The impact of serum copper on the risk of epilepsy: a mendelian randomization study.

IF 1.2 Q4 CLINICAL NEUROLOGY
Shihao Chen, Wenting Huang, Qi Xu, Tao He, Mulan Zhang, Huiqin Xu
{"title":"The impact of serum copper on the risk of epilepsy: a mendelian randomization study.","authors":"Shihao Chen, Wenting Huang, Qi Xu, Tao He, Mulan Zhang, Huiqin Xu","doi":"10.1186/s42494-023-00126-3","DOIUrl":null,"url":null,"abstract":"<p><strong>Background: </strong>The relationship between serum copper and epilepsy has been elucidated in observational studies. In this study, we aimed to explore the causal relationship between serum copper and epilepsy using Mendelian randomization (MR) analysis.</p><p><strong>Methods: </strong>Single nucleotide polymorphisms (SNPs) associated with serum copper were used as instrumental variables for MR analysis to evaluate their causal effects on epilepsy. The main MR results were obtained by using the inverse variance weighting (IVW) method, supplemented by weighted median and MR-Egger regression. In addition, sensitivity analyses such as Cochran's Q test and pleiotropy test were used to assess these SNPs on epilepsy in terms of horizontal pleiotropy and heterogeneity.</p><p><strong>Results: </strong>The IVW method revealed that the serum copper was associated with an increased risk of generalized epilepsy (OR= 1.07; 95% CI 1.01- 1.14; P = 0.032), and the sensitivity analysis further supports the robustness of the results.</p><p><strong>Conclusions: </strong>The current study reveals a possible causal role for serum copper in increasing the risk of generalized epilepsy, which provide guidance for identifying potential risk factors for epilepsy.</p>","PeriodicalId":33628,"journal":{"name":"Acta Epileptologica","volume":"5 1","pages":"15"},"PeriodicalIF":1.2000,"publicationDate":"2023-06-25","publicationTypes":"Journal Article","fieldsOfStudy":null,"isOpenAccess":false,"openAccessPdf":"https://www.ncbi.nlm.nih.gov/pmc/articles/PMC11960368/pdf/","citationCount":"0","resultStr":null,"platform":"Semanticscholar","paperid":null,"PeriodicalName":"Acta Epileptologica","FirstCategoryId":"1085","ListUrlMain":"https://doi.org/10.1186/s42494-023-00126-3","RegionNum":0,"RegionCategory":null,"ArticlePicture":[],"TitleCN":null,"AbstractTextCN":null,"PMCID":null,"EPubDate":"","PubModel":"","JCR":"Q4","JCRName":"CLINICAL NEUROLOGY","Score":null,"Total":0}
引用次数: 0

Abstract

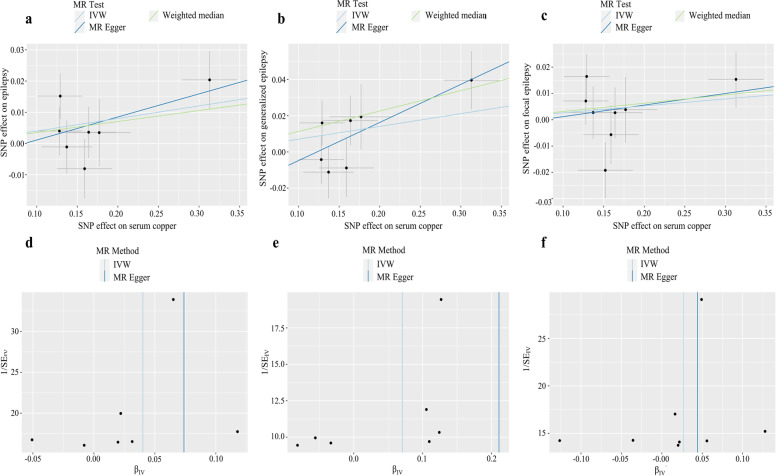
Background: The relationship between serum copper and epilepsy has been elucidated in observational studies. In this study, we aimed to explore the causal relationship between serum copper and epilepsy using Mendelian randomization (MR) analysis.

Methods: Single nucleotide polymorphisms (SNPs) associated with serum copper were used as instrumental variables for MR analysis to evaluate their causal effects on epilepsy. The main MR results were obtained by using the inverse variance weighting (IVW) method, supplemented by weighted median and MR-Egger regression. In addition, sensitivity analyses such as Cochran's Q test and pleiotropy test were used to assess these SNPs on epilepsy in terms of horizontal pleiotropy and heterogeneity.

Results: The IVW method revealed that the serum copper was associated with an increased risk of generalized epilepsy (OR= 1.07; 95% CI 1.01- 1.14; P = 0.032), and the sensitivity analysis further supports the robustness of the results.

Conclusions: The current study reveals a possible causal role for serum copper in increasing the risk of generalized epilepsy, which provide guidance for identifying potential risk factors for epilepsy.

Abstract Image

Abstract Image

血清铜对癫痫风险的影响:一项孟德尔随机化研究
背景:观察性研究已经阐明了血清铜与癫痫之间的关系。在这项研究中,我们旨在通过孟德尔随机化(MR)分析来探讨血清铜与癫痫之间的因果关系。方法:以与血清铜相关的单核苷酸多态性(snp)作为工具变量进行MR分析,评价其与癫痫的因果关系。主要MR结果采用方差反加权(IVW)法,并辅以加权中位数和MR- egger回归。此外,采用Cochran’s Q检验和多效性检验等敏感性分析,从水平多效性和异质性方面评估这些snp与癫痫的关系。结果:IVW方法显示,血清铜与全面性癫痫风险增加相关(OR= 1.07;95% ci 1.01- 1.14;P = 0.032),敏感性分析进一步支持结果的稳健性。结论:本研究揭示了血清铜在全身性癫痫风险增加中的可能因果作用,为确定癫痫的潜在危险因素提供指导。
本文章由计算机程序翻译,如有差异,请以英文原文为准。
求助全文
约1分钟内获得全文 求助全文
来源期刊
Acta Epileptologica
Acta Epileptologica Medicine-Neurology (clinical)
CiteScore
2.00
自引率
0.00%
发文量
38
审稿时长
20 weeks
×
引用
GB/T 7714-2015
复制
MLA
复制
APA
复制
导出至
BibTeX EndNote RefMan NoteFirst NoteExpress
×
提示
您的信息不完整,为了账户安全,请先补充。
现在去补充
×
提示
您因"违规操作"
具体请查看互助需知
我知道了
×
提示
确定
请完成安全验证×
copy
已复制链接
快去分享给好友吧!
我知道了
右上角分享
点击右上角分享
0
联系我们:info@booksci.cn Book学术提供免费学术资源搜索服务,方便国内外学者检索中英文文献。致力于提供最便捷和优质的服务体验。 Copyright © 2023 布克学术 All rights reserved.
京ICP备2023020795号-1
ghs 京公网安备 11010802042870号
Book学术文献互助
Book学术文献互助群
群 号:604180095
Book学术官方微信