Prediction of angiographic coronary disease and mortality with a cadmium-zinc-telluride camera: a comparison of upright and supine ejection fractions and left ventricular volumes.

IF 1.4
Jackson Walker, Annette Christianson, Muhammad Athar, Fahad Waqar, Myron Gerson
{"title":"Prediction of angiographic coronary disease and mortality with a cadmium-zinc-telluride camera: a comparison of upright and supine ejection fractions and left ventricular volumes.","authors":"Jackson Walker, Annette Christianson, Muhammad Athar, Fahad Waqar, Myron Gerson","doi":"10.3389/fnume.2023.1162784","DOIUrl":null,"url":null,"abstract":"<p><strong>Introduction: </strong>Perfusion imaging strongly predicts coronary artery disease (CAD), whereas cardiac volumes and left ventricular ejection fraction (LVEF) strongly predict mortality. Compared to conventional Anger single-photon emission computed tomography (SPECT) cameras, cadmium-zinc-telluride (CZT) cameras provide higher resolution, resulting in different left ventricular volumes. The cadmium-zinc-telluride D-SPECT camera is commonly used to image in the upright position, which introduces changes in left ventricular loading conditions and potentially alters left ventricular volumes. However, little or no data exist on the predictive value of left ventricular volumes and ejection fraction when acquired in the upright position. We investigated models for the prediction of CAD and mortality, comparing upright and supine imaging.</p><p><strong>Methods: </strong>A retrospective study of patients with upright/supine stress and rest imaging and coronary angiography within 3 months was performed. Univariate and multivariable analyses were performed to predict abnormal angiograms and all-cause mortality.</p><p><strong>Results: </strong>Of the 392 patients, 210 (53.6%) had significant angiographic CAD; 78 (19.9%) patients died over 75 months. The best multivariable model for CAD included the supine summed stress score and supine stress LVEF, with an area under the receiver operating characteristic of 0.862, a sensitivity of 76.7%, and a specificity of 82.4%, but this model was not statistically superior to the best upright model. The best multivariable models for mortality included age, diabetes, history of cardiovascular disease, and end-systolic volume, with the upright and supine models being equivalent.</p><p><strong>Discussion: </strong>Angiographic CAD was best predicted by the supine summed stress score and LVEF but was not statistically superior to the next-best upright model. Mortality was best predicted by end-systolic volume in combination with age, diabetes status, and cardiovascular disease status, with equivalent results from the upright and supine images.</p>","PeriodicalId":73095,"journal":{"name":"Frontiers in nuclear medicine (Lausanne, Switzerland)","volume":" ","pages":"1162784"},"PeriodicalIF":1.4000,"publicationDate":"2023-04-28","publicationTypes":"Journal Article","fieldsOfStudy":null,"isOpenAccess":false,"openAccessPdf":"https://www.ncbi.nlm.nih.gov/pmc/articles/PMC11460300/pdf/","citationCount":"0","resultStr":null,"platform":"Semanticscholar","paperid":null,"PeriodicalName":"Frontiers in nuclear medicine (Lausanne, Switzerland)","FirstCategoryId":"1085","ListUrlMain":"https://doi.org/10.3389/fnume.2023.1162784","RegionNum":0,"RegionCategory":null,"ArticlePicture":[],"TitleCN":null,"AbstractTextCN":null,"PMCID":null,"EPubDate":"2023/1/1 0:00:00","PubModel":"eCollection","JCR":"","JCRName":"","Score":null,"Total":0}
引用次数: 0

Abstract

Introduction: Perfusion imaging strongly predicts coronary artery disease (CAD), whereas cardiac volumes and left ventricular ejection fraction (LVEF) strongly predict mortality. Compared to conventional Anger single-photon emission computed tomography (SPECT) cameras, cadmium-zinc-telluride (CZT) cameras provide higher resolution, resulting in different left ventricular volumes. The cadmium-zinc-telluride D-SPECT camera is commonly used to image in the upright position, which introduces changes in left ventricular loading conditions and potentially alters left ventricular volumes. However, little or no data exist on the predictive value of left ventricular volumes and ejection fraction when acquired in the upright position. We investigated models for the prediction of CAD and mortality, comparing upright and supine imaging.

Methods: A retrospective study of patients with upright/supine stress and rest imaging and coronary angiography within 3 months was performed. Univariate and multivariable analyses were performed to predict abnormal angiograms and all-cause mortality.

