Kinetic Studies on the 2-Oxoglutarate/Fe(II)-Dependent Nucleic Acid Modifying Enzymes from the AlkB and TET Families.

DNA (Mary Ann Liebert, Inc.) Pub Date : 2023-06-01 Epub Date: 2023-03-30 DOI:10.3390/dna3020005
Zhiyuan Peng, Jian Ma, Christo Z Christov, Tatyana Karabencheva-Christova, Nicolai Lehnert, Deyu Li
{"title":"Kinetic Studies on the 2-Oxoglutarate/Fe(II)-Dependent Nucleic Acid Modifying Enzymes from the AlkB and TET Families.","authors":"Zhiyuan Peng, Jian Ma, Christo Z Christov, Tatyana Karabencheva-Christova, Nicolai Lehnert, Deyu Li","doi":"10.3390/dna3020005","DOIUrl":null,"url":null,"abstract":"<p><p>Nucleic acid methylations are important genetic and epigenetic biomarkers. The formation and removal of these markers is related to either methylation or demethylation. In this review, we focus on the demethylation or oxidative modification that is mediated by the 2-oxoglutarate (2-OG)/Fe(II)-dependent AlkB/TET family enzymes. In the catalytic process, most enzymes oxidize 2-OG to succinate, in the meantime oxidizing methyl to hydroxymethyl, leaving formaldehyde and generating demethylated base. The AlkB enzyme from <i>Escherichia coli</i> has nine human homologs (ALKBH1-8 and FTO) and the TET family includes three members, TET1 to 3. Among them, some enzymes have been carefully studied, but for certain enzymes, few studies have been carried out. This review focuses on the kinetic properties of those 2-OG/Fe(II)-dependent enzymes and their alkyl substrates. We also provide some discussions on the future directions of this field.</p>","PeriodicalId":77708,"journal":{"name":"DNA (Mary Ann Liebert, Inc.)","volume":" ","pages":"65-84"},"PeriodicalIF":0.0000,"publicationDate":"2023-06-01","publicationTypes":"Journal Article","fieldsOfStudy":null,"isOpenAccess":false,"openAccessPdf":"https://www.ncbi.nlm.nih.gov/pmc/articles/PMC11065319/pdf/","citationCount":"0","resultStr":null,"platform":"Semanticscholar","paperid":null,"PeriodicalName":"DNA (Mary Ann Liebert, Inc.)","FirstCategoryId":"1085","ListUrlMain":"https://doi.org/10.3390/dna3020005","RegionNum":0,"RegionCategory":null,"ArticlePicture":[],"TitleCN":null,"AbstractTextCN":null,"PMCID":null,"EPubDate":"2023/3/30 0:00:00","PubModel":"Epub","JCR":"","JCRName":"","Score":null,"Total":0}
引用次数: 0

