Angiogenesis Inhibitors in Personalized Combination Regimens for the Treatment of Advanced Refractory Cancers.

Frontiers in molecular medicine Pub Date : 2021-09-20 eCollection Date: 2021-01-01 DOI:10.3389/fmmed.2021.749283
Timothy Crook, Darshana Patil, Rajnish Nagarkar, Andrew Gaya, Nicholas Plowman, Sewanti Limaye, Navin Srivastava, Dadasaheb Akolkar, Anantbhushan Ranade, Amit Bhatt, Vineet Datta, Chirantan Bose, Sachin Apurwa, Sanket Patil, Prashant Kumar, Ajay Srinivasan, Rajan Datar
{"title":"Angiogenesis Inhibitors in Personalized Combination Regimens for the Treatment of Advanced Refractory Cancers.","authors":"Timothy Crook, Darshana Patil, Rajnish Nagarkar, Andrew Gaya, Nicholas Plowman, Sewanti Limaye, Navin Srivastava, Dadasaheb Akolkar, Anantbhushan Ranade, Amit Bhatt, Vineet Datta, Chirantan Bose, Sachin Apurwa, Sanket Patil, Prashant Kumar, Ajay Srinivasan, Rajan Datar","doi":"10.3389/fmmed.2021.749283","DOIUrl":null,"url":null,"abstract":"<p><p><b>Background:</b> Angiogenic factors are commonly activated in solid tumors and present a viable therapeutic target. However, anticancer treatment with angiogenesis inhibitors (AGI) is limited to a few cancers, mostly as monotherapy and not selected based on molecular indications. We aimed to determine whether patient-specific combination regimens with AGI and other anticancer agents when selected based on multi-analyte tumor interrogation (ETA: Encyclopedic Tumor Analysis) can expand the scope of AGIs in advanced refractory solid organ cancers with improved treatment responses. <b>Methods:</b> We evaluated treatment outcomes in 60 patients with advanced, refractory solid organ cancers who received ETA-guided combination regimens of AGI with other targeted, endocrine or cytotoxic agents. Radiological evaluation of treatment response was followed by determination of Objective Response Rate (ORR), Disease Control Rate (DCR), Progression Free Survival (PFS) and Overall Survival (OS). <b>Results:</b> Among the 60 patients, Partial Response (PR) was observed in 28 cases (46.7%), Stable Disease (SD) was observed in 29 cases (48.3%) and Disease Progression (PD, within 60 days) was observed in 3 cases (5.0%). The ORR was 46.7% and DCR was 95.0%. At the most recent follow-up the median PFS (mPFS) was 5.0 months and median OS (mOS) was 8.9 months. There were no Grade 4 therapy related adverse events or treatment related deaths. <b>Conclusion:</b> ETA-guided patient-specific combination regimens with AGI and other anti-neoplastic agents, can yield improved outcomes over AGI monotherapy. Trial Registration: Details of all trials are available at WHO-ICTRP: https://apps.who.int/trialsearch/. RESILIENT ID CTRI/2018/02/011,808. LIQUID IMPACT ID CTRI/2019/02/017,548.</p>","PeriodicalId":73090,"journal":{"name":"Frontiers in molecular medicine","volume":" ","pages":"749283"},"PeriodicalIF":0.0000,"publicationDate":"2021-09-20","publicationTypes":"Journal Article","fieldsOfStudy":null,"isOpenAccess":false,"openAccessPdf":"https://www.ncbi.nlm.nih.gov/pmc/articles/PMC11285706/pdf/","citationCount":"0","resultStr":null,"platform":"Semanticscholar","paperid":null,"PeriodicalName":"Frontiers in molecular medicine","FirstCategoryId":"1085","ListUrlMain":"https://doi.org/10.3389/fmmed.2021.749283","RegionNum":0,"RegionCategory":null,"ArticlePicture":[],"TitleCN":null,"AbstractTextCN":null,"PMCID":null,"EPubDate":"2021/1/1 0:00:00","PubModel":"eCollection","JCR":"","JCRName":"","Score":null,"Total":0}
引用次数: 0

