裂的比例也从2000年(13/105)的12.3%增加到了2019年的14.3%(4/28)。然而,胎盘残留的比例从2000年的37.1%(39/105)下降到2019年的7.1%(2/28)。结论:过去20年  多年来,中国的干预实践证明,有针对性的干预措施有利于降低产科出血引起的MMR。然而,MMR已经达到了一个平稳期,并且可能因某些特定原因(如子宫破裂)而增加。中国需要制定更有效的干预措施,以减少产妇因产科出血而死亡,尤其是产后子宫收缩乏力和子宫破裂。
本文章由计算机程序翻译,如有差异,请以英文原文为准。
求助全文
约1分钟内获得全文 求助全文
来源期刊
自引率
0.00%
发文量
0
×
引用
GB/T 7714-2015
复制
MLA
复制
APA
复制
导出至
BibTeX EndNote RefMan NoteFirst NoteExpress
×
提示
您的信息不完整,为了账户安全,请先补充。
现在去补充
×
提示
您因"违规操作"
具体请查看互助需知
我知道了
×
提示
确定
请完成安全验证×
copy
已复制链接
快去分享给好友吧!
我知道了
右上角分享
点击右上角分享
0
联系我们:info@booksci.cn Book学术提供免费学术资源搜索服务,方便国内外学者检索中英文文献。致力于提供最便捷和优质的服务体验。 Copyright © 2023 布克学术 All rights reserved.
京ICP备2023020795号-1
ghs 京公网安备 11010802042870号
Book学术文献互助
Book学术文献互助群
群 号:604180095
Book学术官方微信