Impact of COVID-19 Prevention and Control on the Influenza Epidemic in China: A Time Series Study.

Health data science Pub Date : 2022-11-01 eCollection Date: 2022-01-01 DOI:10.34133/2022/9830159
Zirui Guo, Li Zhang, Jue Liu, Min Liu
{"title":"Impact of COVID-19 Prevention and Control on the Influenza Epidemic in China: A Time Series Study.","authors":"Zirui Guo, Li Zhang, Jue Liu, Min Liu","doi":"10.34133/2022/9830159","DOIUrl":null,"url":null,"abstract":"<p><p><i>Background</i>. COVID-19 prevention and control measures might affect influenza epidemic in China since the nonpharmaceutical interventions (NPIs) and behavioral changes contain transmission of both SARS-CoV-2 and influenza virus. We aimed to explore the impact of COVID-19 prevention and control measures on influenza using data from the National Influenza Surveillance Network.<i>Methods</i>. The percentage of influenza-like illness (ILI%) in southern and northern China from 2010 to 2022 was collected from the National Influenza Surveillance Network. Weekly ILI% observed value from 2010 to 2019 was used to calculate estimated annual percentage change (EAPC) of ILI% with 95% confidence intervals (CIs). Time series analysis was applied to estimate weekly ILI% predicted values in 2020/2021 and 2021/2022 season. Impact index was used to explore the impact of COVID-19 prevention and control on influenza during nonpharmaceutical intervention and vaccination stages.<i>Results</i>. China influenza activity was affected by the COVID-19 pandemic and different prevention and control measures during 2020-2022. In 2020/2021 season, weekly ILI% observed value in both southern and northern China was at a low epidemic level, and there was no obvious epidemic peak in winter and spring. In 2021/2022 season, weekly ILI% observed value in southern and northern China showed a small peak in summer and epidemic peak in winter and spring. The weekly ILI% observed value was generally lower than the predicted value in southern and northern China during 2020-2022. The median of impact index of weekly ILI% was 15.11% in north and 22.37% in south in 2020/2021 season and decreased significantly to 2.20% in north and 3.89% in south in 2021/2022 season.<i>Conclusion</i>. In summary, there was a significant decrease in reported ILI in China during the 2020-2022 COVID-19 pandemic, particularly in winter and spring. Reduction of influenza virus infection might relate to everyday Chinese public health COVID-19 interventions. The confirmation of this relationship depends on future studies.</p>","PeriodicalId":73207,"journal":{"name":"Health data science","volume":" ","pages":"9830159"},"PeriodicalIF":0.0000,"publicationDate":"2022-11-01","publicationTypes":"Journal Article","fieldsOfStudy":null,"isOpenAccess":false,"openAccessPdf":"https://www.ncbi.nlm.nih.gov/pmc/articles/PMC10880177/pdf/","citationCount":"0","resultStr":null,"platform":"Semanticscholar","paperid":null,"PeriodicalName":"Health data science","FirstCategoryId":"1085","ListUrlMain":"https://doi.org/10.34133/2022/9830159","RegionNum":0,"RegionCategory":null,"ArticlePicture":[],"TitleCN":null,"AbstractTextCN":null,"PMCID":null,"EPubDate":"2022/1/1 0:00:00","PubModel":"eCollection","JCR":"","JCRName":"","Score":null,"Total":0}
引用次数: 0