Abstract

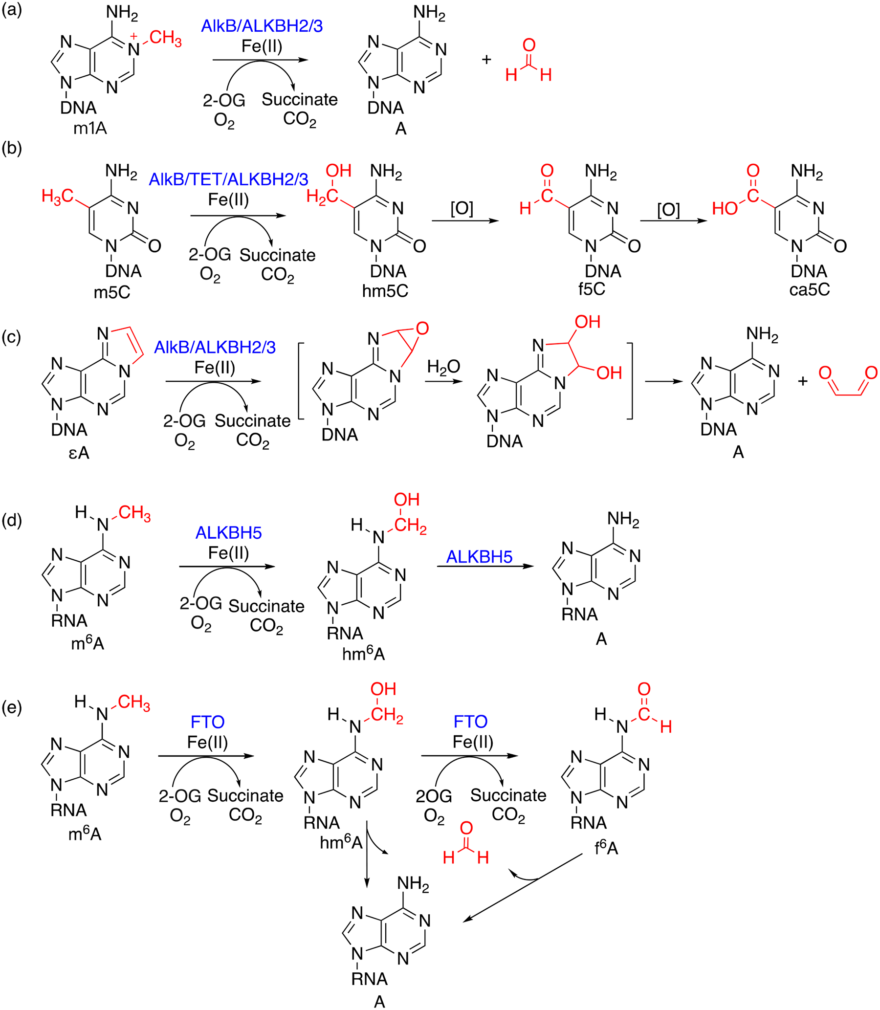
Nucleic acid methylations are important genetic and epigenetic biomarkers. The formation and removal of these markers is related to either methylation or demethylation. In this review, we focus on the demethylation or oxidative modification that is mediated by the 2-oxoglutarate (2-OG)/Fe(II)-dependent AlkB/TET family enzymes. In the catalytic process, most enzymes oxidize 2-OG to succinate, in the meantime oxidizing methyl to hydroxymethyl, leaving formaldehyde and generating demethylated base. The AlkB enzyme from Escherichia coli has nine human homologs (ALKBH1-8 and FTO) and the TET family includes three members, TET1 to 3. Among them, some enzymes have been carefully studied, but for certain enzymes, few studies have been carried out. This review focuses on the kinetic properties of those 2-OG/Fe(II)-dependent enzymes and their alkyl substrates. We also provide some discussions on the future directions of this field.

Abstract Image

Abstract Image

AlkB和TET家族2-氧戊二酸/Fe(II)依赖性核酸修饰酶的动力学研究
核酸甲基化是重要的遗传和表观遗传学生物标志物。这些标记物的形成和去除与甲基化或去甲基化有关。在这篇综述中,我们重点讨论了2-氧戊二酸(2-OG)/Fe(II)依赖性AlkB/TET家族酶介导的去甲基化或氧化修饰。在催化过程中,大多数酶将2-OG氧化为琥珀酸,同时将甲基氧化为羟甲基,留下甲醛并产生脱甲基碱基。来自大肠杆菌的AlkB酶具有九种人类同源物(ALKBH1-8和FTO),TET家族包括三个成员,TET1至3。其中,一些酶已经被仔细研究,但对于某些酶,很少进行研究。本文综述了2-OG/Fe(II)依赖性酶及其烷基底物的动力学性质。我们还就这一领域的未来方向进行了一些讨论。
本文章由计算机程序翻译,如有差异,请以英文原文为准。
求助全文
约1分钟内获得全文 求助全文
来源期刊
自引率
0.00%
发文量
0
×
引用
GB/T 7714-2015
复制
MLA
复制
APA
复制
导出至
BibTeX EndNote RefMan NoteFirst NoteExpress
×
提示
您的信息不完整,为了账户安全,请先补充。
现在去补充
×
提示
您因"违规操作"
具体请查看互助需知
我知道了
×
提示
确定
请完成安全验证×
copy
已复制链接
快去分享给好友吧!
我知道了
右上角分享
点击右上角分享
0
联系我们:info@booksci.cn Book学术提供免费学术资源搜索服务,方便国内外学者检索中英文文献。致力于提供最便捷和优质的服务体验。 Copyright © 2023 布克学术 All rights reserved.
京ICP备2023020795号-1
ghs 京公网安备 11010802042870号
Book学术文献互助
Book学术文献互助群
群 号:604180095
Book学术官方微信
小红书