Poor subjective sleep reported by people living with HIV is associated with impaired working memory.

NeuroImmune pharmacology and therapeutics Pub Date : 2023-07-20 Epub Date: 2023-07-11 DOI:10.1515/nipt-2023-0010
Natalie M Zahr, Edith V Sullivan, Adolf Pfefferbaum
{"title":"Poor subjective sleep reported by people living with HIV is associated with impaired working memory.","authors":"Natalie M Zahr, Edith V Sullivan, Adolf Pfefferbaum","doi":"10.1515/nipt-2023-0010","DOIUrl":null,"url":null,"abstract":"<p><p>Poor sleep can undermine health and may be especially disruptive to those with chronic conditions including HIV infection. Here, clinically well-described people living with HIV [PLWH] (74 men, 35 women) and healthy control (38 men, 35 women) participants were administered the Pittsburgh Sleep Quality Index (PSQI), a validated measure of subjective sleep with a global score ≥5 able to distinguish good from poor sleepers. In addition, participants completed a battery of neuropsychological tests. PLWH (6.8 ± 3.7) had higher global PSQI scores than healthy controls (4.1 ± 2.8): 39.7 % of uninfected controls and 68.8 % of PLWH had a PSQI≥5 indicative of poor sleep. There were no relations between the global PSQI score and any evaluated variables among uninfected individuals or with demographic or HIV-related variables in PLWH. Instead, a higher global PSQI score among PLWH was associated with worse \"Quality of Life\" scores [Global Assessment of Functioning (GAF, p=0.0007), Medical Outcomes Study survey (21-item short form, SF-21, p<i><</i>0.0001), and Activities of Daily Living-Instrumental (ADL-I, p=0.0041)] and higher Beck Depression Index (BDI, p<i><</i>0.0001) depressive symptoms. Further, in PLWH, higher global PSQI scores were associated with poor performance on a working memory task, the digit backward span (p=0.0036). In PLWH, the 5 variables together explained 32.3 % of the global PSQI score variance; only 3 variables - the SF-21, BDI, and digit backward scores - explained 30.6 % of the variance. To the extent that poor subjective sleep contributes to impaired working memory in HIV, we speculate that this impairment may be ameliorated by improved sleep health.</p>","PeriodicalId":74278,"journal":{"name":"NeuroImmune pharmacology and therapeutics","volume":"2 1","pages":"127-137"},"PeriodicalIF":0.0000,"publicationDate":"2023-07-20","publicationTypes":"Journal Article","fieldsOfStudy":null,"isOpenAccess":false,"openAccessPdf":"https://www.ncbi.nlm.nih.gov/pmc/articles/PMC10635409/pdf/","citationCount":"0","resultStr":null,"platform":"Semanticscholar","paperid":null,"PeriodicalName":"NeuroImmune pharmacology and therapeutics","FirstCategoryId":"1085","ListUrlMain":"https://doi.org/10.1515/nipt-2023-0010","RegionNum":0,"RegionCategory":null,"ArticlePicture":[],"TitleCN":null,"AbstractTextCN":null,"PMCID":null,"EPubDate":"2023/7/11 0:00:00","PubModel":"Epub","JCR":"","JCRName":"","Score":null,"Total":0}
引用次数: 0