Abstract

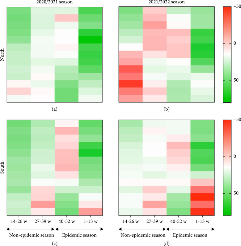
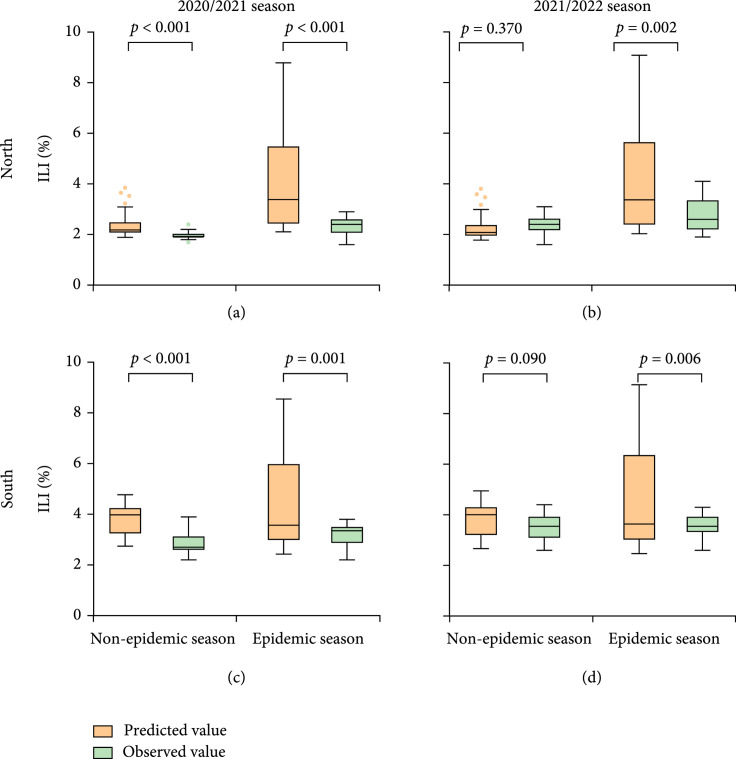
Background. COVID-19 prevention and control measures might affect influenza epidemic in China since the nonpharmaceutical interventions (NPIs) and behavioral changes contain transmission of both SARS-CoV-2 and influenza virus. We aimed to explore the impact of COVID-19 prevention and control measures on influenza using data from the National Influenza Surveillance Network.Methods. The percentage of influenza-like illness (ILI%) in southern and northern China from 2010 to 2022 was collected from the National Influenza Surveillance Network. Weekly ILI% observed value from 2010 to 2019 was used to calculate estimated annual percentage change (EAPC) of ILI% with 95% confidence intervals (CIs). Time series analysis was applied to estimate weekly ILI% predicted values in 2020/2021 and 2021/2022 season. Impact index was used to explore the impact of COVID-19 prevention and control on influenza during nonpharmaceutical intervention and vaccination stages.Results. China influenza activity was affected by the COVID-19 pandemic and different prevention and control measures during 2020-2022. In 2020/2021 season, weekly ILI% observed value in both southern and northern China was at a low epidemic level, and there was no obvious epidemic peak in winter and spring. In 2021/2022 season, weekly ILI% observed value in southern and northern China showed a small peak in summer and epidemic peak in winter and spring. The weekly ILI% observed value was generally lower than the predicted value in southern and northern China during 2020-2022. The median of impact index of weekly ILI% was 15.11% in north and 22.37% in south in 2020/2021 season and decreased significantly to 2.20% in north and 3.89% in south in 2021/2022 season.Conclusion. In summary, there was a significant decrease in reported ILI in China during the 2020-2022 COVID-19 pandemic, particularly in winter and spring. Reduction of influenza virus infection might relate to everyday Chinese public health COVID-19 interventions. The confirmation of this relationship depends on future studies.

Abstract Image

Abstract Image

Abstract Image

新冠肺炎疫情防控对中国流感疫情影响的时间序列研究
背景。COVID-19防控措施可能会影响中国流感疫情,因为非药物干预措施和行为改变同时包含了SARS-CoV-2和流感病毒的传播。我们旨在利用国家流感监测网的数据探讨COVID-19防控措施对流感的影响。方法。2010年至2022年中国南部和北部流感样疾病百分比(ILI%)收集自国家流感监测网。采用2010 - 2019年每周ILI%观测值计算ILI%的估计年百分比变化(EAPC), 95%置信区间(ci)。采用时间序列分析估计2020/2021和2021/2022季节的每周ILI%预测值。采用影响指数法探讨COVID-19防控在非药物干预和疫苗接种阶段对流感的影响。结果。2020-2022年中国流感活动受到新冠肺炎大流行和不同防控措施的影响。2020/2021季节,华南和华北地区每周ILI%观测值均处于低流行水平,冬、春季均未出现明显流行高峰。在2021/2022年流行季,中国南部和北部的每周ILI%观测值在夏季出现小高峰,在冬季和春季出现流行高峰。2020-2022年,中国南方和北方地区ILI%的周观测值普遍低于预测值。每周ILI%影响指数中位数在2020/2021季北方为15.11%,南方为22.37%,在2021/2022季北方为2.20%,南方为3.89%,显著下降。结论。总之,在2020-2022年COVID-19大流行期间,特别是冬季和春季,中国报告的ILI病例显著减少。减少流感病毒感染可能与中国日常公共卫生COVID-19干预措施有关。这种关系的证实取决于未来的研究。
本文章由计算机程序翻译,如有差异,请以英文原文为准。
求助全文
约1分钟内获得全文 求助全文
来源期刊
CiteScore
3.70
自引率
0.00%
发文量
0
×
引用
GB/T 7714-2015
复制
MLA
复制
APA
复制
导出至
BibTeX EndNote RefMan NoteFirst NoteExpress
×
提示
您的信息不完整,为了账户安全,请先补充。
现在去补充
×
提示
您因"违规操作"
具体请查看互助需知
我知道了
×
提示
确定
请完成安全验证×
copy
已复制链接
快去分享给好友吧!
我知道了
右上角分享
点击右上角分享
0
联系我们:info@booksci.cn Book学术提供免费学术资源搜索服务,方便国内外学者检索中英文文献。致力于提供最便捷和优质的服务体验。 Copyright © 2023 布克学术 All rights reserved.
京ICP备2023020795号-1
ghs 京公网安备 11010802042870号
Book学术文献互助
Book学术文献互助群
群 号:604180095
Book学术官方微信