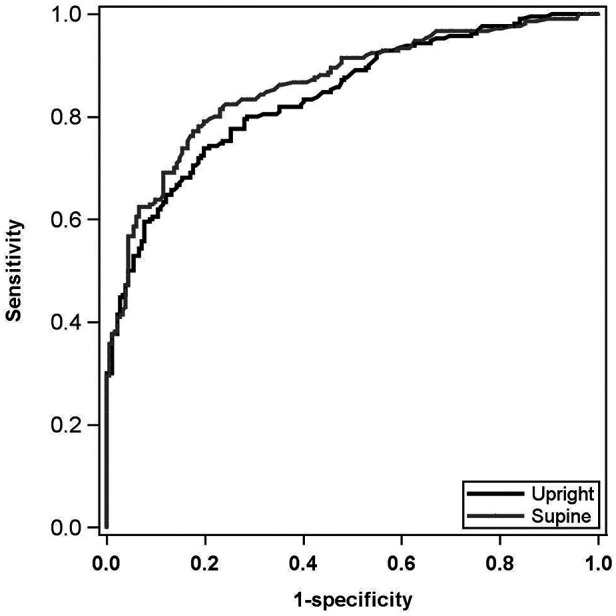
Results: Of the 392 patients, 210 (53.6%) had significant angiographic CAD; 78 (19.9%) patients died over 75 months. The best multivariable model for CAD included the supine summed stress score and supine stress LVEF, with an area under the receiver operating characteristic of 0.862, a sensitivity of 76.7%, and a specificity of 82.4%, but this model was not statistically superior to the best upright model. The best multivariable models for mortality included age, diabetes, history of cardiovascular disease, and end-systolic volume, with the upright and supine models being equivalent.

Discussion: Angiographic CAD was best predicted by the supine summed stress score and LVEF but was not statistically superior to the next-best upright model. Mortality was best predicted by end-systolic volume in combination with age, diabetes status, and cardiovascular disease status, with equivalent results from the upright and supine images.

Abstract Image

Abstract Image

用碲化镉锌照相机预测冠状动脉造影疾病和死亡率:直立和仰卧射血分数和左心室容积的比较
引言灌注成像有力地预测冠状动脉疾病(CAD),而心脏容积和左心室射血分数(LVEF)有力地预测死亡率。与传统的Anger单光子发射计算机断层扫描(SPECT)相机相比,碲化镉锌(CZT)相机提供了更高的分辨率,从而产生不同的左心室容积。碲化镉锌D-SPECT相机通常用于在直立位置成像,这会引起左心室负荷条件的变化,并可能改变左心室容积。然而,当在直立位置采集时,几乎没有或根本没有关于左心室容积和射血分数预测值的数据。我们研究了预测CAD和死亡率的模型,比较了直立成像和仰卧成像。方法对3个月内直立/仰卧位应力和静息成像及冠状动脉造影的患者进行回顾性研究。进行单变量和多变量分析以预测血管造影异常和全因死亡率。结果392例患者中,210例(53.6%)有明显的冠状动脉造影表现;78例(19.9%)患者在75个月内死亡。CAD的最佳多变量模型包括仰卧总应力评分和仰卧应力LVEF,受试者操作特征下面积为0.862,敏感性为76.7%,特异性为82.4%,但该模型在统计学上并不优于最佳直立模型。死亡率的最佳多变量模型包括年龄、糖尿病、心血管病史和收缩末期容积,直立和仰卧模型等效。讨论通过仰卧位总应力评分和LVEF可以最好地预测血管造影CAD,但在统计学上并不优于次佳直立模型。死亡率最好通过收缩末期容积与年龄、糖尿病状况和心血管疾病状况相结合来预测,直立和仰卧图像的结果相当。
本文章由计算机程序翻译,如有差异,请以英文原文为准。
求助全文
约1分钟内获得全文 求助全文
来源期刊
CiteScore
0.90
自引率
0.00%
发文量
0
×
引用
GB/T 7714-2015
复制
MLA
复制
APA
复制
导出至
BibTeX EndNote RefMan NoteFirst NoteExpress
×
提示
您的信息不完整,为了账户安全,请先补充。
现在去补充
×
提示
您因"违规操作"
具体请查看互助需知
我知道了
×
提示
确定
请完成安全验证×
copy
已复制链接
快去分享给好友吧!
我知道了
右上角分享
点击右上角分享
0
联系我们:info@booksci.cn Book学术提供免费学术资源搜索服务,方便国内外学者检索中英文文献。致力于提供最便捷和优质的服务体验。 Copyright © 2023 布克学术 All rights reserved.
京ICP备2023020795号-1
ghs 京公网安备 11010802042870号
Book学术文献互助
Book学术文献互助群
群 号:604180095
Book学术官方微信