Abstract

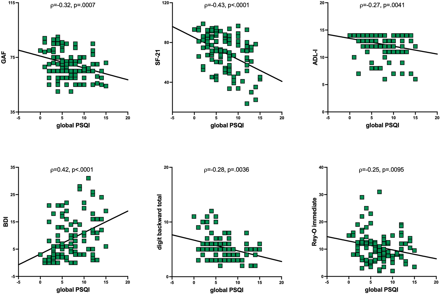
Poor sleep can undermine health and may be especially disruptive to those with chronic conditions including HIV infection. Here, clinically well-described people living with HIV [PLWH] (74 men, 35 women) and healthy control (38 men, 35 women) participants were administered the Pittsburgh Sleep Quality Index (PSQI), a validated measure of subjective sleep with a global score ≥5 able to distinguish good from poor sleepers. In addition, participants completed a battery of neuropsychological tests. PLWH (6.8 ± 3.7) had higher global PSQI scores than healthy controls (4.1 ± 2.8): 39.7 % of uninfected controls and 68.8 % of PLWH had a PSQI≥5 indicative of poor sleep. There were no relations between the global PSQI score and any evaluated variables among uninfected individuals or with demographic or HIV-related variables in PLWH. Instead, a higher global PSQI score among PLWH was associated with worse "Quality of Life" scores [Global Assessment of Functioning (GAF, p=0.0007), Medical Outcomes Study survey (21-item short form, SF-21, p<0.0001), and Activities of Daily Living-Instrumental (ADL-I, p=0.0041)] and higher Beck Depression Index (BDI, p<0.0001) depressive symptoms. Further, in PLWH, higher global PSQI scores were associated with poor performance on a working memory task, the digit backward span (p=0.0036). In PLWH, the 5 variables together explained 32.3 % of the global PSQI score variance; only 3 variables - the SF-21, BDI, and digit backward scores - explained 30.6 % of the variance. To the extent that poor subjective sleep contributes to impaired working memory in HIV, we speculate that this impairment may be ameliorated by improved sleep health.

Abstract Image

Abstract Image

HIV感染者报告的主观睡眠不足与工作记忆受损有关
摘要睡眠不足会损害健康,对包括艾滋病毒感染在内的慢性病患者尤其有害。在这里,临床上描述良好的HIV感染者[PLWH](74名男性,35名女性)和健康对照组(38名男性,35%女性)参与者接受了匹兹堡睡眠质量指数(PSQI),这是一种经过验证的主观睡眠指标,全局得分≥5,能够区分良好睡眠者和不良睡眠者。此外,参与者还完成了一系列神经心理学测试。PLWH(6.8±3.7)的总体PSQI评分高于健康对照组(4.1±2.8):39.7 % 未感染对照组和68.8 % PLWH的PSQI≥5表示睡眠不良。全球PSQI评分与未感染个体中的任何评估变量或PLWH中的人口统计学或HIV相关变量之间没有关系。相反,PLWH的全球PSQI评分越高,“生活质量”评分越差[全球功能评估(GAF,p=0.0007)、医疗结果研究调查(21项简表,SF-21,p<0.0001)和日常生活工具活动(ADL-I,p=0.0041)]和贝克抑郁指数(BDI,p<0.001)抑郁症状越高。此外,在PLWH中,较高的全局PSQI分数与工作记忆任务(数字后向跨度)的较差表现有关(p=0.0036) % 全球PSQI得分方差;只有三个变量——SF-21、BDI和数字后向得分——解释了30.6 % 方差。在一定程度上,不良的主观睡眠会导致HIV患者工作记忆受损,我们推测,睡眠健康的改善可能会改善这种损伤。
本文章由计算机程序翻译,如有差异,请以英文原文为准。
求助全文
约1分钟内获得全文 求助全文
来源期刊
自引率
0.00%
发文量
0
×
引用
GB/T 7714-2015
复制
MLA
复制
APA
复制
导出至
BibTeX EndNote RefMan NoteFirst NoteExpress
×
提示
您的信息不完整,为了账户安全,请先补充。
现在去补充
×
提示
您因"违规操作"
具体请查看互助需知
我知道了
×
提示
确定
请完成安全验证×
copy
已复制链接
快去分享给好友吧!
我知道了
右上角分享
点击右上角分享
0
联系我们:info@booksci.cn Book学术提供免费学术资源搜索服务,方便国内外学者检索中英文文献。致力于提供最便捷和优质的服务体验。 Copyright © 2023 布克学术 All rights reserved.
京ICP备2023020795号-1
ghs 京公网安备 11010802042870号
Book学术文献互助
Book学术文献互助群
群 号:604180095
Book学术官方微信