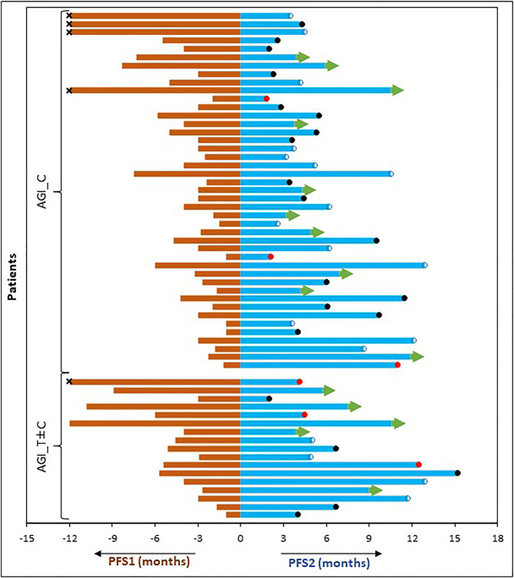
Abstract

Background: Angiogenic factors are commonly activated in solid tumors and present a viable therapeutic target. However, anticancer treatment with angiogenesis inhibitors (AGI) is limited to a few cancers, mostly as monotherapy and not selected based on molecular indications. We aimed to determine whether patient-specific combination regimens with AGI and other anticancer agents when selected based on multi-analyte tumor interrogation (ETA: Encyclopedic Tumor Analysis) can expand the scope of AGIs in advanced refractory solid organ cancers with improved treatment responses. Methods: We evaluated treatment outcomes in 60 patients with advanced, refractory solid organ cancers who received ETA-guided combination regimens of AGI with other targeted, endocrine or cytotoxic agents. Radiological evaluation of treatment response was followed by determination of Objective Response Rate (ORR), Disease Control Rate (DCR), Progression Free Survival (PFS) and Overall Survival (OS). Results: Among the 60 patients, Partial Response (PR) was observed in 28 cases (46.7%), Stable Disease (SD) was observed in 29 cases (48.3%) and Disease Progression (PD, within 60 days) was observed in 3 cases (5.0%). The ORR was 46.7% and DCR was 95.0%. At the most recent follow-up the median PFS (mPFS) was 5.0 months and median OS (mOS) was 8.9 months. There were no Grade 4 therapy related adverse events or treatment related deaths. Conclusion: ETA-guided patient-specific combination regimens with AGI and other anti-neoplastic agents, can yield improved outcomes over AGI monotherapy. Trial Registration: Details of all trials are available at WHO-ICTRP: https://apps.who.int/trialsearch/. RESILIENT ID CTRI/2018/02/011,808. LIQUID IMPACT ID CTRI/2019/02/017,548.

Abstract Image

Abstract Image

Abstract Image

个性化组合方案中的血管生成抑制剂治疗晚期难治性癌症
背景:血管生成因子通常在实体瘤中被激活,是一个可行的治疗靶点。然而,血管生成抑制剂(AGI)的抗癌治疗仅限于少数癌症,主要作为单一疗法,而不是根据分子适应症进行选择。我们的目的是确定在基于多分析物肿瘤询问(ETA:Encyclopedic tumor Analysis)选择AGI和其他抗癌药物的患者特异性联合方案时,是否可以扩大AGI在晚期难治性实体器官癌中的范围,并改善治疗反应。方法:我们评估了60例晚期难治性实体器官癌患者的治疗结果,这些患者接受ETA指导的AGI与其他靶向、内分泌或细胞毒性药物的联合方案。在对治疗反应进行放射学评估后,确定客观反应率(ORR)、疾病控制率(DCR)、无进展生存率(PFS)和总生存率(OS)。结果:在60例患者中,部分缓解(PR)28例(46.7%),稳定疾病(SD)29例(48.3%),疾病进展(PD,60天内)3例(5.0%)。ORR为46.7%,DCR为95.0%。在最近的随访中,中位PFS(mPFS)为5.0个月,中位OS(mOS)为8.9个月。无4级治疗相关不良事件或治疗相关死亡。结论:ETA指导的AGI和其他抗肿瘤药物的患者特异性联合治疗方案比AGI单药治疗效果更好。试验注册:所有试验的详细信息可在WHO-ICTRP获得:https://apps.who.int/trialsearch/.弹性ID CTRI/2018/02/011808。液体冲击ID CTRI/2019/02/017548。
本文章由计算机程序翻译,如有差异,请以英文原文为准。
求助全文
约1分钟内获得全文 求助全文
来源期刊
自引率
0.00%
发文量
0
×
引用
GB/T 7714-2015
复制
MLA
复制
APA
复制
导出至
BibTeX EndNote RefMan NoteFirst NoteExpress
×
提示
您的信息不完整,为了账户安全,请先补充。
现在去补充
×
提示
您因"违规操作"
具体请查看互助需知
我知道了
×
提示
确定
请完成安全验证×
copy
已复制链接
快去分享给好友吧!
我知道了
右上角分享
点击右上角分享
0
联系我们:info@booksci.cn Book学术提供免费学术资源搜索服务,方便国内外学者检索中英文文献。致力于提供最便捷和优质的服务体验。 Copyright © 2023 布克学术 All rights reserved.
京ICP备2023020795号-1
ghs 京公网安备 11010802042870号
Book学术文献互助
Book学术文献互助群
群 号:604180095
Book学术官方微信