Medication-related harm in older adults following hospital discharge: development and validation of a prediction tool.

Quality & Safety in Health Care Pub Date : 2020-02-01 Epub Date: 2019-09-16 DOI:10.1136/bmjqs-2019-009587
Nikesh Parekh, Khalid Ali, John Graham Davies, Jennifer M Stevenson, Winston Banya, Stephen Nyangoma, Rebekah Schiff, Tischa van der Cammen, Jatinder Harchowal, Chakravarthi Rajkumar
{"title":"Medication-related harm in older adults following hospital discharge: development and validation of a prediction tool.","authors":"Nikesh Parekh, Khalid Ali, John Graham Davies, Jennifer M Stevenson, Winston Banya, Stephen Nyangoma, Rebekah Schiff, Tischa van der Cammen, Jatinder Harchowal, Chakravarthi Rajkumar","doi":"10.1136/bmjqs-2019-009587","DOIUrl":null,"url":null,"abstract":"<p><strong>Objectives: </strong>To develop and validate a tool to predict the risk of an older adult experiencing medication-related harm (MRH) requiring healthcare use following hospital discharge.</p><p><strong>Design, setting, participants: </strong>Multicentre, prospective cohort study recruiting older adults (≥65 years) discharged from five UK teaching hospitals between 2013 and 2015.</p><p><strong>Primary outcome measure: </strong>Participants were followed up for 8 weeks in the community by senior pharmacists to identify MRH (adverse drug reactions, harm from non-adherence, harm from medication error). Three data sources provided MRH and healthcare use information: hospital readmissions, primary care use, participant telephone interview. Candidate variables for prognostic modelling were selected using two systematic reviews, the views of patients with MRH and an expert panel of clinicians. Multivariable logistic regression with backward elimination, based on the Akaike Information Criterion, was used to develop the PRIME tool. The tool was internally validated.</p><p><strong>Results: </strong>1116 out of 1280 recruited participants completed follow-up (87%). Uncertain MRH cases ('possible' and 'probable') were excluded, leaving a tool derivation cohort of 818. 119 (15%) participants experienced 'definite' MRH requiring healthcare use and 699 participants did not. Modelling resulted in a prediction tool with eight variables measured at hospital discharge: age, gender, antiplatelet drug, sodium level, antidiabetic drug, past adverse drug reaction, number of medicines, living alone. The tool's discrimination C-statistic was 0.69 (0.66 after validation) and showed good calibration. Decision curve analysis demonstrated the potential value of the tool to guide clinical decision making compared with alternative approaches.</p><p><strong>Conclusions: </strong>The PRIME tool could be used to identify older patients at high risk of MRH requiring healthcare use following hospital discharge. Prior to clinical use we recommend the tool's evaluation in other settings.</p>","PeriodicalId":49653,"journal":{"name":"Quality & Safety in Health Care","volume":"29 1","pages":"142-153"},"PeriodicalIF":0.0000,"publicationDate":"2020-02-01","publicationTypes":"Journal Article","fieldsOfStudy":null,"isOpenAccess":false,"openAccessPdf":"https://www.ncbi.nlm.nih.gov/pmc/articles/PMC7045783/pdf/","citationCount":"0","resultStr":null,"platform":"Semanticscholar","paperid":null,"PeriodicalName":"Quality & Safety in Health Care","FirstCategoryId":"1085","ListUrlMain":"https://doi.org/10.1136/bmjqs-2019-009587","RegionNum":0,"RegionCategory":null,"ArticlePicture":[],"TitleCN":null,"AbstractTextCN":null,"PMCID":null,"EPubDate":"2019/9/16 0:00:00","PubModel":"Epub","JCR":"","JCRName":"","Score":null,"Total":0}
引用次数: 0

Abstract

Objectives: To develop and validate a tool to predict the risk of an older adult experiencing medication-related harm (MRH) requiring healthcare use following hospital discharge.

Design, setting, participants: Multicentre, prospective cohort study recruiting older adults (≥65 years) discharged from five UK teaching hospitals between 2013 and 2015.

Primary outcome measure: Participants were followed up for 8 weeks in the community by senior pharmacists to identify MRH (adverse drug reactions, harm from non-adherence, harm from medication error). Three data sources provided MRH and healthcare use information: hospital readmissions, primary care use, participant telephone interview. Candidate variables for prognostic modelling were selected using two systematic reviews, the views of patients with MRH and an expert panel of clinicians. Multivariable logistic regression with backward elimination, based on the Akaike Information Criterion, was used to develop the PRIME tool. The tool was internally validated.

