Application of machine learning in combination with mechanistic modeling to predict plasma exposure of small molecules.

IF 2.3
Frontiers in systems biology Pub Date : 2023-06-20 eCollection Date: 2023-01-01 DOI:10.3389/fsysb.2023.1180948
Panteleimon D Mavroudis, Donato Teutonico, Alexandra Abos, Nikhil Pillai
{"title":"Application of machine learning in combination with mechanistic modeling to predict plasma exposure of small molecules.","authors":"Panteleimon D Mavroudis, Donato Teutonico, Alexandra Abos, Nikhil Pillai","doi":"10.3389/fsysb.2023.1180948","DOIUrl":null,"url":null,"abstract":"<p><p>Prediction of a new molecule's exposure in plasma is a critical first step toward understanding its efficacy/toxicity profile and concluding whether it is a possible first-in-class, best-in-class candidate. For this prediction, traditional pharmacometrics use a variety of scaling methods that are heavily based on pre-clinical pharmacokinetic (PK) data. We here propose a novel framework based on which preclinical exposure prediction is performed by applying machine learning (ML) in tandem with mechanism-based modeling. In our proposed method, a relationship is initially established between molecular structure and physicochemical (PC)/PK properties using ML, and then the ML-driven PC/PK parameters are used as input to mechanistic models that ultimately predict the plasma exposure of new candidates. To understand the feasibility of our proposed framework, we evaluated a number of mechanistic models (1-compartment, physiologically based pharmacokinetic (PBPK)), PBPK distribution models (Berezhkovskiy, PK-Sim standard, Poulin and Theil, Rodgers and Rowland, and Schmidt), and PBPK parameterizations (using <i>in vivo</i>, or <i>in vitro</i> clearance). For most of the scenarios tested, our results demonstrate that PK profiles can be adequately predicted based on the proposed framework. Our analysis further indicates some limitations when liver microsomal intrinsic clearance (CLint) is used as the only clearance pathway and underscores the necessity of investigating the variability emanating from the different distribution models when providing PK predictions. The suggested approach aims at earlier exposure prediction in the drug development process so that critical decisions on molecule screening, chemistry design, or dose selection can be made as early as possible.</p>","PeriodicalId":73109,"journal":{"name":"Frontiers in systems biology","volume":" ","pages":"1180948"},"PeriodicalIF":2.3000,"publicationDate":"2023-06-20","publicationTypes":"Journal Article","fieldsOfStudy":null,"isOpenAccess":false,"openAccessPdf":"https://www.ncbi.nlm.nih.gov/pmc/articles/PMC12342024/pdf/","citationCount":"0","resultStr":null,"platform":"Semanticscholar","paperid":null,"PeriodicalName":"Frontiers in systems biology","FirstCategoryId":"1085","ListUrlMain":"https://doi.org/10.3389/fsysb.2023.1180948","RegionNum":0,"RegionCategory":null,"ArticlePicture":[],"TitleCN":null,"AbstractTextCN":null,"PMCID":null,"EPubDate":"2023/1/1 0:00:00","PubModel":"eCollection","JCR":"","JCRName":"","Score":null,"Total":0}
引用次数: 0

Abstract

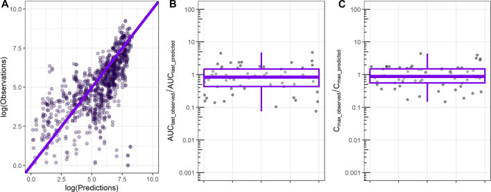
Prediction of a new molecule's exposure in plasma is a critical first step toward understanding its efficacy/toxicity profile and concluding whether it is a possible first-in-class, best-in-class candidate. For this prediction, traditional pharmacometrics use a variety of scaling methods that are heavily based on pre-clinical pharmacokinetic (PK) data. We here propose a novel framework based on which preclinical exposure prediction is performed by applying machine learning (ML) in tandem with mechanism-based modeling. In our proposed method, a relationship is initially established between molecular structure and physicochemical (PC)/PK properties using ML, and then the ML-driven PC/PK parameters are used as input to mechanistic models that ultimately predict the plasma exposure of new candidates. To understand the feasibility of our proposed framework, we evaluated a number of mechanistic models (1-compartment, physiologically based pharmacokinetic (PBPK)), PBPK distribution models (Berezhkovskiy, PK-Sim standard, Poulin and Theil, Rodgers and Rowland, and Schmidt), and PBPK parameterizations (using in vivo, or in vitro clearance). For most of the scenarios tested, our results demonstrate that PK profiles can be adequately predicted based on the proposed framework. Our analysis further indicates some limitations when liver microsomal intrinsic clearance (CLint) is used as the only clearance pathway and underscores the necessity of investigating the variability emanating from the different distribution models when providing PK predictions. The suggested approach aims at earlier exposure prediction in the drug development process so that critical decisions on molecule screening, chemistry design, or dose selection can be made as early as possible.

Abstract Image

Abstract Image

Abstract Image

机器学习与机械建模相结合的应用,以预测小分子等离子体暴露
预测一种新分子在血浆中的暴露是了解其功效/毒性概况并得出其是否可能是同类中第一、同类中最佳候选药物的关键的第一步。对于这种预测,传统的药物计量学使用各种各样的标度方法,这些方法在很大程度上基于临床前药代动力学(PK)数据。我们在此提出了一个新的框架,在该框架的基础上,通过将机器学习(ML)与基于机制的建模相结合来进行临床前暴露预测。在我们提出的方法中,首先使用ML建立分子结构与物理化学(PC)/PK特性之间的关系,然后将ML驱动的PC/PK参数用作机制模型的输入,最终预测新候选物的等离子体暴露。为了了解我们提出的框架的可行性,我们评估了许多机制模型(1室,基于生理的药代动力学(PBPK)), PBPK分布模型(Berezhkovskiy, PK-Sim标准,Poulin和Theil, Rodgers和Rowland,和Schmidt),以及PBPK参数化(使用体内或体外清除)。对于大多数测试场景,我们的结果表明,基于所提出的框架可以充分预测PK配置文件。我们的分析进一步表明,当肝微粒体内在清除率(CLint)被用作唯一的清除率途径时,存在一些局限性,并强调了在提供PK预测时研究不同分布模型产生的变异性的必要性。建议的方法旨在药物开发过程中的早期暴露预测,以便尽早做出分子筛选、化学设计或剂量选择的关键决策。
本文章由计算机程序翻译,如有差异,请以英文原文为准。
求助全文
约1分钟内获得全文 求助全文
来源期刊
自引率
0.00%
发文量
0
×
引用
GB/T 7714-2015
复制
MLA
复制
APA
复制
导出至
BibTeX EndNote RefMan NoteFirst NoteExpress
×
提示
您的信息不完整,为了账户安全,请先补充。
现在去补充
×
提示
您因"违规操作"
具体请查看互助需知
我知道了
×
提示
确定
请完成安全验证×
copy
已复制链接
快去分享给好友吧!
我知道了
右上角分享
点击右上角分享
0
联系我们:info@booksci.cn Book学术提供免费学术资源搜索服务,方便国内外学者检索中英文文献。致力于提供最便捷和优质的服务体验。 Copyright © 2023 布克学术 All rights reserved.
京ICP备2023020795号-1
ghs 京公网安备 11010802042870号
Book学术文献互助
Book学术文献互助群
群 号:604180095
Book学术官方微信