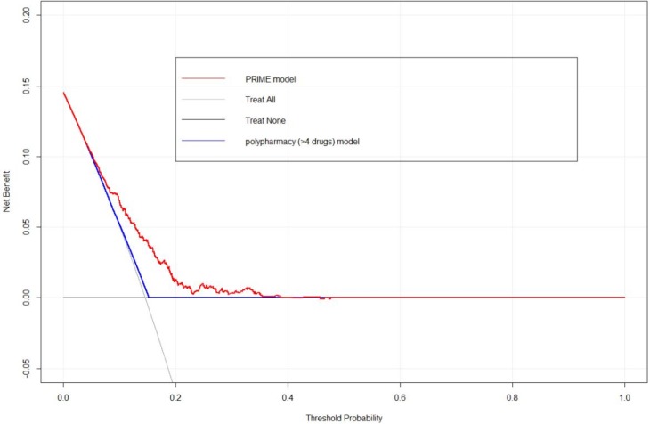
Results: 1116 out of 1280 recruited participants completed follow-up (87%). Uncertain MRH cases ('possible' and 'probable') were excluded, leaving a tool derivation cohort of 818. 119 (15%) participants experienced 'definite' MRH requiring healthcare use and 699 participants did not. Modelling resulted in a prediction tool with eight variables measured at hospital discharge: age, gender, antiplatelet drug, sodium level, antidiabetic drug, past adverse drug reaction, number of medicines, living alone. The tool's discrimination C-statistic was 0.69 (0.66 after validation) and showed good calibration. Decision curve analysis demonstrated the potential value of the tool to guide clinical decision making compared with alternative approaches.

Conclusions: The PRIME tool could be used to identify older patients at high risk of MRH requiring healthcare use following hospital discharge. Prior to clinical use we recommend the tool's evaluation in other settings.

Abstract Image

Abstract Image

Abstract Image

老年人出院后的药物相关伤害:预测工具的开发和验证
目的开发和验证一种工具,以预测老年人出院后需要医疗保健的药物相关伤害(MRH)的风险。设计、设置、参与者多中心前瞻性队列研究,招募2013年至2015年间从英国五家教学医院出院的老年人(≥65岁)。主要结果测量高级药剂师在社区对参与者进行了8周的随访,以确定MRH(药物不良反应、不依从性造成的危害、药物错误造成的危害)。三个数据来源提供了MRH和医疗保健使用信息:医院再次入院、初级保健使用、参与者电话采访。使用两项系统综述、MRH患者的观点和临床医生专家小组来选择预后建模的候选变量。基于Akaike信息准则,使用具有后向消除的多变量逻辑回归来开发PRIME工具。该工具经过内部验证。结果1280名受试者中有1116人完成了随访(87%)。排除了不确定的MRH病例(“可能”和“可能”),留下818个工具衍生队列。119名(15%)参与者经历了需要医疗保健的“明确”MRH,699名参与者没有。建模产生了一个预测工具,在出院时测量了八个变量:年龄、性别、抗血小板药物、钠水平、抗糖尿病药物、既往药物不良反应、药物数量、独居。该工具的判别C统计量为0.69(验证后为0.66),并显示出良好的校准。决策曲线分析表明,与替代方法相比,该工具在指导临床决策方面具有潜在价值。结论PRIME工具可用于识别出院后需要医疗保健的MRH高危老年患者。在临床使用之前,我们建议在其他环境中对该工具进行评估。
本文章由计算机程序翻译,如有差异,请以英文原文为准。
求助全文
约1分钟内获得全文 求助全文
来源期刊
Quality & Safety in Health Care
Quality & Safety in Health Care 医学-卫生保健
自引率
0.00%
发文量
0
审稿时长
>12 weeks
×
引用
GB/T 7714-2015
复制
MLA
复制
APA
复制
导出至
BibTeX EndNote RefMan NoteFirst NoteExpress
×
提示
您的信息不完整,为了账户安全,请先补充。
现在去补充
×
提示
您因"违规操作"
具体请查看互助需知
我知道了
×
提示
确定
请完成安全验证×
copy
已复制链接
快去分享给好友吧!
我知道了
右上角分享
点击右上角分享
0
联系我们:info@booksci.cn Book学术提供免费学术资源搜索服务,方便国内外学者检索中英文文献。致力于提供最便捷和优质的服务体验。 Copyright © 2023 布克学术 All rights reserved.
京ICP备2023020795号-1
ghs 京公网安备 11010802042870号
Book学术文献互助
Book学术文献互助群
群 号:604180095
Book学术官方微信